СИСТЕМА ПОКАЗАТЕЛЕЙ ДЛЯ ОЦЕНКИ ЭФФЕКТИВНОСТИ ИНВЕСТИЦИОННЫХ ПРОЕКТОВ
1. Показатели коммерческой (финансовой) эффективности.
При расчете коммерческой эффективности в качестве эффекта выступает поток реальных денег. При осуществлении инвестиционного проекта выделяются три вида деятельности: инвестиционная, операционная и финансовая, в рамках каждого из которых происходит приток Пi(t) и отток Оi(t) денежных средств. Поток реальных денег (q(t)) - разность между притоком и оттоком денежных средств от инвестиционной и операционной деятельности в каждом периоде осуществления проекта:
q(t) = [П1(t) - O1(t) + П1(t) - O2(t)] = q1(t) + q2(t).
Сальдо реальных денег - разность между притоком и оттоком денежных средств от всех трех видов деятельности также на каждом шаге расчета:
2. Показатели бюджетной эффективности, отражающие последствия осуществления инвестиционного проекта на федеральный, региональный и местный бюджеты. Основной показатель бюджетной эффективности - бюджетный эффект, отражающий лишь ту часть эффекта, которая поступает в бюджет:
Бt = Дt - Pt.
Интегральный бюджетный эффект - сумма дисконтированных годовых бюджетных эффектов за весь срок реализации инвестиционного проекта или как превышение интегральных доходов бюджета над интегральными бюджетными расходами.
3. Показатели экономической эффективности, отражающие затраты и результаты по проекту и учитывающие как интересы его участников, так и интересы страны, региона или города.
Выбор различных проектов, в реализации которых участвует государство (регион), проводится по наибольшему значению показателя интегрального народно хозяйственного экономического эффекта.
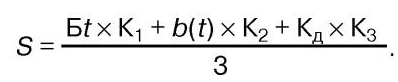
При оценке нескольких инвестиционных проектов и выборе их целесообразно ввести дополнительный сводный показатель эффективности, включающий в себя совокупность всех трех вышеприведенных показателей:

К1,2,3 - коэффициенты увеличения (снижения) значимости показателя.
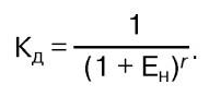
При оценке эффективности инвестиционного проекта соизмерение разновременных показателей осуществляется путем приведения их к начальному времени внедрения проекта. Для этого используется норма дисконта (Е), равная приемлемой для инвестора норме дохода на капитал.
Приведение к начальному (базисному) моменту времени затрат, результатов и эффектов, имеющих место на 1 м шаге расчета, удобно проводить путем их умножения на коэффициент дисконтирования (Кд), определяемый по формуле:

