Menu Home

Бесплатная техническая библиотека для любителей и профессионалов Бесплатная техническая библиотека


Медицинская физика. Шпаргалка: кратко, самое главное

Конспекты лекций, шпаргалки

Справочник / Конспекты лекций, шпаргалки

Комментарии к статье Комментарии к статье

Оглавление (развернуть)

1. Медицинская физика. Краткая история

Медицинская физика - это наука о системе, которая состоит из физических приборов и излучений, лечебно-диагностических аппаратов и технологий.

Цель медицинской физики - изучение этих систем профилактики и диагностики заболеваний, а также лечение больных с помощью методов и средств физики, математики и техники. Природа заболеваний и механизм выздоровления во многих случаях имеют биофизическое объяснение.

Медицинские физики непосредственно участвуют в лечебно-диагностическом процессе, совмещая физико-медицинские знания, разделяя с врачом ответственность за пациента.

Развитие медицины и физики всегда были тесно переплетены между собой. Еще в глубокой древности медицина использовала в лечебных целях физические факторы, такие как тепло, холод, звук, свет, различные механические воздействия (Гиппократ, Авиценна и др.).

Первым медицинским физиком был Леонардо да Винчи (пять столетий назад), который проводил исследования механики передвижения человеческого тела. Наиболее плодотворно медицина и физика стали взаимодействовать с конца XVIII - начала XIX вв., когда были открыты электричество и электромагнитные волны, т. е. с наступлением эры электричества.

Назовем несколько имен великих ученых, сделавших важнейшие открытия в разные эпохи.

Конец XIX - середина ХХ вв. связаны с открытием рентгеновских лучей, радиоактивности, теорий строения атома, электромагнитных излучений. Эти открытия связаны с именами В. К. Рентгена, А. Беккереля, М. Складовской-Кюри, Д. Томсона, М. Планка, Н. Бора, А. Эйнштейна, Э. Резерфорда. Медицинская физика по-настоящему стала утверждаться как самостоятельная наука и профессия только во второй половине ХХ в. - с наступлением атомной эры. В медицине стали широко применяться радиодиагностические гамма-аппараты, электронные и протоновые ускорители, радиодиагностические гамма-камеры, рентгеновские компьютерные томографы и другие, гипертермия и магнитотерапия, лазерные, ультразвуковые и другие медико-физические технологии и приборы. Медицинская физика имеет много разделов и названий: медицинская радиационная физика, клиническая физика, онкологическая физика, терапевтическая и диагностическая физика.

Самым важным событием в области медицинского обследования можно считать создание компьютерных томографов, которые расширили исследования практически всех органов и систем человеческого организма. ОКТ были установлены в клиниках всего мира, и большое количество физиков, инженеров и врачей работало в области совершенствования техники и методов доведения ее практически до пределов возможного. Развитие радионуклидной диагностики представляет собой сочетание методов радиофармацевтики и физических методов регистрации ионизирующих излучений. Позитронная эмиссионная томография-визуализация была изобретена в 1951 г. и опубликована в работе Л. Ренна.

2. Основные проблемы и понятия метрологии

Метрологией называют науку об измерениях, методах и средствах обеспечения их единства, способах достижения требуемой точности. Измерением называют нахождение значения физической величины опытным путем с помощью технических средств. Измерения позволяют установить закономерности природы и являются элементом познания окружающего нас мира. Различают измерения прямые, при которых результат получается непосредственно из измерения самой величины (например, измерение температуры тела медицинским термометром, измерение длины предмета линейкой), и косвенные, при которых искомое значение величины находят по известной зависимости между ней и непосредственно измеряемыми величинами (например, определение массы тела при взвешивании с учетом выталкивающей силы, определенной вязкостью жидкости по скорости падения в ней шарика). Технические средства для производства измерений могут быть разных типов. Наиболее известными являются приборы, в которых измерительная информация представляется в форме, доступной для непосредственного восприятия (например, температура представлена в термометре длиной столбика ртути, сила тока - показанием стрелки амперметра или цифровым значением).

Единицей физической величины называют физическую величину, принятую по соглашению в качестве основы для количественной оценки соответствующей физической величины.

Для выражения уровня звукового давления, уровня интенсивности звука, усиления электрического сигнала, выражения частотного интервала и иного удобнее использовать логарифм относительной величины (на- и более распространен десятичный логарифм):

lg = а21

где а1 и а2 - одноименные физические величины.

Единицей логарифмической величины является бел (Б):

1Б = lg=а2i,

при а2 = 10а,

если а - энергетическая величина (мощность, интенсивность, энергия и т. п.), или

если а - силовая величина (сила, механическое напряжение, давление, напряженность электрического поля и т. п.).

Достаточно распространена дольная единицы - децибел (дБ):

1 дБ = 0,1Б.

1дБ соответствует соотношению энергетических величин а2 = 1,26а:

3. Медицинская метрология и ее специфика

Технические устройства, используемые в медицине, называют обобщенным термином "медицинская техника". Большая часть медицинской техники относится к медицинской аппаратуре, которая в свою очередь подразделяется на медицинские приборы и медицинские аппараты.

Медицинским прибором принято считать техническое устройство, предназначенное для диагностических или лечебных измерений (медицинский термометр, сфигмоманометр, электрокардиограф и др.).

Медицинский аппарат - техническое устройство, позволяющее создавать энергетическое воздействие терапевтического, хирургического или бактерицидного свойства, а также обеспечивать в медицинских целях определенный состав различных субстанций (аппарат УВЧ-терапии, электрохирургии, искусственной почки, ушной протез и др.).

Метрологические требования к медицинским приборам достаточно очевидны. Многие медицинские аппараты призваны оказывать дозирующее энергетическое воздействие на организм, поэтому они и заслуживают внимания метрологической службы. Измерения в медицине достаточно специфичны, поэтому в метрологии выделено отдельное направление - медицинская метрология.

Рассматривая некоторые проблемы, характерные для медицинской метрологии и частично для медицинского приборостроения, следует отметить: в настоящее время медицинские измерения в большинстве случаев проводит медицинский персонал (врач, медсестра), не являющийся технически подготовленным. Поэтому целесообразно создавать медицинские приборы, градуированные в единицах физических величин, значения которых являются конечной медицинской измерительной информацией (прямые измерения).

Желательно, чтобы времени измерения вплоть до получения полезного результата тратилось как можно меньше, а информация была как можно полнее. Этим требованиям удовлетворяют вычислительные машины.

При метрологическом нормировании медицинского прибора важно учитывать медицинские показания. Врач должен определить, с какой точностью достаточно представить результаты, чтобы можно было сделать диагностический вывод.

Многие медицинские приборы выдают информацию на регистрирующем устройстве (например, электрокардиографе), поэтому следует учитывать погрешности, характерные для этой формы записи.

Одна из проблем - термологическая. Согласно требованиям метрологии в названии измерительного прибора должна быть указана физическая величина или единица (амперметр, вольтметр, частотомер и др.). Названия для медицинских приборов не отвечают этому принципу (электрокардиограф, фонокардиограф, реограф и др.). Так, электрокардиограф следовало бы назвать милливольтметром с регистрацией показаний.

В ряде медицинских измерений может быть недостаточной информация о связи между непосредственно измеряемой физической величиной и соответствующими медико-биологическими параметрами. Так, например, при клиническом (бескровном) методе измерения давления крови допускается, что давление воздуха внутри манжеты приблизительно равно давлению крови в плечевой артерии.

4. Случайная величина. Закон распределения

Определение случайной величины. Многие случайные события могут быть оценены количественно как случайные величины. Случайной называют такую величину, которая принимает значения в зависимости от стечения случайных обстоятельств. Различают дискретные и непрерывные случайные величины.

Распределение дискретной случайной величины. Дискретная величина считается заданной, если указаны возможные ее значения и соответствующие им вероятности. Обозначим дискретную случайную величину х, ее значения х1, х2..., в вероятности: Р (х1) =р2, Р (х2) = р2 и т. д.

Совокупность x и Р называется распределением дискретной случайной величины.

Так как все возможные значения дискретной случайной величины представляют полную систему, то сумма вероятностей равна единице:

Здесь предполагается, что дискретная случайная величина имеет n значений. Выражение называется условием нормировки.

Во многих случаях наряду с распределением случайной величины или вместо него информацию об этих величинах могут дать числовые параметры, получившие название числовых характеристик случайной величины. Наиболее употребительные из них:

1) математическое ожидание (среднее значение) случайной величины есть сумма произведений всех возможных ее значений на вероятности этих значений;

2) дисперсией случайной величины называют математическое ожидание квадрата отклонения случайной величины от ее математического ожидания.

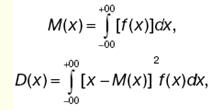
Для непрерывной случайной величины математическое ожидание и дисперсия записываются в виде:

где f(x) - плотность вероятности или функция распределения вероятностей. Она показывает, как изменяется вероятность отнесения к интервалу dx случайной величины в зависимости от значения самой этой величины. Нормальный закон распределения. В теориях вероятностей и математической статистики, в различных приложениях важную роль играет нормальный закон распределения (закон Гаусса). Случайная величина распределена по этому закону, если плотность ее вероятности имеет вид:

где а = М(х) - математическое ожидание случайной величины;

σ - среднее квадратное отклонение; следовательно;

σ2- дисперсия случайной величины. Кривая нормального закона распределения имеет колоколообразную форму, симметричную относительно прямой x = а (центр рассеивания).

5. Распределение Максвелла (распределение газовых молекул по скоростям) и Больцмана

Распределение Максвелла - в равновесном состоянии параметры газа (давление, объем и температура) остаются неизменными, однако микросостояния - взаимное расположение молекул, их скорости - непрерывно изменяются. Из-за огромного количества молекул практически нельзя определить значения их скоростей в какой-либо момент, но возможно, считая скорость молекул непрерывной случайной величиной, указать распределение молекул по скоростям. Распределение молекул по скоростям подтверждено различными опытами. Распределение Максвелла можно рассматривать как распределение молекул не только по скоростям, но и по кинетическим энергиям (так как эти понятия взаимосвязаны).

Выделим отдельную молекулу. Хаотичность движения позволяет например для проекции скорости Vx молекулы принять нормальный закон распределения. В этом случае, как показал Дж. К. Максвелл, плотность вероятности того, что молекула имеет компоненту скорости Ux, записывается следующим образом:

Можно получить максвелловскую функцию распределения вероятностей абсолютных значений скорости (распределение Максвелла по скоростям):

Распределение Больцмана. Если молекулы находятся в каком-либо внешнем силовом поле (например, в гравитационном поле Земли), то можно найти распределение по их потенциальным энергиям, т. е. установить концентрацию частиц, обладающих некоторым определенным значением потенциальной энергии. Распределение частиц по потенциальным энергиям в силовых полях - гравитационном, электрическом и др. - называют распределением Больцмана.

Применительно к гравитационному полю это распределение может быть записано в виде зависимости концентрации n молекул от высоты h над уровнем земли, или потенциальной энергии mgh:

Такое распределение молекул в поле тяготения Земли можно качественно, в рамках молекулярно-кинетических представлений, объяснить тем, что на молекулы оказывают влияние два противоположных фактора: гравитационное поле, под действием которого все молекулы притягиваются к Земле, и молекулярно-хаотическое движение, стремящееся равномерно разбросать молекулы по всему возможному объекту.

6. Математическая статистика и корреляционная зависимость

Математическая статистика - наука о математических методах систематизации и использования статистических данных для решения научных и практических задач. Математическая статистика тесно примыкает к теории вероятностей и базируется на ее понятиях. Однако главным в математической статистике является не распределение случайных величин, а анализ статистических данных и выяснение, какому распределению они соответствуют. Большая статистическая совокупность, из которой отбирается часть объектов для исследования, называется генеральной совокупностью, а множество объектов, собранных из нее, - выборочной совокупностью, или выборкой. Статистическое распределение - это совокупность вариант и соответствующих им частот (или относительных частот).

Для наглядности статистические распределения изображают графически в виде полигона и гистограммы.

Полигон частот - ломаная линия, отрезки которой соединяют точки с координатами (х1; п1), (х2; п2).... или для полигона относительных частот - с координатами(х11),(х22)....

Гистограмма частот - совокупность смежных прямоугольников, построенных на одной прямой линии, основания прямоугольников одинаковы и равны а, а высоты равны отношению частоты (или относительной частоты) к а:

Наиболее распространенными характеристиками статистического распределения являются средние величины: мода, медиана и средняя арифметическая (или выборочная средняя). Мода (Мо) равна варианте, которой соответствует наибольшая частота. Медиана (Ме) равна варианте, которая расположена в середине статистического распределения. Она делит статистический (вариационный) ряд на две равные части. Выборочная средняя (ХВ) определяется как среднее арифметическое значение вариант статистического ряда.

Корреляционная зависимость. Функциональные зависимости можно выразить аналитически. Так, например, площадь круга зависит от радиуса (S = pr2), ускорение F тела - от силы и массы (a = F/m0). Однако имеются зависимости, которые не слишком очевидны и не выражаются простыми и однозначными формулами. Так, например, прослеживается связь между ростом людей и массой их тела, изменение погодных условий влияет на число простудных заболеваний населения и т. д. Такая более сложная, чем функциональная, вероятностная зависимость является корреляционной (или просто - корреляцией). В этом случае изменение одной их величин влияет на среднее значение другой. Предположим, что изучается связь между случайной величиной x и случайной величиной Y Каждому конкретному значению x будет соответствовать несколько значений Y: у1, у2 и т. д.

Условным средним Yх назовем среднее арифметическое значение Y, соответствующее значению x = х. Корреляционной зависимостью, или корреляцией Y от Х, называют функцию Y x = f(x). Равенство называют уравнением регрессии Y на Х, а график функции - линией регрессии Y на Х.

7. Кибернетические системы

Кибернетической системой называют упорядоченную совокупность объектов (элементов системы), взаимодействующих и взаимосвязанных между собой, которые способны воспринимать, запоминать и перерабатывать информацию, а также обмениваться ею. Примерами кибернетических систем являются коллективы людей, мозг, вычислительные машины, автоматы. Соответственно этому элементами кибернетической системы могут быть объекты разной физической природы: человек, клетки мозга, блоки вычислительной машины и т. д. Состояние элементов системы описывается некоторым множеством параметров, которые подразделяются на непрерывные, принимающие любые вещественные значения в определенном интервале, и дискретные, принимающие конечные множества значений. Так, например, температура тела человека - непрерывный параметр, а его пол - дискретный параметр. Функционирование кибернетической системы описывается тремя свойствами: функциями, которые учитывают изменение состояний элементов системы, функциями, вызывающими изменения в структуре системы (в том числе и вследствие внешнего воздействия), и функциями, определяющими сигналы, передаваемые системой за ее пределы. Кроме того, учитывается начальное состояние системы.

Кибернетические системы различаются по своей сложности, степени определенности и уровню организации.

