- Понятие планирования
- Предмет планирования. Сущность и структура объектов планирования в организации
- Сущность и необходимость бизнес-планирования
- Роль, место и значение бизнес-планирования в системе управления организацией (предприятием)
- Необходимость бизнес-плана для руководителя и предпринимателя
- Формы планирования и факторы, влияющие на выбор форм планирования
- Требования к разработке бизнес-планов. Информационное обеспечение бизнес-планирования
- Структура, функции и содержание разделов бизнес-плана. раздел бизнес-плана "концепция, обзор, резюме"
- Раздел бизнес-плана "описание базового предприятия"
- Разделы бизнес-плана "описание продукта (продукции, услуги, изделия)", "анализ рынка, маркетинг и продажи"
- Разделы бизнес-плана "план производства", "организационный план"
- Разделы бизнес-плана "окружение и нормативная информация", "риски проекта и страхование", "календарный план реализации проекта"
- Понятие, экономическое содержание, основные элементы стратегического планирования. понятие и классификация стратегий
- Цели организации (предприятия)
- Цели и стратегия реализации проектов
- Инвестиционный план (проект). Бюджет инвестиционных затрат
- Первичные документы финансового плана. Назначение, структура и методика расчетов основных документов финансового плана
- План движения денежных средств
- План прибылей и убытков
- План распределения прибыли. Балансовый план
- Требования к основным документам финансового плана. Международные стандарты финансовой отчетности. технология финансового планирования
- Стратегия финансирования проекта. Информационное обеспечение, методика расчетов плановых показателей и определения денежных потоков
- Основные технологические процессы бизнес-планирования. техническое задание и календарный план (график работ) на разработку бизнес-плана
- Виды моделей, применяемых при бизнес-планировании
- Особенности разработки моделей бизнес-процессов. информационные технологии для разработки бизнес-планов
- Назначение аналитической системы Project Expert
- Основные этапы разработки финансовой модели {бюджетов) бизнес-плана. Подготовка необходимой исходной информации для разработки финансовой модели
- Конкурентоспособность. Операции. Финансовое положение компании. Стратегический план
- План продаж и план производства в системе Project Expert
- Определение стратегии финансирования. План финансирования проекта в системе Project Expert
- Влияние условий оплаты, инфляции и налогообложения на результаты расчетов
- Сценарный анализ
- Имитационное моделирование
- Оценка и анализ инвестиционных проектов. Показатели эффективности инвестиций. Расчет и анализ основных показателей эффективности инвестиционных затрат с учетом ставки дисконтирования
- Период окупаемости. дисконтированный период окупаемости
- Средняя норма рентабельности. Чистый приведенный доход
- Индекс прибыльности. Внутренняя норма рентабельности
- Модифицированная внутренняя норма рентабельности
- Расчет, оценка и анализ финансовых коэффициентов бизнес-плана
- Показатели ликвидности
- Показатели деловой активности
- Коэффициенты оборачиваемости рабочего капитала, основных средств, активов
- Показатели структуры капитала
- Показатели рентабельности
- Инвестиционные показатели
- Расчет и определение факторов риска. Факторный анализ. Экспертный метод
- Анализ чувствительности
- Метод Монте-Карло
- Анализ безубыточности проекта
- Показатели безубыточности проекта
- Статистический и сценарный анализ. Моделирование условий, расчет и интерпретация результатов статистического и сценарного анализа в системе Project Expert
- Принятие решений о необходимости инвестирования проектов (бизнес-планов) по показателям эффективности. Принятие решений по результатам анализа с целью оптимизации доходов, затрат
38. МОДИФИЦИРОВАННАЯ ВНУТРЕННЯЯ НОРМА РЕНТАБЕЛЬНОСТИ
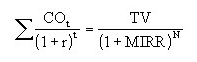
Модифицированная внутренняя норма рентабельности (MIRR - Modified internal rate of return) опирается на понятие будущей стоимости проекта.