Автор: Кузнецова С.А.
<< Назад: Понятие и принципы
оценки эффективности инвестиционного проекта
>> Вперед: Методы оценки
инвестиционных проектов
Рекомендуем интересные статьи раздела Конспекты лекций, шпаргалки:
▪ Микробиология. Шпаргалка
▪ Бизнес-планирование. Конспект лекций
▪ Зарубежная литература XX века в кратком изложении. Часть 1. Шпаргалка
Смотрите другие статьи раздела Конспекты лекций, шпаргалки.
Читайте и пишите полезные комментарии к этой статье.
<< Назад
Последние новости науки и техники, новинки электроники:
Лабораторная модель прогнозирования землетрясений
30.11.2025
Предсказание землетрясений остается одной из самых сложных задач геофизики. Несмотря на развитие сейсмологии, ученые все еще не могут точно определить момент начала разрушительного движения разломов. Недавние эксперименты американских исследователей открывают новые горизонты: впервые удалось наблюдать микроскопические изменения в контактной зоне разломов, которые предшествуют землетрясению.
Группа под руководством Сильвена Барбота обнаружила, что "реальная площадь контакта" - участки, где поверхности разлома действительно соприкасаются - изменяется за миллисекунды до высвобождения накопленной энергии. "Мы открыли окно в сердце механики землетрясений", - отмечает Барбот. Эти изменения позволяют фиксировать этапы зарождения сейсмического события еще до появления традиционных сейсмических волн.
Для наблюдений ученые использовали прозрачные акриловые материалы, через которые можно было отслеживать световые изменения в зоне контакта. В ходе искусственного моделирования примерно 30% ко ...>>
Музыка как естественный анальгетик
30.11.2025
Ученые все активнее исследуют немедикаментозные способы облегчения боли. Одним из перспективных направлений становится использование музыки, которая способна воздействовать на эмоциональное состояние и когнитивное восприятие боли. Новое исследование международной группы специалистов демонстрирует, что даже кратковременное прослушивание любимых композиций может значительно снижать болевые ощущения у пациентов с острой болью в спине.
В эксперименте участвовали пациенты, обратившиеся за помощью в отделение неотложной помощи с выраженной болью в спине. Им предлагалось на протяжении десяти минут слушать свои любимые музыкальные треки. Уже после этой короткой сессии врачи фиксировали заметное уменьшение интенсивности боли как в состоянии покоя, так и при движениях.
Авторы исследования подчеркивают, что музыка не устраняет саму причину боли. Тем не менее, она воздействует на эмоциональный фон пациента, снижает уровень тревожности и отвлекает внимание, что в сумме приводит к субъективном ...>>
Алкоголь может привести к слобоумию
29.11.2025
Проблема влияния алкоголя на стареющий мозг давно вызывает интерес как у врачей, так и у исследователей когнитивного старения. В последние годы стало очевидно, что границы "безопасного" употребления спиртного размываются, и новое крупное исследование, проведенное международной группой ученых, вновь указывает на это. Работы Оксфордского университета, выполненные совместно с исследователями из Йельского и Кембриджского университетов, показывают: даже небольшие дозы алкоголя способны ускорять когнитивный спад.
Команда проанализировала данные более чем 500 тысяч участников из британского биобанка и американской Программы миллионов ветеранов. Дополнительно был выполнен метаанализ сорока пяти исследований, в общей сложности включавших сведения о 2,4 миллиона человек. Такой масштаб позволил оценить не только прямую связь между употреблением спиртного и развитием деменции, но и влияние генетической предрасположенности.
Один из наиболее тревожных результатов касается людей с повышенным ге ...>>
Случайная новость из Архива Белковый гидрогель для доставки лекарств
28.09.2019
Группа ученых из Школы инженерии Тандона при Нью-Йоркском университете (США) создала первую биосовместимую систему доставки лекарств на основе белков, которая настолько прочная, что может жить в организме более двух недель и способна обеспечить устойчивое высвобождение лекарств. Этот гидрогель - важный шаг для будущего доставки лекарств, тканевой инженерии и регенеративной медицины.
Гидрогели представляют собой трехмерные полимерные сети, которые из раствора превращаются в гель в ответ на физические или химические воздействия - например, на температуру или кислую среду. В эти полимерные матрицы, как в капсулу, можно помещать грузы, такие как небольшие молекулы. Новый гидрогель состоит из одного белкового домена (участка полипептидной цепи белка) и переходит из раствора в гель при низких температурах. Он проявляет многие из тех же свойств, что и синтетический гидрогель. Его главное преимущество - биосовместимость, поэтому его лучше использовать в биомедицине.
В своем эксперименте ученые поместили в гидрогель молекулу куркумина. Они обнаружили, что гидрогель стабилизируется за счет молекулярного переплетения белковых нановолокон, создавая пористую матрицу, способную связывать небольшую молекулу, которая боится воды. Вместе с этой молекулой запутанность волокон повышается, что обеспечивает механическую целостность и термостабильность гидрогеля. Благодаря этому гидрогель, попадая в организм человека, разрушается медленнее, а лекарство высвобождается дольше.
В дальнейшем исследователи попытаются разработать гидрогели белка, которые смогут реагировать на определенные температуры для различных применений доставки лекарств.
|
Другие интересные новости:
▪ Биобанк для хранения образцов живого мозга
▪ Надеваемая электроника вместо ПК
▪ Климат в эксперименте
▪ Одежда разбрызгивается из спрея
▪ Управление лазером с помощью звука
Лента новостей науки и техники, новинок электроники
Интересные материалы Бесплатной технической библиотеки:
▪ раздел сайта Справочник электрика. Подборка статей
▪ статья Не мышонок, не лягушка, а неведома зверушка. Крылатое выражение
▪ статья Как проверить зрение с помощью звезд? Подробный ответ
▪ статья Полынь высокая. Легенды, выращивание, способы применения
▪ статья Способ подключения трехфазного двигателя к однофазной сети. Энциклопедия радиоэлектроники и электротехники
▪ статья Двухстандартный блок чистого звука. Энциклопедия радиоэлектроники и электротехники
Оставьте свой комментарий к этой статье:
Главная страница | Библиотека | Статьи | Карта сайта | Отзывы о сайте

www.diagram.com.ua
2000-2025