Кибернетические системы делятся на непрерывные и дискретные. В непрерывных системах все сигналы, циркулирующие в системе, и состояния элементов задаются непрерывными параметрами, в дискретных - дискретными. Существуют однако и смешанные системы, в которых имеются параметры обоих видов. Деление систем на непрерывные и дискретные является условным и определяется необходимой степенью точности исследуемого процесса, техническими и математическими удобствами. Некоторые процессы или величины, имеющие дискретную природу, например электрический ток (дискретность электрического заряда: он не может быть меньше, чем заряд электрона), удобно описывать непрерывными величинами. В других случаях, наоборот, непрерывный процесс имеет смысл описывать дискретными параметрами.

В кибернетике и технике принято деление систем на детерминированные и вероятностные. Детерминированные системы, элементы которой взаимодействуют определенным образом, состояние и поведение ее предсказываются однозначно и описываются однозначными функциями. Поведение вероятностных систем можно определить с некоторой долей достоверности.

Система называется замкнутой, если ее элементы обмениваются сигналами только между собой. Незамкнутые, или открытые, системы обязательно обмениваются сигналами с внешней средой.

Для восприятия сигналов из внешней среды и передачи их внутрь системы всякая открытая система обладает рецепторами (датчиками или преобразователями). У животных, как у кибернетической системы, рецепторами являются органы чувств - осязание, зрение, слух и иное, у автоматов - датчики: тензометрические, фотоэлектрические, индукционные и т. д.

8. Понятие о медицинской кибернетике

Медицинская кибернетика является научным направлением, связанным с использованием идей, методов и технических средств кибернетики в медицине и здравоохранении. Условно медицинскую кибернетику можно представить следующими группами.

Вычислительная диагностика заболеваний. Эта часть в основном связана с использованием вычислительных машин для подготовки диагноза. Структура любой диагностической системы состоит из медицинской памяти (совокупного медицинского опыта для данной группы заболеваний) и логического устройства, позволяющего сопоставить симптомы, обнаруженные у больного опросом и лабораторным обследованием, с имеющимся медицинским опытом. Этой же структуре следует и диагностическая вычислительная машина.

Сначала разрабатывают методики формального описания состояния здоровья пациента, проводят тщательный анализ клинических признаков, используемых в диагностике. Отбирают главным образом те признаки, которые допускают количественную оценку.

Кроме количественного выражения физиологических, биохимических и других характеристик больного, для вычислительной диагностики необходимы сведения о частоте клинических синдромов и диагностических признаков, об их классификации, зависимости, об оценке диагностической эффективности признаков и т. п. Все эти данные хранятся в памяти машины. Она сопоставляет симптомы больного с данными, заложенными в ее памяти. Логика вычислительной диагностики соответствует логике врача, устанавливающего диагноз: совокупность симптомов сопоставляется с предшествующим опытом медицины. Новую (неизвестную) болезнь машина не установит. Врач, встретивший неизвестное заболевание, сможет описать его признаки. Подробности о таком заболевании можно установить, лишь проведя специальные исследования. ЭВМ в таких исследованиях может играть вспомогательную роль.

Кибернетический подход к лечебному процессу. После того как врач установит диагноз, назначается лечение, которое не сводится к одноразовому воздействию. Это сложный процесс, во время которого врач постоянно получает медико-биологическую информацию о больном, анализирует ее и в соответствии с ней уточняет, изменяет, прекращает или продолжает лечебное воздействие.

В настоящее время кибернетический подход к лечебному процессу облегчает работу врача, позволяет эффективнее проводить лечение тяжелобольных, своевременно принимать меры при осложнениях во время операции, разрабатывать и контролировать процесс лечения медикаментами, создавать биоуправляемые протезы диагностирование заболеваний, управление устройствами, регулирующими жизненно важные функции.

В задачи оперативного врачебного контроля входит наблюдение за состояние тяжелобольных с помощью систем слежения (мониторных, систем наблюдения за состоянием здоровых людей, находящихся в экстремальных условиях: стрессовых состояниях, в невесомости, гипербарических условиях, среде с пониженным содержанием кислорода и т. п.).

9. Основы механики

Механикой называют раздел физики, в котором изучается механическое движение материальных тел. Под механическим движением понимают изменение положения тела или его частей в пространстве с течением времени.

Для медиков этот раздел представляет интерес по следующим причинам:

1) понимание механики движения целого организма для целей спортивной и космической медицины, механики опорно-двигательного аппарата человека - для целей анатомии и физиологии;

2) знание механических свойств биологических тканей и жидкостей;

3) понимание физических основ некоторых лабораторных методик, используемых в практике медико-биологических исследований, например центрифугирования.

Механика вращательного движения абсолютно твердого тела

Абсолютно твердым телом называют такое, расстояние между любыми двумя точками которого неизменно. При движении размеры и форма абсолютно твердого тела не изменяются. Быстрота вращения тела характеризуется угловой скоростью, равной первой производной от угла поворота радиус-вектора по времени:

ω = dt/da

Угловая скорость есть вектор, который направлен по оси вращения и связан с направлением вращения. Вектор угловой скорости в отличие от векторов скорости и силы является скользящим. Таким образом, задание вектора w указывает положение оси вращения, направление вращения и модуль угловой скорости. Быстрота изменения угловой скорости характеризуется угловым ускорением, равным первой производной от угловой скорости по времени:

Из этого видно, что вектор углового ускорения совпадает по направлению с элементарным, достаточно малым изменением вектора угловой скорости dw: при ускоренном вращении угловое ускорение направлено так же, как и угловая скорость, при замедленном вращении - противоположно ей. Приведем формулы кинематики вращательного движения твердого тела вокруг неподвижной оси:

1) уравнение равномерного вращательного движения:

a = wt + a0

где а0 - начальное значение угла;

2) зависимость угловой скорости от времени в равномерном вращательном движении:

w = et + W0,

где w0 - начальная угловая скорость;

3) уравнение равнопеременного вращательного движения:

10. Основные понятия механики

Момент силы. Моментом силы относительно оси вращения называют векторное произведение радиус-вектора на силу:

Mi = ri x Fi,

где ri и Fi - векторы.

Момент инерции. Мерой инерции тел при поступательном движении является масса. Инертность тел при вращательном движении зависит не только от массы, но и от распределения ее в пространстве относительно оси.

Моментом инерции тела относительно оси называют сумму моментов инерции материальных точек, из которых состоит тело:

Момент инерции сплошного тела обычно определяют интегрированием:

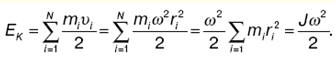
Момент импульсов тела относительно оси равен сумме моментов импульсов точек, из которых состоит данное тело:

Кинетическая энергия вращающего тела. При вращении тела его кинетическая энергия складывается

из кинетических энергий отдельных его точек. Для твердого тела:

Приравняем элементарную работу всех внешних сил при таком повороте к элементарному изменению кинетической энергии:

Mda = Jwdw,

откуда

сокращаем это равенство на ω:

откуда

Закон сохранения момента импульса. Если суммарный момент всех внешних сил, действующих на тело, равен нулю, то момент импульса этого тела остается постоянным. Этот закон справедлив не только для абсолютно твердого тела. Так, для системы, состоящей из N тел, вращающихся вокруг общей оси, закон сохранения момента импульса можно записать в форме:

11. Сочленения и рычаги в опорно-двигательном аппарате человека. Эргометрия

Движущиеся части механизмов обычно бывают соединены частями. Подвижное соединение нескольких звеньев образует кинематическую связь. Тело человека - пример кинематической связи. Опорно-двигательная система человека, состоящая из сочлененных между собой костей скелета и мышц, представляет с точки зрения физики совокупность рычагов, удерживаемых человеком в равновесии. В анатомии различают рычаги силы, в которых происходит выигрыш в силе, но проигрыш в перемещении, и рычаги скорости, в которых, проигрывая в силе, выигрывают в скорости перемещения. Хорошим примером рычага скорости является нижняя челюсть. Действующая сила осуществляется жевательной мышцей. Противодействующая сила - сопротивление раздавливаемой пищи - действует на зубы. Плечо действующей силы значительно короче, чем у сил противодействия, поэтому жевательная мышца короткая и сильная. Когда надо разгрызть что-либо зубами, уменьшается плечо силы сопротивления.

Если рассматривать скелет как совокупность отдельных звеньев, соединенных в один организм, то окажется, что все эти звенья при нормальной стойке образуют систему, находящуюся в крайне неустойчивом равновесии. Так, опора туловища представлена шаровыми поверхностями тазобедренного сочленения. Центр массы туловища расположен выше опоры, что при шаровой опоре создает неустойчивое равновесие. То же относится и к коленному соединению, и к голеностопному. Все эти звенья находятся в состоянии неустойчивого равновесия.

Центр массы тела человека при нормальной стойке расположен как раз на одной вертикали с центрами тазобедренного, коленного и голеностопного сочленений ноги, на 2-2,5 см ниже мыса крестца и на 4-5 см выше тазобедренной оси. Таким образом, это самое неустойчивое состояние нагроможденных звеньев скелета. И если вся система держится в равновесии, то только благодаря постоянному напряжению поддерживающих мышц.

Механическая работа, которую способен совершить человек в течение дня, зависит от многих факторов, поэтому трудно указать какую-либо предельную величину. Это относится и к мощности. Так, при кратковременных усилиях человек может развивать мощность порядка нескольких киловатт. Если спортсмен массой 70 кг подпрыгивает с места так, что его центр массы поднимается на 1 м по отношению к нормальной стойке, а фаза отталкивания длится 0,2 с, то он развивает мощность около 3,5 кВт. При ходьбе человек совершает работу, так как при этом энергия затрачивается на периодическое небольшое поднятие конечностей, главным образом ног.

Работа обращается в нуль, если перемещения нет. Поэтому, когда груз находится на опоре или подставке или подвешен на шест, сила тяжести не совершает работы. Однако, если держать неподвижно на вытянутой руке гирю или гантель, отмечается усталость мышц руки и плеча. Точно так же устают мышцы спины и поясничной области, если сидящему человеку поместить на спину груз.

12. Механические колебания

Повторяющиеся движения (или изменения состояния) называют колебаниями (переменный электрический ток, явление маятника, работа сердца и т. п.). Различают:

1) свободные, или собственные, колебания - такие колебания, которые происходят в отсутствие переменных внешних воздействий на колебательную систему и возникают вследствие какого-либо начального отклонения этой системы от состояния ее устойчивого равновесия;

2) вынужденные колебания - колебания, в процессе которых колеблющаяся система подвергается воздействию внешней периодически меняющейся силы;

3) гармонические колебания - это колебания, при которых смещение изменяется по закону синуса или косинуса в зависимости от времени. Скорость и ускорение точки вдоль оси x равны соответственно:

где u0 = Aw - амплитуда скорости;

a0 = Aw2 =u0w - амплитуда ускорения;

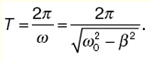
4) затухающие колебания - колебания с уменьшающимися во времени значениями амплитуды колебаний, обусловленные потерей колебательной системой энергии на преодоление силы сопротивления.

Период затухающих колебаний зависит от коэффициента трения и определяется формулой:

При очень малом трении (β2 <<ω02) период затухающего колебания близок к периоду незатухающего свободного колебания

На практике степень затухания часто характеризуют логарифмическим декрементом затухания s:

где Nl - число колебаний, в течение которых амплитуда колебаний уменьшается в l раз. Коэффициент затухания и логарифмический декремент затухания связаны достаточно простой зависимостью:

l = bT;

5) вынужденные колебания - колебания, которые возникают в системе при участии внешней силы. Уравнение движения вынужденных колебаний имеет вид:

где F - вынуждающая сила.

Вынуждающая сила изменяется по гармоническому закону F = F0 coswt.

13. Механические волны

Механические волны - это возмущения, распространяющиеся в пространстве и несущие энергию. Различают два вида механических волн: упругие волны и волны на поверхности жидкостей.

Упругие волны возникают благодаря связям, существующим между частицами среды: перемещение одной частицы от положения равновесия приводит к перемещению соседних частиц.

Поперечная волна - это волна, направление и распространение которой перпендикулярны направлению колебаний точек среды.

Продольная волна - это волна, направление и распространение которой совпадают с направлением колебаний точек среды.

Волновая поверхность гармонической волны - односвязная поверхность в среде, представляющая собой геометрически либо синфазно (в одной фазе) ряд колеблющихся точек среды при гармонической бегущей волне.

Фронт волны - самая далекая в данный момент волновая поверхность, куда дошла волна к этому моменту.

Плоская волна - волна, фронт которой представляет собой плоскость, перпендикулярную распространению волны.

Сферическая волна - волна, фронт которой представляет сферическую поверхность с радиусом, совпадающим с направлением распространения волны.

Принцип Гюйгенса. Каждая точка среды, до которой дошло возмущение, сама становится источником вторичных сферических волн. Скорость распространения волн (фазовая) - скорость распространения поверхности равной фазы для гармонической волны.

Скорость волны равна произведению частоты колебаний в волне на длину волны:

n = lυ.

Стоячая волна - состояние среды, при котором расположение максимумов и минимумов перемещений колеблющихся точек не меняется во времени.

Упругие волны - упругие возмущения, распространяющиеся в твердой, жидкой и газообразной средах (например, волны, возникающие в земной коре при землетрясении, звуковые и ультразвуковые волны в газообразных, жидких и твердых телах).

Ударные волны - один из распространенных примеров механической волны. Звуковая волна - колебательные движения частиц упругой среды, распространяющиеся в виде упругих волн (деформации сжатия, сдвига, которые переносятся волнами из одной точки среды в другую) в газообразной, жидкой и твердой среде. Звуковые волны, воздействуя на органы слуха человека, способны вызывать звуковые ощущения, если частоты соответствующих им колебаний лежат в пределах 16 - 2 ч 104 Гц (слышимые звуки). Упругие волны с частотами, меньшими 16 Гц, называются инфразвуком, а с частотами, большими 16 Гц, - ультразвуком. Скорость звука - фазовая скорость звуковых волн в упругой среде. Скорость звука различна в различных средах. Скорость звука в воздухе - 330-340 м/с (в зависимости от состояния воздуха).

Громкость звука связана с энергией колебаний в источнике и в волне и, следовательно, зависит от амплитуды колебаний. Высота звука - качество звука, определяемое человеком субъективно на слух и зависящее в основном от частоты звука.

14. Эффект Доплера

Эффектом Доплера называется изменение частоты волн, регистрируемой приемником, которое происходит вследствие движения источника этих волн и приемника. Например, при приближении к неподвижному наблюдателю быстро двигающегося поезда тон звукового сигнала последнего выше, а при удалении поезда - ниже тона сигнала, подаваемого тем же поездом, когда он стоит на станции.