Будущая стоимость проекта (TV - Terminal value) - стоимость поступлений, полученных от реализации проекта, отнесенная к концу проекта с использованием нормы рентабельности реинвестиций. Норма рентабельности реинвестиций R в данном случае означает доход, который может быть получен при реинвестировании поступлений от проекта:

где R - месячная норма рентабельности реинвестиций; N - длительность проекта, месяцы; OFt - чистый денежный поток месяца t. Модифицированная внутренняя норма рентабельности определяется как ставка дисконтирования, при которой выполняется следующее условие:

где Got - выплаты месяца t; r - требуемая норма рентабельности инвестиций (месячная); N - длительность проекта в месяцах. Другими словами, для расчета MIRR платежи, связанные с реализацией проекта, приводятся к началу проекта с использованием ставки дисконтирования r, основанной на стоимости привлеченного капитала (ставка финансирования или требуемая норма рентабельности инвестиций). При этом поступления от проекта приводятся к его окончанию с использованием ставки дисконтирования R, основанной на возможных доходах от реинвестиции этих средств (норма рентабельности реинвестиций). После этого модифицированная внутренняя норма рентабельности определяется как ставка дисконтирования, уравнивающая две эти величины (приведенные выплаты и поступления).
<< Назад: Индекс прибыльности. Внутренняя норма рентабельности
>> Вперед: Расчет, оценка и анализ финансовых коэффициентов бизнес-плана
Рекомендуем интересные статьи раздела Конспекты лекций, шпаргалки:
▪ Антикризисное управление. Конспект лекций
▪ Римское право. Конспект лекций
▪ История психологии. Конспект лекций
Смотрите другие статьи раздела Конспекты лекций, шпаргалки.
Читайте и пишите полезные комментарии к этой статье.
<< Назад
Последние новости науки и техники, новинки электроники:
Лабораторная модель прогнозирования землетрясений
30.11.2025
Предсказание землетрясений остается одной из самых сложных задач геофизики. Несмотря на развитие сейсмологии, ученые все еще не могут точно определить момент начала разрушительного движения разломов. Недавние эксперименты американских исследователей открывают новые горизонты: впервые удалось наблюдать микроскопические изменения в контактной зоне разломов, которые предшествуют землетрясению.
Группа под руководством Сильвена Барбота обнаружила, что "реальная площадь контакта" - участки, где поверхности разлома действительно соприкасаются - изменяется за миллисекунды до высвобождения накопленной энергии. "Мы открыли окно в сердце механики землетрясений", - отмечает Барбот. Эти изменения позволяют фиксировать этапы зарождения сейсмического события еще до появления традиционных сейсмических волн.
Для наблюдений ученые использовали прозрачные акриловые материалы, через которые можно было отслеживать световые изменения в зоне контакта. В ходе искусственного моделирования примерно 30% ко ...>>
Музыка как естественный анальгетик
30.11.2025
Ученые все активнее исследуют немедикаментозные способы облегчения боли. Одним из перспективных направлений становится использование музыки, которая способна воздействовать на эмоциональное состояние и когнитивное восприятие боли. Новое исследование международной группы специалистов демонстрирует, что даже кратковременное прослушивание любимых композиций может значительно снижать болевые ощущения у пациентов с острой болью в спине.
В эксперименте участвовали пациенты, обратившиеся за помощью в отделение неотложной помощи с выраженной болью в спине. Им предлагалось на протяжении десяти минут слушать свои любимые музыкальные треки. Уже после этой короткой сессии врачи фиксировали заметное уменьшение интенсивности боли как в состоянии покоя, так и при движениях.
Авторы исследования подчеркивают, что музыка не устраняет саму причину боли. Тем не менее, она воздействует на эмоциональный фон пациента, снижает уровень тревожности и отвлекает внимание, что в сумме приводит к субъективном ...>>
Алкоголь может привести к слобоумию
29.11.2025
Проблема влияния алкоголя на стареющий мозг давно вызывает интерес как у врачей, так и у исследователей когнитивного старения. В последние годы стало очевидно, что границы "безопасного" употребления спиртного размываются, и новое крупное исследование, проведенное международной группой ученых, вновь указывает на это. Работы Оксфордского университета, выполненные совместно с исследователями из Йельского и Кембриджского университетов, показывают: даже небольшие дозы алкоголя способны ускорять когнитивный спад.