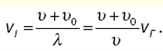
Представим себе, что наблюдатель приближается со скоростью ин к неподвижному относительно среды источнику волн. При этом он встречает за один и тот интервал времени больше волн, чем при отсутствии движения. Это означает, что воспринимается частота vy больше частоты волны, испускаемой источником. Но если длина волны, частота и скорость распространения волны связаны соотношением:

Эффект Доплера можно использовать для определения скорости движения тела в среде. Для медицины это имеет особое значение. Например, рассмотрим такой случай. Генератор ультразвука совмещен с приемником в виде некоторой технической системы.

Техническая система неподвижна относительно среды.

В среде со скоростью u0 движется объект (тело). Генератор излучает ультразвук с частотой v1. Движущимся объектом воспринимается частота v1, которая может быть найдена по формуле:

где v - скорость распространения механической волны (ультразвука).

В медицинских приложениях скорость ультразвука значительно больше скорости движения объекта

(u > u0). Для этих случаев имеем:

Эффект Доплера используется для определения скорости кровотока, скорости движения клапанов и стенок сердца (доплеровская эхокардиография) и других органов; потока энергии волн. Волновой процесс связан с распространением энергии. Количественной характеристикой от энергии является поток энергии.

Поток энергии волн равен отношению энергии, переносимой волнами через некоторую поверхность, к времени, в течение которого эта энергия перенесена:

Единицей потока энергии волн является ватт (Вт).

Поток энергии волн, отнесенный к площади, ориентированной перпендикулярно направлению распространения волн, называют плотностью потока энергии волн, или интенсивностью волн.

15. Акустика

Акустика - область физики, исследующая упругие колебания и волны от самых низких частот до предельно высоких (1012-1013 Гц). Современная акустика охватывает широкий круг вопросов, в ней выделяют ряд разделов: физическая акустика, которая изучает особенности распространения упругих волн в различных средах, физиологическая акустика, изучающая устройство звуковоспринимающих и звукообразующих органов у человека и животных, и др.

Под акустикой понимают учение о звуке, т. е. об упругих колебаниях и волнах в газах, жидкостях и твердых телах, воспринимаемых человеческим ухом (частоты от 16 до 20 000 Гц).

Слух является объектом слуховых ощущений, поэтому оценивается человеком субъективно. Воспринимая тоны, человек различает их по высоте.

Высота - субъективная характеристика, обусловленная прежде всего частотой основного тона. В значительно меньшей степени высота зависит от сложности тона и его интенсивности: звук большей интенсивности воспринимается как звук более низкого тона.

Тембр звука почти исключительно определяется спектральным составом. Разные акустические спектры соответствуют разному тембру, хотя основной тон и, следовательно, высота тона одинаковы.

Громкость характеризует уровень слухового ощущения. Несмотря на субъективность, громкость может быть оценена количественно путем сравнения слухового ощущения от двух источников. В основе создания шкалы уровней громкости лежит психофизический закон Вебера-Фехнера. Согласно этому закону, если увеличивать раздражение в геометрической прогрессии (т. е. в одинаковое число раз), то ощущение этого раздражения возрастает в арифметической прогрессии (т. е. на одинаковую величину). Применительно к звуку это означает, что если интенсивность звука принимает ряд последовательных значений, например а10, а210, а310 (а - некоторый коэффициент, а > I) и так далее, то соответствующее им ощущение громкости звука равно Е0, 2Е0, 3Е0 и т. д. Математически это означает, что громкость звука пропорциональна логарифму интенсивности звука. Если действуют два звуковых раздражения с интенсивностями I и I0, причем I0 - порог слышимости, то на основании закона Вебера-Фехнера громкость относительно него связана с интенсивностями следующим образом:

где k - некоторый коэффициент пропорциональности, зависящий от частоты и интенсивности. Метод измерения остроты звука называют аудиометрией. При аудиометрии на специальном приборе (аудиометре) определяют порог слухового ощущения на разных частотах; полученная кривая называется аудиограммой. Сравнение аудиограммы больного человека с нормальной кривой порога слухового ощущения помогает диагностировать заболевание органов слуха.

16. Физические основы звуковых методов исследования в клинике

Звук, как и свет, является источником информации, и в этом его главное значение. Звуки природы, речь окружающих нас людей, шум работающих машин многое сообщают нам. Чтобы представить значение звука для человека, достаточно временно лишить себя возможности воспринимать звук - закрыть уши. Естественно, что звук может быть и источником информации о состоянии внутренних органов человека.

Распространенный звуковой метод диагностики заболеваний - аускультация (выслушивание). Для аускультации используют стетоскоп или фонендоскоп. Фонендоскоп состоит из полой капсулы с передающей звук мембраной, прикладываемой к телу больного, от нее идут резиновые трубки к уху врача. В полой капсуле возникает резонанс столба воздуха, вследствие чего усиливается звучание и улучшается аускультация. При аускультации легких выслушивают дыхательные шумы, разные хрипы, характерные для заболеваний. По изменению тонов сердца и появлению шумов можно судить о состоянии сердечной деятельности. Используя аускультацию, можно установить наличие перистальтики желудка и кишечника, прослушать сердцебиение плода.

Для одновременного выслушивания больного несколькими исследователями с учебной целью или при консилиуме используют систему, в которую входят микрофон, усилитель и громкоговоритель или несколько телефонов.

Для диагностики состояния сердечной деятельности применяется метод, подобный аускультации и называемый фонокардиографией (ФКГ). Этот метод заключается в графической регистрации тонов и шумов сердца и их диагностической интерпретации. Запись фонокардиограммы производят с помощью фонокардиографа, состоящего из микрофона, усилителя, системы частотных фильтров и регистрирующего устройства.

Принципиально отличным от двух изложенных выше звуковых методов является перкуссия. При этом методе выслушивают звучание отдельных частей тела при их простукивании. Схематично тело человека можно представить как совокупность газонаполненных (легких), жидких (внутренние органы) и твердых (кость) объемов. При ударе по поверхности тела возникают колебания, частоты которых имеют широкий диапазон. Из этого диапазона одни колебания погаснут довольно быстро, другие же, совпадающие с собственными колебаниями пустот, усилятся и вследствие резонанса будут слышимы. Опытный врач по тону перкуторных звуков определяет состояние и расположение (тонографию) внутренних органов.

17. Физика слуха

Слуховая система связывает непосредственный приемник звуковой волны с головным мозгом.

Используя понятия кибернетики, можно сказать, что слуховая система получает, перерабатывает и передает информацию. Из всей слуховой системы для рассмотрения физики слуха выделяют наружное, среднее и внутреннее ухо.

Наружное ухо состоит из ушной раковины и наружного слухового прохода. Ушная раковина у человека не играет существенной роли для слуха. Она способствует определению локализации источника звука при его расположении - звук от источника попадает в ушную раковину. В зависимости от положения источника в вертикальной плоскости звуковые волны будут по разному дифрагировать на ушной раковине из-за ее специфической формы. Это приводит и к разному изменению спектрального состава звуковой волны, попадающей в слуховой проход. Человек научился ассоциировать изменение спектра звуковой волны с направлением на источник звука.

Различным направлениям на источник звука в горизонтальной плоскости будут соответствовать разности фаз. Считают, что человек с нормальным слухом может фиксировать направления на источник звука с точностью до 3°, этому соответствует разность фаз - 6°. Поэтому можно полагать, что человек способен различать изменение разности фаз звуковых волн, попадающих в его уши, с точностью до 6°.

Кроме фазового различия, бинауральному эффекту способствует неодинаковость интенсивностей звука у разных ушей, а также и "акустическая тень" от головы до одного уха.

Длина слухового прохода у человека равна приблизительно 2,3 см; следовательно, акустический резонанс возникает при частоте:

Наиболее существенными частями среднего уха являются барабанная перепонка и слуховые косточки: молоточки, наковальня и стремечко с соответствующими мышцами, сухожилиями и связками.

Система косточек на одном конце молоточком связана с барабанной перепонкой, на другом - стремечком с овальным окном внутреннего уха. На барабанную перепонку действует звуковое давление, что обусловливает силу F1 = P1 S1 (P1 - звуковое давление, S1 - площадь).

Система косточек работает, как рычаг, с выигрышем в силе со стороны внутреннего уха у человека в 1,3 раза. Еще одна из функций среднего уха - ослабление передачи колебаний в случае звука большой интенсивности.

Улитка человека является костным образованием длиной около 3,5 мм и имеет форму капсулообразной спирали с 2-3/4 завитками. Вдоль улитки проходят три канала. Один из них, который начинается от овального окна, называется вестибулярной лестницей. Другой канал идет от круглого окна, он называется барабанной лестницей. Вестибулярная и барабанная лестницы соединены в области купола улитки посредством маленького отверстия - геликотремы. Между улитковым каналом и барабанной лестницей вдоль улитки проходит основная (базилярная) мембрана. На ней находится кортиев орган, содержащий рецепторные (волосковые) клетки, от улитки идет слуховой нерв.

18. Ультразвук и его применение в медицине

Ультразвук представляет собой высокочастотные механические колебания частиц твердой, жидкой или газообразной среды, неслышимые человеческим ухом. Частота колебаний ультразвука выше 20 000 в секунду, т. е. выше порога слышимости.

Для лечебных целей применяется ультразвук с частотой от 800 000 до 3 000 000 колебаний в секунду. Для генерирования ультразвука используются устройства, называемые ультразвуковыми излучателями.

Наибольшее распространение получили электромеханические излучатели. Применение ультразвука в медицине связано с особенностями его распространения и характерными свойствами. По физической природе ультразвук, как и звук, является механической (упругой) волной. Однако длина волны ультразвука существенно меньше длины звуковой волны. Чем больше различные акустические сопротивления, тем сильнее отражение и преломление ультразвука на границе разнородных сред. Отражение ультразвуковых волн зависит от угла падения на зону воздействия - чем больше угол падения, тем больше коэффициент отражения.

В организме ультразвук частотой 800-1000 кГц распространяется на глубину 8-10 см, а при частоте 2500-3000 Гц - на 1,0-3,0 см. Ультразвук поглощается тканями неравномерно: чем выше акустическая плотность, тем меньше поглощение.

На организм человека при проведении ультразвуковой терапии действуют три фактора:

1) механический - вибрационный микромассаж клеток и тканей;

2) тепловой - повышение температуры тканей и проницаемости клеточных оболочек;

3) физико-химический - стимуляция тканевого обмена и процессов регенерации.

Биологическое действие ультразвука зависит от его дозы, которая может быть для тканей стимулирующей, угнетающей или даже разрушающей. Наиболее адекватными для лечебно-профилактических воздействий являются небольшие дозировки ультразвука (до 1,2 Вт/см2), особенно в импульсном режиме. Они способны оказывать болеутоляющее, антисептическое (противомикробное), сосудорасширяющее, рассасывающее, противовоспалительное, десенсибилизирующее (противоаллергическое) действие.

В физиотерапевтической практике используются преимущественно отечественные аппараты трех серий: УЗТ-1, УЗТ-2, УЗТ-3.

Ультразвук не применяется на область мозга, шейных позвонков, костные выступы, области растущих костей, ткани с выраженным нарушением кровообращения, на живот при беременности, мошонку. С осторожностью ультразвук применяют на область сердца, эндокринные органы.

Различают непрерывный и импульсный ультразвук. Непрерывным ультразвуком принято называть непрерывный поток ультразвуковых волн. Этот вид излучения используется главным образом для воздействия на мягкие ткани и суставы. Импульсный ультразвук представляет собой прерывистое излучение, т. е. ультразвук посылается отдельными импульсами через определенные промежутки времени.

19. Гидродинамика

Гидродинамика - раздел физики, в котором изучают вопросы движения несжимаемых жидкостей и взаимодействие их при этом с окружающими твердыми телами, учения о деформациях и текучести вещества.

Совокупность методов измерения вязкости называется вискозиметрией, а приборы, используемые для таких целей, - вискозиметрами. Наиболее распространенный метод вискозиметрии - капиллярный - заключается в измерении времени протекания через капилляр жидкости известной массы под действием силы тяжести при определенном перепаде давлений. Капиллярный вискозиметр применяется для определения вязкости крови.

Применяются также ротационные вискозиметры, в которых жидкость находится в зазоре между двумя соосными телами, например цилиндрами. Один из цилиндров (ротор) вращается, а другой малоподвижен. Вязкость измеряется по угловой скорости ротора, создающего определенный момент силы на неподвижном цилиндре, или по моменту силы, действующему на неподвижном цилиндре, или по моменту силы, действующему на неподвижный цилиндр, при заданной угловой скорости вращения ротора. С помощью ротационных вискозиметров определяют вязкость жидкостей - смазочных масел, расплавленных силикатов и металлов, высоковязных лаков и клеев, глинистых растворов.

В настоящее время в клинике для определения вязкости крови используют вискозиметр Гесса с двумя капиллярами. В вискозиметре Гесса объем крови всегда одинаков, а объем воды отсчитывают по делениям на трубке, поэтому непосредственно получают значение относительной вязкости крови. Вязкость крови человека в норме 0,4-0,5 Пас, при патологии колеблется от 0,17 до 2,23 Пас, что сказывается на скорости оседания эритроцитов (СОЭ). Венозная кровь обладает несколько большей вязкостью, чем артериальная.

Ламинарное и турбулентное течения. Число Рейнольдса. Течение жидкости может быть слоистым, или ламинарным. Увеличение скорости течения вязкой жидкости вследствие неоднородности давления поперечному сечению трубы создает завихрение, и движение становится вихревым, или турбулентным.

При турбулентном течении скорость частиц в каждом месте хаотически изменяется, движение является нестационарным.

Кинематическая вязкость полнее, чем динамическая, учитывает влияние внутреннего трения на характер течения жидкости или газа. Так, вязкость воды приблизительно в 100 раз больше, чем воздуха (при 0 °C), но кинематическая вязкость воды в 10 раз меньше, чем воздуха, и поэтому вязкость сильнее влияет на характер течения воздуха, чем воды. Характер течения жидкости или газа зависит от размеров трубы.

Течение крови в артериях в норме является ламинарным, небольшая турбулентность возникает вблизи клапанов. При патологии, когда вязкость бывает меньше нормы, число Рейнольдса может быть выше критического значения, и движение станет турбулентным.

20. Механические свойства твердых тел и биологических тканей

Характерным признаком твердого тела является способность сохранять форму. Твердые тела можно разделить на кристаллические и аморфные.

Отличительным признаком кристаллического состояния служит анизотропия - зависимость физических свойств (механических, тепловых, электрических, оптических) от направления. Причина анизотропии кристаллов заключается в упорядоченном расположении атомов или молекул, из которых они построены, проявляемом в правильной внешней огранке отдельных монокристаллов. Однако, как правило, кристаллические тела встречаются в виде поликристаллов - совокупности множеств сросшихся между собой, беспорядочно ориентированных отдельных маленьких кристаллов (кристаллитов). В зависимости от природы частиц, находящихся в узлах, и характера сил взаимодействия различают 4 типа кристаллических решеток: ионные, атомные, металлические и молекулярные. Во всех узлах металлической решетки расположены положительные ионы металлов. Между ними хаотически движутся электроны.