Команда проанализировала данные более чем 500 тысяч участников из британского биобанка и американской Программы миллионов ветеранов. Дополнительно был выполнен метаанализ сорока пяти исследований, в общей сложности включавших сведения о 2,4 миллиона человек. Такой масштаб позволил оценить не только прямую связь между употреблением спиртного и развитием деменции, но и влияние генетической предрасположенности.
Один из наиболее тревожных результатов касается людей с повышенным ге ...>>
Случайная новость из Архива Музыка заставляет нас двигаться
11.02.2025
Музыка обладает удивительной силой - она способна заставить нас двигаться, даже если мелодия нам не по душе. Это явление давно интересовало ученых, и вот новое исследование, проведенное в университете Конкордия в США, пролило свет на этот феномен. Оказывается, ритм музыки стимулирует мозг и тело к действиям, независимо от наших вкусовых предпочтений.
В ходе эксперимента участникам предлагалось слушать разные музыкальные треки, при этом они были подключены к специальным устройствам, которые фиксировали их спонтанные телодвижения. Результаты показали, что даже музыка, которая им не нравилась, вызывала различные движения тела. Это удивительное открытие подтверждает гипотезу о том, что музыка оказывает глубокое физиологическое воздействие на человека.
Эксперты объясняют этот феномен тем, что ритм музыки активизирует определенные участки мозга, в том числе те, которые отвечают за движение и чувство удовольствия. Именно поэтому нам так трудно усидеть на месте, когда мы слышим заводную мелодию. Наше тело само начинает двигаться в такт музыке, даже если мы этого не осознаем.
Этот эффект музыки на движение может иметь различные положительные последствия для нашего организма. Во-первых, он может улучшить настроение и снизить уровень стресса. Танцы под любимую музыку - это отличный способ расслабиться и получить заряд бодрости. Во-вторых, даже простая прогулка под ритмичную музыку может стать эффективным способом борьбы с усталостью или апатией.
Музыка помогает нам мобилизовать энергию и преодолеть чувство усталости. Наконец, регулярные движения под музыку могут способствовать укреплению сердечно-сосудистой системы и улучшению общего физического состояния. Не случайно музыка так широко используется в фитнесе и других видах спорта.
Эффект музыки на движение может быть индивидуальным. Кто-то более чувствителен к ритму, а кто-то в меньшей степени. Однако, в целом, музыка обладает универсальной способностью побуждать нас к движению, независимо от наших музыкальных вкусов. Это удивительное явление еще раз подчеркивает глубокую связь между музыкой и человеческим телом.
Ритм музыки активизирует определенные участки мозга, что приводит к спонтанным телодвижениям, даже если мелодия нам не нравится. Это открытие может иметь важное значение для понимания влияния музыки на человеческий организм и может быть использовано для разработки новых методов улучшения настроения, борьбы с усталостью и поддержания физической формы. Музыка - это не только искусство, но и мощный инструмент, который может помочь нам быть более активными, здоровыми и счастливыми.
|
Другие интересные новости:
▪ Мини-компьютер Shuttle XPC DA320
▪ Деактивация одного белка лечит сердечную недостаточность
▪ Свет сумели закрутить
▪ Li-Pol аккумуляторы EEMB с повышенным током разряда
▪ Мирные существа превращаются в хищников
Лента новостей науки и техники, новинок электроники
Интересные материалы Бесплатной технической библиотеки:
▪ раздел сайта Параметры радиодеталей. Подборка статей
▪ статья Врачу, исцелися сам! Крылатое выражение
▪ статья Когда и как впервые было применено бактериологическое оружие? Подробный ответ
▪ статья Универсальная сельскохозяйственная машина Золушка. Личный транспорт
▪ статья Измеритель емкости. Энциклопедия радиоэлектроники и электротехники
▪ статья Конвертерные приставки звукового канала из CCIR и обратно. Энциклопедия радиоэлектроники и электротехники
Оставьте свой комментарий к этой статье:
Главная страница | Библиотека | Статьи | Карта сайта | Отзывы о сайте

www.diagram.com.ua
2000-2025