Главной особенностью внутреннего строения тел, находящихся в аморфном состоянии, является строгая повторяемость в расположении атомов или групп атомов во всех направлениях вдоль всего тела. Аморфные тела в одинаковых условиях имеют большие, чем кристаллы, удельный объем, энтропию и внутреннюю энергию. Аморфное состояние свойственно веществам самой различной природы. При малом давлении и высокой температуре вещества в этом состоянии весьма подвижны: низкомолекулярные являются жидкостями, высокомолекулярные оказываются в высокоэластическом состоянии. С понижением температуры и ростом давления подвижность аморфных веществ уменьшается, и все они становятся твердыми телами.

Полимерами называют вещества, молекулы которых представляют собой длинные цепи, составленные из большого числа атомов или атомных группировок, соединенных химическими связями. Особенность химического строения полимеров обусловливает и их особые физические свойства. К полимерным материалам относят почти все живые и растительные материалы, такие как шерсть, кожа, рог, волос, шелк, хлопок, натуральный каучук и иные, а также всякого рода синтетические материалы - синтетический каучук, пластмассы, волокна и др.

Большой интерес для медицины представляют тканевые клеи (например, алкил-а-цианокрилаты, п-бутил-а-цинокрилат), быстро полимеризующиеся в пленку, которые используют для закрытия ран без наложения швов.

Жидкими кристаллами называют вещества, которые обладают свойствами и жидкостей, и кристаллов. По своим механическим свойствам эти вещества похожи на жидкости - они текут. По характеру молекулярной упорядоченности различают нематические и смектические жидкие кристаллы. В нематических жидких кристаллах молекулы ориентированы параллельно, но их центры расположены беспорядочно. Смектические кристаллы состоят из параллельных слоев, в которых молекулы упорядочены. Особый класс составляют кристаллы холестерического типа (их строение характерно для соединений, содержащих холестерин).

21. Механические свойства биологических тканей

Под механическими свойствами биологических тканей понимают две их разновидности. Одна связана с процессами биологической подвижности: сокращение мышц животных, рост клеток, движение хромосом в клетках при их делении и др. Эти процессы обусловлены химическими процессами и энергетически обеспечиваются АТФ, их природа рассматривается в курсе биохимии. Условно указанную группу называют активными механическими свойствами биологических систем.

Костная ткань. Кость - основной материал опорно-двигательного аппарата. Две трети массы компактной костной ткани (0,5 объема) составляет неорганический материал, минеральное вещество кости - гидроксилантит 3 Са3(РО) x Са(ОН)2. Это вещество представлено в форме микроскопических кристалликов.

Плотность костной ткани равна 2400 кг/м3, ее механические свойства зависят от многих факторов, в том числе от возраста, индивидуальных условий роста организма и, конечно, от участка организма. Строение кости придает ей нужные механические свойства: твердость, упругость и прочность.

Кожа. Она состоит из волокон коллагена и эластина и основной ткани - матрицы. Коллаген составляет около 75 % сухой массы, а эластин - около 4 %. Эластин растягивается очень сильно (до 200-300 %), примерно как резина. Коллаген может растягиваться до 10 %, что соответствует капроновому волокну.

Таким образом, кожа является вязкоупругим материалом с высокоэластическими свойствами, она хорошо растягивается и удлиняется.

Мышцы. В состав мышц входит соединительная ткань, состоящая из волокон коллагена и эластина. Поэтому механические свойства мышц подобны механическим свойствам полимеров. Механическое поведение скелетной мышцы следующее: при быстром растяжении мышц на определенную величину напряжение резко возрастает, а затем уменьшается. При большей деформации происходит увеличение межатомных расстояний в молекулах.

Ткань кровеносных сосудов (сосудистая ткань). Механические свойства кровеносных сосудов определяются главным образом свойствами коллагена, эластина и гладких мышечных волокон. Содержание этих составляющих сосудистой ткани изменяется по ходу кровеносной системы: отношение эластина к коллагену в общей сонной артерии 2: 1, а в бедренной артерии - 1: 2. С удалением от сердца увеличивается доля гладких мышечных волокон, в артериолах они уже являются основной составляющей сосудистой ткани.

При детальном исследовании механических свойств сосудистой ткани различают, каким образом вырезан из сосуда образец (вдоль или поперек сосуда). Можно рассматривать деформацию сосуда в целом как результат действия давления изнутри на упругий цилиндр. Две половины цилиндрического сосуда взаимодействуют между собой по сечениям стенок цилиндра. Общая площадь этого сечения взаимодействия равна 2hl. Если в сосудистой стенке существует механическое напряжение s, то сила взаимодействия двух половинок сосуда равна:

F = s x2hl.

22. Физические вопросы гемодинамики

Гемодинамикой называют область биомеханики, в которой исследуется движение крови по сосудистой системе. Физической основой гемодинамики является гидродинамика.

Существует связь между ударным объемом крови (объемом крови, выбрасываемой желудочком сердца за одну систолу), гидравлическим сопротивлением периферической части системы кровообращения Х0 и изменением давления в артериях: так как кровь находится в упругом резервуаре, то ее объем в любой момент времени зависит от давления р по следующему соотношению:

v = v0 + kp,

где k - эластичность, упругость резервуара;

v0 - объем резервуара при отсутствии давления (р = 0).

В упругий резервуар (артерии) поступает кровь из сердца, объемная скорость кровотока равна Q.

От упругого резервуара кровь оттекает с объемной скоростью кровотока Q0 в периферическую систему (артериолы, капилляры). Можно составить достаточно очевидное уравнение:

показывающее, что объемная скорость кровотока из сердца равна скорости возрастания объема упругого резервуара.

Пульсовая волна. При сокращении сердечной мышцы (систоле) кровь выбрасывается из сердца в аорту и отходящие от нее артерии. Если стенки этих сосудов были жесткими, то давление, возникающее в крови на выходе из сердца, со скоростью звука передалось бы к периферии. Систолическое давление человека в норме равно приблизительно 16 кПа. Во время расслабления сердца (диастолы) растянутые кровеносные сосуды спадают, и потенциальная энергия, сообщенная им сердцем через кровь, переходит в кинетическую энергию тока крови, при этом поддерживается диастолическое давление, приблизительно равное 11 кПа. Пульсовая волна распространяется со скоростью 5-10 м/с и даже более. Вязкость крови и упруговязкие свойства стенок сосуда уменьшают амплитуду волны. Можно записать следующее уравнение для гармонической пульсовой волны:

где р0 - амплитуда давления в пульсовой волне;

х - расстояние до произвольной точки от источника колебаний (сердца);

t - время;

w - круговая частота колебаний;

c - некоторая константа, определяющая затухание волны.

Длину пульсовой волны можно найти из формулы:

где Е - модуль упругости;

р - плотность вещества сосуда;

h- толщина стенки сосуда;

d- диаметр сосуда.

23. Работа и мощность сердца. Аппарат искусственного кровообращения

Работа, совершаемая сердцем, затрачивается на преодоление сопротивления и сообщение крови кинетической энергии.

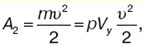
Рассчитаем работу, совершаемую при однократном сокращении левого желудочка.

Vу - ударный объем крови в виде цилиндра. Можно считать, что сердце поставляет этот объем по аорте сечением S на расстояние I при среднем давлении р. Совершаемая при этом работа равна:

A1 = FI = pSI = pVy.

На сообщение кинетической энергии этому объему крови затрачена работа:

где р - плотность крови;

υ - скорость крови в аорте.

Таким образом, работа левого желудочка сердца при сокращении равна:

Так как работа правого желудочка принимается равной 0,2 от работы левого, то работа всего сердца при однократном сокращении равна:

Эта формула справедлива как для покоя, так и для активного состояния организма, но эти состояния отличаются разной скоростью кровотока. Физические основы химического метода измерения давления крови. Физический параметр - давление крови - играет большую роль в диагностике многих заболеваний.

Систолическое и диастолическое давления в какой-либо артерии могут быть измерены непосредственно с помощью иглы, соединенной с манометром. Однако в медицине широко используется бескровный метод, предложенный Н. С. Коротковым. Суть метода: вокруг руки между плечом и локтем накладывают манжетку. При накачивании воздуха через шланг в манжетку рука сжимается. Затем через этот же шланг воздух выпускают и с помощью манометра измеряют давление воздуха в манжете. Выпуская воздух, уменьшают давление в манжете и в мягких тканях, с которыми она соприкасается. Когда давление станет равно систолическому, кровь будет способна пробиться через сдавленную артерию - возникает турбулентное течение. Характерные тоны и шумы, сопровождающие этот процесс, прослушивает врач при измерении давления, располагая фонендоскоп на артерии ниже манжеты (т. е. на большом расстоянии от сердца). Продолжая уменьшать давление в манжете, можно восстановить ламинарное течение крови, что заметно по резкому ослаблению прослушиваемых тонов. Давление в манжете, соответствующее восстановлению ламинарного течения в артерии, регистрируют как диастолическое. Для измерения артериального давления применяют приборы - сфигмоманометр с ртутным манометром, сфигмотонометр с металлическим мембранным манометром.

24. Термодинамика

Под термодинамикой понимают раздел физики, рассматривающий системы, между которыми возможен обмен энергией без учета микроскопического строения тел, составляющих систему. Различают термодинамику равновесных систем (или систем, переходящих к равновесию) и термодинамику неравновесных систем, которая играет особую роль для рассмотрения биологических систем.

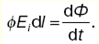
Основные понятия термодинамики. Первое начало термодинамики. Состояние термодинамической системы характеризуется физическими величинами, называемыми параметрами (такими как объем, давление, температура, плотность и т. д.). Если параметры системы при взаимодействии ее с окружающими телами не изменяются с течением времени, то состояние системы называют стационарным. В разных частях системы, находящейся в стационарном состоянии, значения параметров обычно различаются: температура в разных участках тела человека, концентрация диффундирующих молекул в разных частях биологической мембраны и т. п. Стационарное состояние поддерживается за счет потоков энергии и вещества, проходящих через систему. В стационарном состоянии могут находиться такие системы, которые либо обмениваются и энергией, и веществом с окружающими системами (открытые системы), либо обмениваются только энергией (закрытые системы).

Термодинамическая система, которая не обменивается с окружающими телами ни энергией, ни веществом, называется изолированной. Изолированная система со временем приходит в состояние термодинамического равновесия. В этом состоянии, как и в стационарном, параметры системы сохраняются неизменными во времени. Однако существенно, что в равновесном состоянии параметры, не зависящие от массы или числа частиц (давление, температура и др.), одинаковы в разных частях этой системы. Любая термодинамическая система не будет изолированной, так как ее невозможно окружить оболочкой, не проводящей теплоту.

Изолированную систему рассматривают как удобную термодинамическую модель. Закон сохранения энергии для тепловых процессов формулируется как первое начало термодинамики. Количество теплоты, переданное системе, идет на изменение внутренней энергии системы и совершение системой работы. Под внутренней энергией системы понимают сумму кинетической и потенциальной энергий частиц, из которых состоит система.

Внутренняя энергия является функцией состояния системы и для данного состояния имеет вполне определенное значение: DU есть разность двух значений внутренней энергии, соответствующих конечному и начальному состояниям системы:

DU = U2- U1

Количество теплоты, как и работы, является функцией процесса, а не состояния. Первое начало термодинамики можно записать в виде:

dQ = dU + dA.

Значения Q, A, DU и dQ, dA, dU могут быть как положительными (теплота передается системе внешними телами, внутренняя энергия увеличивается), так и отрицательными (теплота отнимается от системы, внутренняя энергия уменьшается).

25. Второе начало термодинамики. Энтропия

Существует несколько формулировок второго закона термодинамики: теплота сама собой не может переходить от тела с меньшей температурой к телу с большей температурой (формулировка Клаузиуса), или невозможен вечный двигатель второго рода (формулировка Томсона).

Процесс называют обратимым, если можно совершить обратный процесс через все промежуточные состояния так, чтобы после возвращения системы в исходное состояние в окружающих телах не произошло каких-либо изменений.

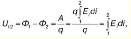
Коэффициентом полезного действия тепловой машины, или прямого цикла, называют отношение совершенной работы к количеству теплоты, полученному рабочим веществом от нагревателя:

Так как работа тепловой машины совершается за счет количества теплоты, а внутренняя энергия рабочего вещества за цикл не изменяется (DU = 0), то из первого закона термодинамики следует, что работа в круговых процессах равна алгебраической сумме количеств теплоты:

A = Q1 + Q2.

Следовательно:

Количество теплоты Q1, полученное рабочим веществом, положительно, количество теплоты Q2, отданное рабочим веществом холодильнику, отрицательно.

Сумму приведенных количеств теплоты для обратимого процесса можно представить как разность двух значений некоторой функции состояния системы, которую называют энтропией:

где S2 и S1 - энтропия соответственно в конечном втором и начальном первом состояниях.

Энтропия есть функция состояния системы, разность значений которой для двух состояний равна сумме приведенных количеств теплоты при обратимом переходе системы из одного состояния в другое.

Физический смысл энтропии:

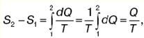
Если система перешла от одного состояния к другому, то независимо от характера процесса изменение энтропии вычисляется по формуле для любого обратимого процесса, происходящего между этими состояниями:

где Q - полное количество теплоты, полученное системой в процессе перехода из первого состояния в состояние второе при постоянной температуре Т. Эту формулу используют при вычислении изменения энтропии в таких процессах, как плавление, парообразование и т. п.

26. Стационарное состояние

Принцип производства энтропии. Организм как открытая система

Выше была описана направленность термодинамических процессов в изолированной системе. Однако реальные процессы и состояния в природе и технике являются неравновесными, а многие системы - открытыми.

Эти процессы и системы рассматриваются в неравновесной термодинамике. Аналогично тому как в равновесной термодинамике особым состоянием является состояние равновесия, так в неравновесной термодинамике особую роль играют стационарные состояния. Несмотря на то что в стационарном состоянии необходимые процессы, протекающие в системе (диффузия, теплопроводность и др.), увеличивают энтропию, энтропия системы не изменяет.

Представим изменением энтропии DS системы в виде суммы двух слагаемых:

DS =DSi + DSl,

где DSi - изменение энтропии, обусловленное необратимыми процессами в системе; DSl - изменение энтропии, вызванное взаимодействием системы с внешними телами (потоки, проходящие через систему). Необратимость процессов приводит к DSi > 0, стационарность состояния - к DSi = 0; следовательно: DSl = DS - DSi < 0. Это означает, что энтропия в продуктах (вещество и энергия), поступающих в систему, меньше энтропии в продуктах, выходящих из системы.

Начальное развитие термодинамики стимулировалось потребностями промышленного производства. На этом этапе (XIX в.) основные достижения заключались в формулировке законов, разработке методов циклов и термодинамических потенциалов применительно к идеализированным процессам.

Биологические объекты являются открытыми термодинамическими системами. Они обмениваются с окружающей средой энергией и веществом. Для организма - стационарной системы - можно записать dS = 0, S = = const, dS i> 0, dSe < 0. Это означает, что большая энтропия должна быть в продуктах выделения, а не в продуктах питания.

При некоторых патологических состояниях энтропия биологической системы может возрастать (dS > 0), это связано с отсутствием стационарности, увеличением неупорядоченности. Формула может быть представлена:

или для стационарного состояния

Из этого видно, что при обычном состоянии организма скорость изменения энтропии за счет внутренних процессов равна скорости изменения отрицательной энтропии за счет обмена веществ и энергией с окружающей средой.

27. Термометрия и калориметрия

Точные измерения температур являются неотъемлемой частью научно-исследовательских и технических работ, а также медицинской диагностики.

Методы получения и измерения температур в широком диапазоне весьма различны. Область физики, в которой изучаются методы измерения температуры и связанные с этим вопросы, называют термометрией. Так как температура определяется по значению какой-либо характеристики термометрического вещества, то ее определение состоит в измерении таких физических параметров и свойств, как объем, давление, электрические, механические, оптические, магнитные эффекты и т. п. Разнообразие методов измерения температуры связано с большим количеством термометрических веществ и свойств, используемых при этом.

Термометр - устройство для измерения температуры - состоит из чувствительного элемента, в котором реализуется термометрическое свойство, и измерительного прибора (дилатометра, манометра, гальванометра, потенциометра и т. д.). Необходимое условие измерения температуры - тепловое равновесие чувствительного элемента и тела, температура которого определяется. В зависимости от измеряемых интервалов температур наиболее распространены жидкостный, газовый термометры, термометр сопротивления, термопара как термометры и пирометры.

В жидкостном термометре термометрической характеристикой является объем, чувствительным элементом - резервуар с жидкостью (обычно ртутью или спиртом). В пирометрах в качестве термометрического свойства используется интенсивность излучения.

При измерении сверхнизких температур термометрическим веществом служат парамагнетики, а измеряемым свойством - зависимость их намагниченности от температуры.

Используемый в медицине ртутный термометр указывает максимальную температуру и называется максимальным термометром. Эта особенность обусловлена его устройством: резервуар с ртутью отделен от градуированного капилляра сужением, которое не позволяет ртути при охлаждении термометра возвратиться в резервуар. Существуют и минимальные термометры, показывающие наименьшую температуру, наблюдаемую за длительный промежуток времени. Для этой цели служат термостаты - приборы, в которых температура поддерживается постоянной, что осуществляют либо автоматическими регуляторами, либо используют для этого свойство разовых переходов протекать при неизменной температуре.

Для измерения количества теплоты, выделяющегося или поглощаемого в различных физических, химических и биологических процессах, применяют ряд методов, совокупность которых составляет калориметрию. Калориметрическими методами измеряют теплоемкость тел, теплоты фазовых переходов, растворения, смачивания, адсорбции, теплоты, сопровождающие химические реакции, энергию излучения, радиоактивного распада и т. п.

Подобные измерения производят с помощью калориметров.

28. Физические свойства нагретых и холодных сред, используемых для лечения

В медицине с целью местного нагревания или охлаждения применяют нагретые или холодные тела. Обычно для этого выбирают сравнительно доступные среды, некоторые из них могут оказывать при этом и полезное механическое или химическое действие.

Физические свойства таких сред обусловливаются их назначением. Во-первых, необходимо, чтобы в течение сравнительно длительного времени был произведен нужный эффект. Поэтому используемые среды должны иметь большую удельную теплоемкость (вода, грязи) или удельную теплоту фазового превращения (парафин, лед). Во-вторых, среды, накладываемые непосредственно на кожу, не должны вызывать болезненных ощущений. Это с одной стороны ограничивает температуру таких сред, а с другой - побуждает выбирать среды с небольшой теплоемкостью. Так, например, вода, применяемая для лечения, имеет температуру до 45 °C, а торф и грязи - до 50 °C, так как теплообмен (конвекция) в этих средах меньше, чем в воде. Парафин нагревают до 60-70 °C, так как он обладает небольшой теплопроводностью, а части парафина, непосредственно прилегающего к коже, быстро остывают, кристаллизуются и задерживают приток теплоты от остальных его частей.

В качестве охлаждающей среды, используемой для лечения, употребляется лед. В последние годы достаточно широкое применение в медицине нашли низкие температуры. При низкой температуре осуществляют такую консервацию отдельных органов и тканей в связи с трансплантацией, когда достаточно долго сохраняется способность к жизнедеятельности и нормальному функционированию.

Криогенный метод разрушения ткани при замораживании и размораживании используется медиками для удаления миндалин, бородавок и т. п. Для этой цели создают специальные криогенные аппараты и криозонды.

С помощью холода, обладающего анестезирующим свойством, можно уничтожить в головном мозге клетки ядер, ответственные за некоторые нервные заболевания, например паркинсонизм.

В микрохирургии используют примерзание влажных тканей к холодному металлическому инструменту для захвата и переноса этих тканей.

В связи с медицинским применением низкой температуры появились новые термины: "криогенная медицина", "криотерапия", "криохирургия" и т. д.

29. Физические процессы в биологических мембранах

Важной частью клетки являются биологические мембраны. Они отграничивают клетку от окружающей среды, защищают ее от вредных внешних воздействий, управляют обменом веществ между клеткой и ее окружением, способствуют генерации электрических потенциалов, участвуют в синтезе универсальных аккумуляторов энергии АТФ в митохондриях и т. д.

Строение и модели мембран

Мембраны окружают все клетки (плазматические и наружные клеточные мембраны). Без мембраны содержимое клетки просто бы растеклось, диффузия привела к термодинамическому равновесию, что означает отсутствие жизни. Можно сказать, что первая клетка появилась тогда, когда она отгородилась от окружающей среды мембраной.

Внутриклеточные мембраны подразделяют клетку на ряд замкнутых отсеков, каждый из них выполняет определенную функцию. Основу структуры любой мембраны представляет двойной липидный слой (в значительной степени - фосфолипиды). Двойной липидный слой образуется из двух монослоев липидов так, что гидрофобные "хвосты" обоих слоев направлены внутрь. При этом обеспечивается наименьший контакт гидрофобных участков молекул с водой. Такое представление о структуре мембраны не давало ответов на многие вопросы.

В дальнейшем была предложена модель, в основе которой лежит все та же липидная биослоистая мембрана. Эта фосфолипидная основа представляет собой как бы двухмерный растворитель, в котором плавают более или менее погруженные белки. За счет этих белков полностью или частично осуществляются специфические функции мембран - проницаемость, генерация электрического потенциала и т. д. Мембраны не являются неподвижными, спокойными структурами. Липиды и белки обмениваются мембранами и перемещаются как вдоль плоскости мембраны - латеральная диффузия, так и поперек нее - так называемый флип-флоп.

Уточнение строения биомембраны и изучение ее свойств оказались возможными при использовании физико-химических моделей мембраны (искусственных мембран). Наибольшее распространение получили три такие модели. Первая модель - монослои фосфолипидов на границе разделов вода - воздух или вода - масло.

Второй широко распространенной моделью биомембраны являются липосомы, которые представляют собой как бы биологическую мембрану, полностью лишенную белковых молекул. Третьей моделью, позволившей изучать некоторые свойства биомембран прямыми методами, является биолипидная (биослойная липидная) мембрана (БЛМ).

Мембраны выполняют две важные функции: матричную (т. е. являются матрицей, основой для удерживания белков, выполняющих разные функции) и барьерную (защищают клетку и отдельные компартаменты от проникновения нежелательных частиц).

30. Физические свойства и параметры мембран

Измерение подвижности молекул мембраны и диффузия частиц через мембрану свидетельствует о том, что билипидный слой ведет себя подобно жидкости. Однако мембрана есть упорядоченная структура. Эти два факта предполагают, что фосфолипиды в мембране при ее естественном функционировании находятся в жидкокристаллическом состоянии. При изменении температуры в мембране можно наблюдать фазовые переходы: плавление липидов при нагревании и кристаллизацию при охлаждении. Жидкокристаллическое состояние биослоя имеет меньшую вязкость и большую растворимость различных веществ, чем твердое состояние. Толщина жидкокристаллического биослоя меньше, чем твердого.

Структура молекул в жидком и твердом состояниях различна. В жидкой фазе молекулы фосфолипидов могут образовывать полости (кинки), в которые способны внедряться молекулы дифференцирующего вещества. Перемещение кинка в этом случае будет приводить к диффузии молекулы поперек мембраны.

Перенос молекул (атомов) через мембраны

Важным элементом функционирования мембран является их способность пропускать или не пропускать молекулы (атомы) и ионы. Вероятность такого проникновения частиц зависит как от направления их перемещения (например, в клетку или из клетки), так и от разновидности молекул и ионов.

Явления переноса - это необратимые процессы, в результате которых в физической системе происходит пространственное перемещение (перенос) массы импульса, заряда или какой-либо другой физической величины. К явлениям переноса относят диффузию (перенос массы вещества), вязкость (перенос импульса), теплопроводность (перенос энергии), электропроводность (перенос электрического заряда).

На мембране существует разность потенциалов, следовательно, в мембране имеется электрическое поле. Оно оказывает влияние на диффузию заряженных частиц (ионов и электронов). Перенос ионов определяется двумя факторами: неравномерностью их распределения (т. е. градиентом концентрации) и воздействием электрического поля (уравнение Нернста-Планка):

Уравнение устанавливает связь плотности стационарного потока ионов с тремя величинами:

1) проникаемостью мембран для данного иона, которая характеризует взаимодействие мембранных структур с ионом;

2) электрическим полем;

3) концентрацией ионов в водном растворе, окружающем мембрану.

Явления переноса относятся к пассивному транспорту: диффузия молекул и ионов происходит в направлении меньшей их концентрации, перемещение ионов - в соответствии с направлением силы, действующей на них со стороны электрического поля.

Пассивный транспорт не связан с затратой химической энергии, он осуществляется в результате перемещения частиц в сторону меньшего электрохимического потенциала.

31. Разновидность пассивного переноса молекул и ионов через биологические мембраны

Простая диффузия через липидный слой в живой клетке обеспечивает прохождение кислорода и углекислого газа. Ряд лекарственных веществ и ядов также проникает через липидный слой. Однако простая диффузия протекает достаточно медленно и не может снабдить клетку в нужном количестве питательными веществами. Поэтому имеются другие механизмы пассивного переноса вещества в мембране, к ним относится диффузия и облегченная диффузия (в комплексе с переносчиком).

Порой, или каналом, называют участок мембраны, включающий белковые молекулы и липиды, который образует в мембране проход. Этот проход допускает проникновение через мембрану не только малых молекул, например молекул воды, но и более крупных ионов. Каналы могут проявлять избирательность по отношению к разным ионам. Облегчает диффузию перенос ионов специальными молекулами-переносчиками.

Потенциал покоя. Поверхностная мембрана клетки неодинаково проницаема для разных ионов. Кроме того, концентрация каких-либо определенных ионов различна по разные стороны мембраны, внутри клетки поддерживается наиболее благоприятный состав ионов. Эти факторы приводят к появлению в нормально функционирующей клетке разности потенциалов между цитоплазмой и окружающей средой (потенциал покоя).

Основной вклад в создание и поддержание потенциала покоя вносят ионы Na+, K+, Cl-. Суммарная

плотность потока этих электронов с учетом их знаков равна:

J = JNA + JK + JCI-.

В стационарном состоянии суммарная плотность потока равна нулю, т. е. число разных ионов, проходящих в единицу времени через мембрану внутрь клетки, равно числу выходящих из клетки через мембрану:

J = 0.

Уравнение Гольдмана-Ходжкина-Катца (безразмерный потенциал возвращается к электрическому):

Различные концентрации ионов внутри и вне клетки созданы ионными насосами - системами активного транспорта. Основой вклад в потенциал покоя вносят только ионы K+ и Cl-.

Потенциал действия и его распространения

При возбуждении разность потенциалов между клеткой и окружающей средой изменяется, возникает потенциал действия.

В нервных волокнах происходит распространение потенциала действия. Распространение потенциала действия по нервному волокну происходит в форме автоволны. Активной средой являются возбудимые клетки: скорость распространения возбуждения по гладким немиелинизированным нервным волокнам примерно пропорциональна квадратному корню из их радиуса (υ≈√r).

32. Электродинамика

Электрические и магнитные явления связаны с особой формой существования материи - электрическими и магнитными полями и их воздействием. Эти поля в общем случае настолько взаимосвязаны, что принято говорить о едином электрическом поле.

Электромагнитные явления имеют три направления медико-биологических приложений. Первое из них - понимание электрических процессов, происходящих в организме, а также знание электрических и магнитных свойств биологических сред.

Второе направление связано с пониманием механизма воздействия электромагнитных полей на организм.

Третье направление - приборное, аппаратурное. Электродинамика является теоретической основой электроники и в частности медицинской электроники.

Энергетическое поле есть разновидность материи, посредством которой осуществляется силовое воздействие на электрические заряды, находящиеся в этом поле. Характеристики электрического поля, которое генерируется биологическими структурами, являются источником информации о состоянии организма.

Напряженность и потенциал - характеристики электрического поля. Силовой характеристикой электрического поля является напряженность, равная отношению силы, действующей в данной точке поля на точечный заряд, к этому заряду:

E = F/q

Напряженность - вектор, направление которого совпадает с направлением силы, действующей в данной точке поля на положительный заряд. Напряженность электрического поля выражается тремя уравнениями:

Ex = f1 (x, y, z);

Ey = f2 (x, y, z);

Ez = f3(x, y, z),

где Ех, Еу и Еz - проекции вектора напряженности на соответствующие координатные оси, введенные для описания поля. Энергетической характеристикой электрического поля служит потенциал. Разностью потенциалов между двумя точками поля называют отношение работы, совершаемой силами поля при перемещении точечного положительного заряда из одной точки поля в другую, к этому заряду:

где Ф1 и Ф2 - потенциалы в точках 1 и 2 электрического поля. Разность потенциалов между двумя точками зависит от напряженности электрического поля. Наряду с разностью потенциалов в качестве характеристики электрического поля используют понятие потенциала. Потенциалы в различных точках можно представить в виде поверхностей одинакового потенциала (эквипотенциальных поверхностей). Существующие электроизмерительные приборы рассчитаны на измерение разности потенциалов, а не напряженности.

33. Электрический диполь и мультиполь

Электрическим диполем называют систему, состоящую из двух равных, но противоположных по знаку точечных электрических зарядов, расположенных на некотором расстоянии друг от друга (плечо диполя). Основной характеристикой диполя является его электрический (или дипольный) момент - вектор, равный произведению заряда на плечо диполя, направленный от отрицательного заряда к положительному:

p = dl.

Единицей электрического момента диполя является кулон-метр.

На диполь в однородном электрическом поле действует вращающий момент, зависящий от электрического момента, ориентации диполя в поле и напряженности поля. На диполь действует сила, зависящая от его электрического момента и степени неоднородности поля

dE/dx

Если диполь ориентирован в неоднородном электрическом поле не вдоль силовой линии, то на него дополнительно действует еще и вращающий момент. Свободный диполь практически всегда втягивается в область больших значений напряженности поля.

Диполь является частным случаем системы электрических зарядов, обладающих определенной симметрией. Общее название подобных распределений зарядов - электрические мультиполя (I = 0, 1, 2 и т. д.), число зарядов мультиполя определяется выражением 21.

Так, мультиполем нулевого порядка (20 = 1) является одиночный точечный заряд, мультиполем первого порядка (21 = 2) - диполь, мультиполем второго порядка (22 = 4) - квадруполь, мультиполем третьего порядка (23 = 8) - октуполь и т. д. Потенциал поля мультиполя убывает на значительных расстояниях от него (R > d, где d - размеры мультиполя)

пропорционально I/R1+1. Если заряд распределен в некоторой области пространства, то потенциал электрического поля вне системы зарядов можно представить в виде некоторого приближенного ряда:

Здесь R - расстояние от системы зарядов до точки А с потенциалом Ф;

f1, f2, f3.... - некоторые функции, зависящие от вида мультиполя, его заряда и от направления на точку А.

Первое слагаемое соответствует монополю, второе - диполю, третье - квадруполю и т. д. В случае нейтральной системы зарядов первое слагаемое равно нулю.

Дипольный электрический генератор (токовый диполь) В вакууме или в идеальном изоляторе электрический диполь может сохраняться сколь угодно долго. Однако в реальной ситуации (электропроводной среде) под действием электрического поля диполя возникает движение свободных зарядов, и диполь нейтрализуется. Сила тока во внешней цепи будет оставаться почти постоянной, она почти не зависит от свойств среды. Такая двухполюсная система, состоящая из истока и стока тока, называется дипольным электрическим генератором, или токовым диполем.

34. Физические основы электрокардиографии

Живые ткани являются источником электрических потенциалов (биопотенциалов).

Регистрация биопотенциалов тканей и органов с диагностической целью получила название электрографии. Такой общий термин употребляется сравнительно редко, более распространены конкретные названия соответствующих диагностических методов: электрокардиография (ЭКГ) - регистрация биопотенциалов, возникающих в сердечной мышце при ее возбуждении, электромиография (ЭМГ) - метод регистрации биоэлектрической активности мышц, электроэнцефалография (ЭЭГ) - метод регистрации биоэлектрической активности головного мозга и др.

В большинстве случаев биопотенциалы снимаются электродами не непосредственно с органа (сердца, головного мозга), а с других, соседних тканей, в которых электрические поля этим органом создаются.

В клиническом отношении это существенно упрощает саму процедуру регистрации, делая ее безопасной и несложной. Физический подход к электрографии заключается в создании (выборе) модели электрического генератора, которая соответствует картине "снимательных" потенциалов.

Все сердце в электрическом отношении представляется как некоторый электрический генератор в виде реального устройства и как совокупность электрических источников в проводнике, имеющем форму человеческого тела. На поверхности проводника при функционировании эквивалентного электрического генератора будет электрическое напряжение, которое в процессе сердечной деятельности возникает на поверхности тела человека. Моделировать электрическую деятельность сердца вполне допустимо, если использовать дипольный эквивалентный электрический генератор. Дипольное представление о сердце лежит в основе теории отведений Эйнтховена. Согласно ей сердце есть таковой диполь с дипольным моментом, который поворачивается, изменяет свое положение и точку приложения за время сердечного цикла. В. Эйнтховен предложил снимать разности биопотенциалов сердца между вершинами равностороннего треугольника, которые приближенно расположены в правой и левой руке и левой ноге.

По терминологии физиологов, разность биопотенциалов, регистрируемую между двумя точками тела, называют отведением. Различают I отведение (правая рука - левая рука), II отведение (правая рука - левая нога) и III отведение (левая рука - левая нога).

По В. Эйнтховену, сердце расположено в центре треугольника. Так как электрический момент диполя - сердца - изменяется со временем, то в отведениях будут получены временные напряжения, которые и называют электрокардиограммами. Электрокардиограмма не дает представления о пространственной ориентации. Однако для диагностических целей такая информация важна. В связи с этим применяют метод пространственного исследования электрического поля сердца, называемый вектор-кардиографией. Вектор-кардиограмма - геометрическое место точек, соответствующих концу вектора, положение которого изменяется за время сердечного цикла.

35. Электрический ток

Под электрическим током обычно понимают направленное движение электрических зарядов. Различают ток проводимости и конвекционный ток. Ток проводимости - это направленное движение зарядов в проводящих телах: электронов - в металлах, электронов и дырок - в полупроводниках, ионов - в электролитах, ионов и электронов - в газах. Конвекционный ток - это движение заряженных тел и поток электронов или других заряженных частиц в вакууме.

Плотность тока - векторная характеристика электрического тока, численно равная отношению силы тока, проходящего сквозь малый элемент поверхности, нормальный к направлению движения заряженных частиц, образующих ток, к площади этого элемента:

j = dl/dS י

Если эту формулу умножить на заряд q носителя тока, то получим плотность тока:

j = qj = qnv.

В векторной форме:

j = qnv.

Вектор j направлен по касательной к линиям тока. Для силы тока запишем следующее выражение:

j=dq/dt.

Сила тока есть производная по времени от заряда, проходящего сквозь некоторое сечение или поверхность.

Для того чтобы постоянный ток протекал по проводнику, необходимо на его концах поддерживать разность потенциалов. Это осуществляется источниками тока. Электродвижущей силой источника называют величину, численно равную работе сторонних сил при перемещении единичного положительного заряда по всей цепи.

Практически работа сторонних сил отлична от нуля только внутри источника тока. Отношение сторонней силы к единичному положительному заряду равно напряженности поля сторонних сил:

ECT = FCT/ q

Электродвижущая сила соответствует скачкообразному изменению потенциала в источнике тока.

Электропроводимость электролитов. Биологические жидкости являются электролитами, электропроводимость которых имеет сходство с электропроводимостью металлов: в обеих средах в отличие от газов носители тока существуют независимо от электрического поля.

Направление движение ионов в электрическом поле можно приближенно считать равномерным, при этом сила qE, действующая на ион со стороны электрического поля, равна силе трения rv:

qE = rv,

откуда получаем:

v = bE.

Коэффициент пропорциональности b называют подвижностью ионов.

36. Электропроводимость биологических тканей и жидкостей при постоянном токе. Электрический разряд в газах

Биологические ткани и органы являются довольно разнородными образованиями с различными электрическими сопротивлениями, которые могут изменяться при действии электрического тока. Это обусловливает трудности измерения электрического сопротивления живых биологических систем.

Электропроводимость отдельных участков организма, находящихся между электродами, наложенными непосредственно на поверхность тела, существенно зависит от сопротивления кожи и подкожных слоев. Внутри организма ток распространяется в основном по кровеносным и лимфатическим сосудам, мышцам, оболочкам нервных стволов. Сопротивление кожи в свою очередь определяется ее состоянием: толщиной, возрастом, влажностью и т. п.

Электропроводимость тканей и органов зависит от их функционального состояния и, следовательно, может быть использована как диагностический показатель.

Так, например, при воспалении, когда клетки набухают, уменьшается сечение межклеточных соединений и увеличивается электрическое сопротивление; физиологические явления, вызывающие потливость, сопровождаются возрастанием электропроводимости кожи и т. д.

Газ, состоящий только из нейтральных частиц, является изолятором. Если его ионизировать, то он становится электропроводным. Любое устройство, явление, фактор, способные вызвать ионизацию молекул и атомов газа, называют ионизатором. Им могут быть свет, рентгеновское излучение, пламя, ионизирующее излучение и пр. Электрический заряд в воздухе может образовываться и при распылении в нем полярных жидкостей (баллоэлектрический эффект), т. е. таких жидкостей, молекулы которых имеют постоянный электрический ди-польный момент. Так, например, при дроблении в воздухе вода распадается на заряженные капельки. Знак заряда крупных капель (положительный для жесткой воды) противоположен по знаку заряду мельчайших капель. Более крупные капли сравнительно быстро оседают, и в воздухе остаются отрицательно заряженные частицы воды. Такое явление наблюдается у фонтана.

Электропроводимость газа зависит также и от вторичной ионизации. Ионизированный потенциал внутренних электронов значительно выше.

В земных условиях воздух практически всегда содержит некоторое количество ионов благодаря природным ионизаторам, главным образом радиоактивным веществам в почве и газах и космическому излучению. Ионы и электроны, находящиеся в воздухе, могут, присоединяясь к нейтральным молекулам и взвешенным частицам, образовать более сложные ионы. Эти ионы в атмосфере называют аэроионами. Они различаются не только знаком, но и массой, их условно делят на легкие (газовые ионы) и тяжелые (взвешенные заряженные частицы - пылинки, частицы дыма и влаги).

Тяжелые ионы вредно действуют на организм, легкие и в основном отрицательные аэроионы оказывают благоприятное влияние. Их используют для лечения (аэроионотерапия).

37. Магнитное поле

Магнитным полем называют всю материю, посредством которой осуществляется силовое воздействия на движущиеся электрические заряды, помещенные в поле, и другие тела, обладающие магнитным моментом. Для магнитного поля, как и для электростатического, имеется количественная характеристика - магнитный момент (векторная величина).

Магнитная индукция в некоторой точке поля равна отношению максимального вращающего момента, действующего на рамку с током в однородном магнитном поле, к магнитному моменту этой рамки. Единицей магнитного потока является вебер (Вб):

1Вб = 1Тлм2.

Тл - единица магнитной индукции (Тесла). Из формулы видно, что поток может быть как положительным, так и отрицательным.

Закон Ампера. Энергия контура с током в магнитном поле. Одним из главных проявлений магнитного поля является его силовое действие на движущиеся электрические заряды и токи. А. М. Ампером был установлен закон, определяющий это силовое воздействие.

В проводнике, находящемся в магнитном поле, выделим достаточно малый участок dI, который рассматривается как вектор, направленный в сторону тока. Произведение IdI называют элементом тока. Сила, действующая со стороны магнитного поля на элемент тока, равна:

dF = kIB sinb x dl,

где k - коэффициент пропорциональности; или в векторной форме

dF = ldl x B.

Эти соотношения выражают закон Ампера.

Сила, действующая согласно закону Ампера на проводник с током в магнитном поле, есть результат его воздействия на движущиеся электрические заряды, создающие этот ток. Сила, действующая на отдельный движущийся заряд, определяется отношением силы F, приложенной к проводнику с током, к общему числу N носителей тока в нем:

fЛ = F / N(i)

Сила тока равна:

I = jS,

F = jSBL sinb,

где j - плотность тока. Получаем:

F = jSBL sin b = qnvSBL sinb2,

где n =N/ SI - концентрация частиц.

Подставляя последнее выражение к первому, получаем выражение для силы, действующей со стороны магнитного поля на отдельный движущийся электрический заряд и называемой силой Лоренца:

Направление силы Лоренца можно определить из векторной записи уравнения

fn = qvB.

38. Напряженность магнитного поля и другие его свойства

Напряженность магнитного поля зависит от свойства среды, а определяется только силой тока, протекающего по контуру. Напряженность магнитного поля, созданного постоянным током, слагается из напряженности полей, создаваемых его отдельными элементами (Закон Био-Савара-Лапласа):

(dH - напряженность, k - коэффициент пропорциональности, di и r - векторы). Интегрируя, находим напряженность магнитного поля, созданного контуром с током или частью этого контура:

Круговым называется ток, протекающий по проводнику в форме окружности. Этому току соответствует также вращающийся по окружности электрический заряд. Зная напряженность магнитного поля и относительную магнитную проницаемость среды, можно найти магнитную индукцию:

B = M + M0H = mNf(2r).

Магнитные свойства вещества

Нет таких веществ, состояние которых не изменялось бы при помещении их в магнитное поле. Более того, находясь в магнитном поле, вещества сами становятся источниками такого поля. В этом смысле все вещества принято называть магнетиками. Так как макроскопические различия магнетиков обусловлены их строением, то целесообразно рассмотреть магнитные характеристики электронов, ядер, атомов и молекул, а также поведение этих частиц в магнитном поле.

Отношение магнитного момента частицы к моменту ее импульса называют магнитомеханическим. Соотношения показывают, что между магнитным и механическим (момент импульса) моментами существует вполне определенная "жесткая" связь; эта связь проявляется в магнитомеханических явлениях. Магнитомеханические явления позволяют определять магнитомеханические отношения и на основании этого делать выводы о роли орбитальных или спиновых магнитных моментов в процессах намагничивания. Так, например, опыты Эйнштейна показали, что за намагниченность ферромагнитных (железомагнитных) материалов ответственны спиновые магнитные моменты электронов.

Ядра, атомы и молекулы также имеют магнитный момент. Магнитный момент молекулы является векторной суммой магнитных моментов атомов, из которых она состоит. Магнитное поле воздействует на ориентацию частиц, имеющих магнитные моменты, в результате чего вещество намагничивается. Степень намагничивания вещества характеризуется намагниченностью. Среднее значение вектора намагниченности равно отношению суммарного магнитного момента Spmi всех частиц, расположенных в объеме магнетика, к этому объему:

Таким образом, намагниченность является средним магнитным моментом единицы объема магнетика. Единицей намагниченности служит ампер на метр (А/м).

39. Свойства магнетиков и магнитные свойства тканей человека

Молекулы парамагнетиков имеют отличные от нуля магнитные моменты. При отсутствии магнитного поля эти моменты расположены хаотически и их намагниченность равна нулю. Степень упорядоченности магнитных моментов зависит от двух противоположных факторов - магнитного поля и молекулярно-хаотического движения, поэтому намагниченность зависит как от магнитной индукции, так и от температуры.

В неоднородном магнитном поле в вакууме частицы парамагнитного вещества перемещаются в сторону большего значения магнитной индукции, как говорят, втягиваются в поле. К парамагнетикам относят алюминий, кислород, молибден и т. д.

Диамагнетизм присущ всем веществам. В парамагнетиках диамагнетизм перекрывается более сильным парамагнетизмом.

Если магнитный момент молекул равен нулю или настолько мал, что диамагнетизм преобладает над парамагнетизмом, то вещества, состоящие из таких молекул, относят к диамагнетикам. Намагниченность диамагнетиков направлена противоположно магнитной индукции, ее значение растет с возрастанием индукции. Частицы диамагнетика в вакууме в неоднородном магнитном поле будут выталкиваться из поля.

Ферромагнетики, подобно парамагнетикам, создают намагниченность, направленную на индукцию поля; их относительная магнитная проницаемость много больше единицы. Ферромагнитные свойства присущи не отдельным атомами или молекулам, а лишь некоторым веществам, находящимся в кристаллическом состоянии. К ферромагнетикам относят кристаллическое железо, никель, кобальт, многие сплавы этих элементов между собой и с другими неферромагнитными соединениями, а также сплавы и соединения хрома и марганца с неферромагнитными элементами. Намагниченность ферромагнетиков зависит не только от магнитной индукции, но и от их предыдущего состояния, от времени нахождения образца в магнитном поле. Хотя ферромагнетиков и не очень много в природе, в основном именно их используют как магнитные материалы в технике.

Ткани организма в значительной степени диамагнитны, подобно воде. Однако в организме имеются и парамагнитные вещества, молекулы и ионы. Ферромагнитных частиц в организме нет. Биотоки, возникающие в организме, являются источником слабых магнитных полей. В некоторых случаях индукцию таких полей удается измерить. Так, например, на основании регистрации временной зависимости индукции магнитного поля сердца (биотоков сердца) создан диагностический метод - магнитокардиография. Так как магнитная индукция пропорциональна силе тока, а сила тока (биоток) согласно закону Ома пропорциональна напряжению (биопотенциал), то в общем магнито-кардиограмма аналогична электрокардиограмме. Однако магнитокардиография в отличие от электрокардиографии является бесконтактным методом, ибо магнитное поле может регистрироваться и на некотором расстоянии от биологического объекта - источника поля.

40. Электромагнитная индукция. Энергия магнитного поля

Суть электромагнитной индукции - переменное магнитное поле порождает электрическое поле (открыто М. Фарадеем в 1831 г.). Основной закон электромагнитной индукции При всяком изменении магнитного потока в нем возникают электродвижущие силы электромагнитной индукции.

где e - электродвижущие силы;

dt - промежуток времени;

dФ - изменение магнитного потока. Это основной закон электромагнитной индукции, или закон Фарадея.

При изменении магнитного потока, пронизывающего контур (изменении магнитного поля со временем, приближении или удалении магнита, изменении силы тока в соседнем или дальнем контуре и т. п.), в контуре всегда возникает электродвижущая сила электромагнитной индукции, пропорциональная скорости изменения магнитного потока. Изменение магнитного поля вызывает электрическое поле. Так как ток есть производная от заряда по времени, то можно записать:

Отсюда следует, что заряд, протекающий в проводнике вследствие электромагнитной индукции, зависит от изменения магнитного потока, пронизывающего контур, и его сопротивления. Эту зависимость используют для измерения магнитного потока приборами, регистрирующими электрический заряд, индуцируемый в контуре.

Одним из проявлений электромагнитной индукции является возникновение замкнутых индукционных токов (вихревых токов, или токов Фуко) в сплошных проводящих телах, таких как металлические детали, растворы электролитов, биологические органы и т. п. Вихревые токи образуются при перемещении проводящего тела в магнитном поле, при изменении со временем индукции поля, а также при совокупном действии обоих факторов. Интенсивность вихревых токов зависит от электрического сопротивления тела и, следовательно, от удельного сопротивления и размеров, а также от скорости изменения магнитного потока. В физиотерапии разогревание отдельных частей тела человека вихревыми токами назначается как лечебная процедура, называемая индуктотермией.

Электромагнитными колебаниями называют периодические взаимосвязанные изменения зарядов, токов, напряженностей электрического и магнитного полей. Распространение электромагнитных колебаний в пространстве происходит в виде электромагнитных волн. Среди различных физических явлений электромагнитные колебания и волны занимают особое место.

Переменный ток - любой ток, изменяющийся со временем. Однако чаще термин "переменный ток" применяют к квазистационарным токам, зависящим от времени по гармоническому закону.

41. Полное сопротивление ((импеданс) тканей организма. Физические основы реографии

Ткани организма проводят не только постоянный, но и переменный ток. В организме нет таких систем, которые бы ли бы подобны катушкам индуктивности, поэтому индуктивность его близка к нулю.

Биологические мембраны (и, следовательно, весь организм) обладают емкостными свойствами, в связи с этим полное сопротивление тканей организма определяется только омическим и емкостным сопротивлениями Наличие в биологических системах емкостных элементов подтверждается тем, что сила тока опережает п фазе приложенное напряжение. Частотная зависимость импеданса позволяет оценить жизнеспособность тканей организма, это важно знать для пересадки (транс плантации) тканей и органов. Импеданс тканей и органов зависит также и от их физиологического состояния Так, при кровенаполнении сосудов импеданс изменяется в зависимости от состояния сердечно-сосудистой деятельности.

Диагностический метод, основанный на регистрации применения импеданса тканей в процессе сердечно деятельности, называют реографией (импеданс-плетизмографией). С помощью этого метода получают реограммы головного мозга (реоэнцефалограммы), сердц (реокардиограммы), магистральных сосудов, легких печени и конечностей. Измерения обычно проводят н частоте 30 кГц. Электрический импульс и импульсный ток Электрическим импульсом называется кратковременное изменение электрического напряжения или силы тока. В технике импульсы подразделяются на две большие группы: видео- и радиоимпульсы.

Видеоимпульсы - это такие электрические импульсы тока или напряжения, которые имеют постоянную составляющую, отличную от нуля. Таким образом, видеоимпульс имеет преимущественно одну полярность. По форме видеоимпульсы бывают прямоугольными, пилообразными, трапецеидальными, экспоненциальными, колоколообразными и др.

Радиоимпульсы - это модулированные электромагнитные колебания.

В физиологии термином "электрический импульс" (или "электрический сигнал") обозначают именно видеоимпульсы. Повторяющиеся импульсы называют импульсным током. Он характеризуется периодом (периодом повторения импульсов) Т - средним временем между началами соседних импульсов и частотой (частотой повторения импульсов):

f=1/T.

Скважностью следования импульсов называется отношение:

Величина, обратная скважности, есть коэффициент заполнения:

42. Понятие о теории Максвелла. Ток смещения

Дж. Максвелл создал в рамках классической физики теорию электромагнитного поля. В основе теории Дж. Максвелла лежат два положения.

1. Всякое перемещенное электрическое поле порождает вихревое магнитное поле. Переменное электрическое поле было названо Максвеллом, так как оно, подобно обычному току, вызывает магнитное поле. Вихревое магнитное поле порождается как токами проводимости Iпр (движущимися электрическими зарядами), так и токами смещения (перемещенным электрическим полем Е).

Первое уравнение Максвелла

2. Всякое перемещенное магнитное поле порождает вихревое электрическое (основной закон электромагнитной индукции).

Второе уравнение Максвелла:

Оно связывает скорость изменения магнитного потока сквозь любую поверхность и циркуляцию вектора напряженности электрического поля, возникающего при этом. Циркуляция берется по контуру, на который опирается поверхность.

Из положений теории Максвелла следует, что возникновение какого-либо поля (электрического или магнитного) в некоторой точке пространства влечет за собой целую цепь взаимных превращений: переменное электрическое поле порождает магнитное, изменение магнитного поля порождает электрическое.

Взаимное образование электрических и магнитных полей приводит к электромагнитному полю - распространению единого электромагнитного поля в пространстве. Скорость распространения электромагнитных волн равна скорости света. Это послужило основанием для создания Максвеллом электромагнитной теории света. Данная теория стала очень важным этапом в дальнейшем развитии медицинской физики.

43. Классификация частотных интервалов, принятая в медицине

Из теории Максвелла вытекает, что различные электромагнитные волны, в том числе и световые, имеют общую природу. В связи с этим целесообразно представить всевозможные электромагнитные волны в виде единой шкалы.

Всякая шкала условно подразделяется на шесть диапазонов: радиоволны (длинные, средние и короткие), инфракрасные, видимые, ультрафиолетовые, рентгеновские и гамма-излучения. Эта классификация определяется либо механизмом образования волн, либо возможностью зрительного восприятия их человеком. Радиоволны обусловлены переменными токами в проводниках и электронными потоками (макроизлучатели).

Инфракрасное, видимое и ультрафиолетовое излучения исходят из атомов, молекул и быстрых заряженных частиц (микроизлучателей). Рентгеновское излучение возникает при внутриатомных процессах. Гамма-излучение имеет ядерное происхождение.

Некоторые диапазоны перекрываются, так как волны одной и той же длины могут образовываться в разных процессах. Так, наиболее коротковолновое ультрафиолетовое излучение перекрывается длинноволновым рентгеновским. В этом отношении очень характерна пограничная область инфракрасных волн и радиоволн. До 1922 г. между этими диапазонами был пробел. Наиболее коротковолновое излучение этого незаполненного промежутка имело молекулярное атомное происхождение (излучение нагретого тела), а наиболее длинноволновое излучалось макроскопическими вибраторами Герца. Даже миллиметровые волны могут генерироваться не только радиотехническими средствами, но и молекулярными переходами. Появился раздел "Радиоспектроскопия", который изучает поглощение и излучение радиоволн различными веществами.

В медицине принято следующее условное разделение электромагнитных колебаний на частотные диапазоны (табл. 1).

Таблица 1

Условное разделение электромагнитных колебаний на частотные диапазоны

Часто физиотерапевтическую электронную аппаратуру низкой и звуковой частоты называют низкочастотной. Электронную аппаратуру всех других частот называют обобщающим понятием - "высокочастотная аппаратура".

44. Физические процессы в тканях, возникающие при воздействии током и электромагнитными полями

Все вещества состоят из молекул, каждая из них является системой зарядов. Поэтому состояние тел существенно зависит от протекающих через них токов и от воздействующего электромагнитного поля. Электрические свойства биологических тел более сложны, чем свойства неживых объектов, ибо организм - это еще и совокупность ионов с переменной концентрацией в пространстве.

Первичный механизм воздействия токов и электромагнитных полей на организм - физический.

Первичное действие постоянного тока на ткани организма. Гальванизация. Электрофорез лекарственных веществ

Человеческий организм в значительной степени состоит из биологических жидкостей, содержащих большое количество ионов, которые участвуют в различных обменных процессах. Под влиянием электрического поля ионы движутся с разной скоростью и скапливаются около клеточных мембран, образуя встречное электрическое поле, называемое поляризационным. Таким образом, первичное действие постоянного тока связано с движением ионов в разных элементах тканей.

Воздействие постоянного тока на организм зависит от силы тока, поэтому весьма существенное значение имеет электрическое сопротивление тканей, прежде всего кожи. Влага, пот значительно уменьшают сопротивление, что даже при небольшом напряжении может вызвать прохождение тока через организм. Непрерывный постоянный ток напряжением 60-80 В используют как лечебный метод физиотерапии (гальванизация). Источником тока служит двухполупериодный выпрямитель - аппарат гальванизации. Применяют для этого электроды из листового свинца толщиной 0,3-0,5 мм. Так как продукты электролиза раствора поваренной соли, содержащиеся в тканях, вызывают прижигание, то между электродами и кожей помещают гидрофильные прокладки, смоченные теплой водой.

Постоянный ток используют в лечебной практике также и для введения лекарственных веществ через кожу или слизистые оболочки. Этот метод получил название электрофореза лекарственных веществ. Для этой цели поступают так же, как и при гальванизации, но прокладку активного электрода смачивают раствором соответствующего лекарственного вещества. Лекарство вводят с того полюса, зарядом которого оно обладает: анионы вводят с катода, катионы - с анода.

Гальванизацию и электрофорез лекарственных веществ можно осуществлять с помощью жидкостных электродов в виде ванн, в которые погружают конечности пациента.

45. Воздействие переменными (импульсными) токами

Действие переменного тока на организм существенно зависит от его частоты. При низких, звуковых и ультразвуковых частотах переменный ток, как и постоянный, оказывает раздражающее действие на биологические ткани. Это обусловлено смещением ионов растворов электролитов, их разделением, изменением их концентрации в разных частях клетки и межклеточного пространства.

Раздражение тканей зависит также и от формы импульсного тока, длительности импульса и его амплитуды. Так, например, увеличение крутизны фронта импульса уменьшает пороговую силу тока, который вызывает сокращение мышц. Это свидетельствует о том, что мышцы приспосабливаются к изменению силы тока, наступают ионные компенсационные процессы. Так как специфическое физиологическое действие электрического тока зависит от формы импульсов, то в медицине для стимуляции центральной нервной системы (электросна, электронаркоза), нервно-мышечной системы, сердечно-сосудистой системы (кардиостимуляторы, дефибрилляторы) и иного используют токи с различной временной зависимостью.

Воздействуя на сердце, ток может вызвать фибрилляцию желудочков, которая приводит к гибели человека. Пороговая сила тока, вызывающего фибрилляцию, зависит от плотности тока, протекающего через сердце, частоты и длительности его действия. Ток или электромагнитная волна обладают тепловым эффектом. Лечебное прогревание высокочастотными электромагнитными колебаниями обладает рядом преимуществ перед традиционным и простым способом - грелкой. Прогревание грелкой внутренних органов осуществляется за счет теплопроводности наружных тканей - кожи и подкожной жировой клетчатки. Высокочастотное прогревание происходит за счет образования теплоты во внутренних частях организма, т. е. его можно создать там, где оно нужно. Прогревание высокочастотными колебаниями удобно и тем, что, регулируя мощность генератора, можно управлять мощностью тепловыделения во внутренних органах, а при некоторых процедурах возможно и дозирование нагрева. Для нагревания тканей токами используются токи высокой частоты. Пропускание тока высокой частоты через ткань используют в физиотерапевтических процедурах, называемых диатермией и местной дарсонвализацией.

При диатермии применяют ток частотой около 1 мГц со слабозатухающими колебаниями, напряжением 100-150 В; сила тока составляет несколько ампер. Так как наибольшим удельным сопротивлением обладают кожа, жир, кости, мышцы, то они и нагреваются сильнее. Наименьшее нагревание у органов, богатых кровью или лимфой, это легкие, печень, лимфатические узлы.

Недостаток диатермии - большое количество теплоты непродуктивно выделяется в слое кожи и подкожной клетчатке. В последнее время диатермия уходит из терапевтической практики и заменяется другими методами высокочастотного воздействия.

Токи высокой частоты используются также и для хирургических целей (электрохирургия). Они позволяют прижигать, "сваривать" ткани (диатермокоагуляция) или рассекать их (диатермотомия).

46. Воздействие переменным магнитным полем

В массивных проводящих телах, находящихся в переменном поле, возникают вихревые токи. Эти токи могут использоваться для прогревания биологических тканей и органов. Такой лечебный метод - индуктотермия - имеет ряд преимуществ перед методом диатермии. При индуктотермии количество теплоты, выделяющейся в тканях, пропорционально квадратам частоты и индукции переменного магнитного поля и обратно пропорционально удельному сопротивлению. Поэтому сильнее будут нагреваться ткани, богатые сосудами (например, мышцы), чем жировые. Лечение вихревыми токами возможно также при общей дарсонвализации. В этом случае пациента помещают в клетку-соленоид, по виткам которой пропускают импульсный ток высокой частоты.

Воздействие переменным электрическим полем. В тканях, находящихся в переменном электрическом поле, возникают токи смещения и токи проводимости. Обычно для этой цели используют электрические поля ультравысокой частоты, поэтому соответствующий физиотерапевтический метод получил название УВЧ-терапии. Принято использовать в аппаратах УВЧ частоту 40,58 мГц, при токах такой частоты диэлектрические ткани организма нагреваются интенсивнее проводящих.

Воздействие электромагнитными волнами. Физиотерапевтические методы, основанные на применении электромагнитных волн СВЧ-диапазона, в зависимости от длины волны получили два названия: "микроволновая терапия" и "ДЦВ-терапия". В настоящее время наиболее разработана теория о тепловом воздействии СВЧ-полей на биологические объекты.

Электромагнитная волна поляризует молекулы вещества и периодически переориентирует их как электрические диполи. Кроме того, электромагнитная волна воздействует на ионы биологических систем и вызывает переменный ток проводимости. Все это приводит к нагреванию вещества.

Электромагнитные волны могут влиять на биологические процессы, разрывая водородные связи и влияя на ориентацию макромолекул ДНК и РНК.

При попадании электромагнитной волны на участок тела происходит ее частичное отражение от поверхности кожи. Степень отражения зависит от различия диэлектрических проницаемостей воздуха и биологических тканей. Глубина проникновения электромагнитных волн в биологические ткани зависит от способности этих тканей поглощать энергию волн, которая в свою очередь определяется как строением тканей (главным образом содержанием воды), так и частотой электромагнитных волн. Так, сантиметровые электромагнитные волны, используемые в физиотерапии, проникают в мышцы, кожу, биологические жидкости на глубину около 2 см, а в жир и кости - около 10 см.

Учитывая сложный состав тканей, условно считают, что при микроволновой терапии глубина проникновения электромагнитных волн равна 3-5 см от поверхности тела, а при ДЦВ-терапии - до 9 см.

47. Электроника

Электроника - это понятие, широко распространенное в настоящее время. Электроника основывается прежде всего на достижениях физики. Сегодня без электронной аппаратуры невозможны ни диагностика заболеваний, ни эффективное их лечение.

Термин "электроника" в значительной степени условный. Правильнее всего под электроникой понимать область науки и техники, в которой рассматриваются работа и применение электровакуумных, ионных и полупроводниковых устройств (приборов). Выделяют физическую электронику, имея в виду раздел физики, рассматривающий электропроводимость тел, контактные и термоэлектронные явления. Под технической электроникой понимают те ее разделы, в которых описываются устройства приборов и аппаратов и схемы их включения. Полупроводниковой электроникой называют то, что относится к применению полупроводниковых приборов, и т. п.

Иногда всю электронику подразделяют на три крупные области: вакуумная электроника, которая охватывает вопросы создания и применения электровакуумных приборов (таких как электронные лампы, фотоэлектронные устройства, рентгеновские трубки, газоразрядные приборы); твердотельная электроника, которая охватывает вопросы создания и применения полупроводниковых приборов, в том числе и интегральных схем; квантовая электроника - специфический раздел электроники, имеющий отношение к лазерам.

Электроника - динамическая отрасль науки и техники. На базе новых эффектов (явлений) создаются электронные устройства, в том числе и такие, которые находят применение в биологии и медицине.

Любое техническое (радиотехническое или электронное) устройство стремятся модернизировать, сделать более малогабаритным и т. п. Однако при этом возникают трудности. Так, например, уменьшение габаритов изделия может уменьшать его надежность и т. д.

Существенным сдвигом в миниатюризации электронных устройств было внедрение полупроводниковых диодов и триодов, что позволило довести плотность электронных устройств до 2-3 элементов в 1 см3.

Следующим этапом миниатюризации электроники, который развивается и в настоящее время, является создание интегральных схем. Это миниатюрное электронное устройство, у которого все элементы (или их часть) нераздельно связаны конструктивно и соединены между собой электрически. Различают два основных типа интегральных схем: полупроводниковые и пленочные.

Полупроводниковые интегральные схемы изготовляют из особо чистых полупроводников. Путем термической, диффузной и иной обработки изменяют кристаллическую решетку полупроводника так, что отдельные его области становятся различными элементами схемы. Пленочные интегральные схемы изготовляют путем осаждения различных материалов в вакууме на соответствующие подложки. Используют также гибридные интегральные схемы - сочетание полупроводниковых и пленочных схем.

48. Медицинская электроника

Одно из распространенных применений электронных устройств связано с диагностикой и лечением заболеваний. Разделы электроники, в которых рассматриваются особенности применения электронных систем для решения медико-биологических задач, а также устройства соответствующей аппаратуры, получили название медицинской электроники.

Медицинская электроника основывается на сведениях из физики, математики, техники, медицины, биологии, физиологии и других наук, она включает в себя биологическую и физиологическую электронику.

В настоящее время многие традиционно "неэлектрические" характеристики (температуру, смещение тела, биохимические показатели и др.) при измерениях стремятся преобразовать в электрический сигнал. Информацию, представленную электрическим сигналом, удобно передавать на расстояние и надежно регистрировать. Можно выделить следующие основные группы электронных приборов и аппаратов, используемых для медико-биологических целей.

1. Устройства для получения (схема), передачи и регистрации медико-биологической информации. Такая информация может быть не только о процессах, происходящих в организме (в биологической ткани, органах, системах), но и о состоянии окружающей среды (санитарно-гигиеническое назначение), о процессах, происходящих в протезах, и т. д. Сюда относится большая часть диагностической аппаратуры: баллистокардиографы, фонокардиографы и др.

2. Электронные устройства, обеспечивающие дозирующее воздействие на организм различными физическими факторами (такими как ультразвук, электрический ток, электромагнитные поля и др.) с целью лечения: аппараты микроволновой терапии, аппараты для электрохирургии, кардиостимуляторы и др. 3. Кибернетические электронные устройства:

1) электронные вычислительные машины для переработки, хранения и автоматического анализа медико-биологической информации;

2) устройства для управления процессами жизнедеятельности и автоматического регулирования окружающей человека среды;

3) электронные модели биологических процессов и др. Одним из важных вопросов, связанных с устройством

электронной медицинской аппаратуры, является ее электробезопасность как для пациентов, так и для медицинского персонала. В электрической сети и в технических устройствах обычно задают электрическое напряжение, но действие на организм или органы оказывает электрический ток, т. е. заряд, протекающий через биологический объект в единицу времени.

Сопротивление тела человека между двумя касаниями (электродами) складывается из сопротивления внутренних тканей и органов и сопротивления кожи.

Основное и главное требование - сделать недоступным касание аппаратуры, находящейся под напряжением. Для этого прежде всего изолируют части приборов и аппаратов, находящихся под напряжением, друг от друга и от корпуса аппаратуры.

49. Как обеспечивается надежность медицинской аппаратуры

При проведении процедур с использованием электродов, наложенных на пациента, трудно предусмотреть множество вариантов создания электроопасной ситуации, поэтому следует четко следовать инструкции по проведению данной процедуры, не делая каких-либо отступлений от нее.

Надежность медицинской аппаратуры. Медицинская аппаратура должна нормально функционировать. Способность изделия не отказывать в работе в заданных условиях эксплуатации и сохранять свою работоспособность в течение заданного интервала времени характеризуют обобщающим термином - "надежность". Для медицинской аппаратуры проблема надежности особенно актуальна, так как выход приборов и аппаратов из строя может привести не только к экономическим потерям, но и к гибели пациентов. Способность аппаратуры к безотказной работе зависит от многих причин, учесть действие которых практически невозможно, поэтому количественная оценка надежности имеет вероятностный характер. Так, например, важным параметром является вероятность безотказной работы. Она оценивается экспериментально отношением числа работающих (не испортившихся) за определенное время изделий к общему числу испытывавшихся изделий. Эта характеристика оценивает возможность сохранения изделием работоспособности в заданном интервале времени. Другим количественным показателем надежности является интенсивность отказов. В зависимости от возможных последствий отказа в процессе эксплуатации медицинские изделия подразделяются на четыре класса.

А - изделия, отказ которых представляет непосредственную опасность для жизни пациента или персонала. К изделиям этого класса относятся приборы для наблюдения за жизненно важными функциями больного, аппараты искусственного дыхания и кровообращения.

Б - изделия, отказ которых вызывает искажение информации о состоянии организма или окружающей среды, не приводящее к непосредственной опасности для жизни пациента или персонала, либо вызывает необходимость немедленного использования аналогичного по функциональному назначению изделия, находящегося в режиме ожидания. К таким изделиям относятся системы, следящие за больным, аппараты стимуляции сердечной деятельности.

В - изделия, отказ которых снижает эффективность или задерживает лечебно-диагностический процесс в некритических ситуациях, либо повышает нагрузку на медицинский или обслуживающий персонал, либо приводит только к материальному ущербу. К этому классу относится большая часть диагностической и физиотерапевтической аппаратуры, инструментарий и др.

Г - изделия, не содержащие отказо способных частей. Электромедицинская аппаратура к этому классу не относится.

50. Система получения медико-биологической информации

Любое медико-биологическое исследование связано с получением и регистрацией отсутствующей информации. Для того чтобы получить и зафиксировать информацию о состоянии и параметрах медико-биологической системы, необходимо иметь целую совокупность устройств. Первичный элемент этой совокупности - чувствительный элемент средства измерений, называемый устройством съема, - непременно контактирует или взаимодействует с самой системой.

В устройствах медицинской электроники чувствительный элемент либо прямо выдает электрический сигнал, либо изменяет таковой сигнал под воздействием биологической системы. Устройство съема преобразует информацию медико-биологического и физиологического содержания в сигнал электронного устройства. В медицинской электронике используются два вида устройств съема: электроды и датчики.

Электроды - это проводники специальной формы, соединяющие измерительную цепь с биологической системой. При диагностике электроды используются не только для съема электрического сигнала, но и для подведения внешнего электромагнитного воздействия (например, в реографии). В медицине электроды используются также для оказания электромагнитного воздействия с целью лечения и при электростимуляции.

Многие медико-биологические характеристики нельзя "снять" электродами, так как они не отражаются биоэлектрическим сигналом: давление крови, температура, звуки сердца и многие другие. В некоторых случаях медико-биологическая информация связана с электрическим сигналом, в этих случаях используют датчики (измерительные преобразователи). Датчиком называют устройство, преобразующее измеряемую или контролируемую величину в сигнал, удобный для передачи, дальнейшего преобразования или регистрации. Датчики подразделяются на генераторные и параметрические.

Генераторные - это датчики, которые под воздействием измеряемого сигнала непосредственно генерируют напряжение или ток. К таким типам датчиков относятся:

1) пьезоэлектрические;

2) термоэлектрические;

3) индукционные;

4) фотоэлектрические.

Параметрические - это датчики, в которых под воздействием измеряемого сигнала изменяется какой-либо параметр.

К таким датчикам относятся:

1) емкостные;

2) реостатные;

3) индуктивные.

В зависимости от энергии, являющейся носителем информации, различают механические, акустические (звуковые), температурные, электрические, оптические и другие датчики.

Биоэлектрические потенциалы являются существенным диагностическим показателем многих заболеваний. Поэтому очень важно правильно регистрировать эти потенциалы и извлекать необходимую медицинскую информацию.

51. Усилители-генераторы

Усилителями электрических сигналов, или электронными усилителями, называют устройства, которые преобразуют энергию источников постоянного напряжения в энергию электромагнитных колебаний различной формы.

По принципу работы различают генераторы с самовозбуждением и генераторы с внешним возбуждением, которые по существу являются усилителями мощности высокой частоты.

Генераторы подразделяются по частоте и мощности колебаний. В медицине электронные генераторы находят три основных применения: в физиотерапевтической электронной аппаратуре; в электронных стимуляторах; в отдельных диагностических приборах, например в реографе.

Все генераторы подразделяются на низкочастотные и высокочастотные. Медицинские аппараты - генераторы гармонических и импульсных низкочастотных электромагнитных колебаний объединяют две большие группы устройств, которые трудно четко разграничить: электронные стимуляторы (электростимуляторы) и аппараты физиотерапии. При небольших частотах наиболее существенно специфическое, а не тепловое действие тока. Лечение током имеет характер стимулирования какого-либо эффекта, поэтому имеет место как бы смешение понятий "лечебный аппарат" и "электростимулятор".

Электростимуляторы подразделяются на стационарные, носимые и имплантируемые (вживляемые).

Носимым и часто имплантируемым кардиостимулятором является имплантируемый радиочастотный электростимулятор ЭКСР-01. Приемник воспринимает радиосигналы от внешнего передатчика. Эти сигналы воспринимаются внутри тела больного имплантируемой частью и в виде импульсов через электроды подаются на сердце. К техническим устройствам электростимуляции относятся также электроды для подведения электрического сигнала к биологической системе. Во многих случаях электростимулирование осуществляется пластинчатыми электродами, которые накладываются на тело человека подобно электродам для электрокардиографии.

Большая группа медицинских аппаратов - генераторов электромагнитных колебаний и волн - работает в диапазоне ультразвуковых, высоких, ультравысоких частот и называется обобщающим термином "высокочастотная электронная аппаратура".

При УВЧ-терапии прогреваемую часть тела помещают между дискообразными металлическими электродами, покрытыми слоем изолятора. При воздействии электромагнитными волнами к телу приближают излучатель этих волн.

К другим физиотерапевтическим аппаратам относятся:

1) аппарат "Искра-1" - высокочастотный генератор, работающий в импульсном режиме и используемый для местной дарсонвализации;

2) аппарат ИКВ-4 для индуктотермии, работающий на частоте 13,56 мГц;

3) переносной аппарат для УВЧ-терапии - УВЧ-66;

4) аппарат для микроволновой терапии "Луч-58".

К высокочастотной электронной медицинской аппаратуре относят и аппараты электрохирургии (высокочастотной хирургии).

52. Оптика

Оптика - раздел физики, в котором рассматриваются закономерности излучения, поглощения и распространения света.

Закон прямолинейного распространения света.

Свет в прозрачной однородной среде распространяется прямолинейно.

Световой луч - это бесконечно тонкий пучок света, распространяющийся прямолинейно, это линия, указывающая направление распространения световой энергии.

Плоское зеркало. Если падающие параллельные лучи после отражения от плоской поверхности остаются параллельными, то такое отражение называется зеркальным, а отражающая поверхность является плоским зеркалом.

Законы преломления света. Падающий и преломленный лучи и нормаль к границе раздела сред в точке падения лежат в одной плоскости.

sin α /sin β = n,

где α - угол между падающим лучом и нормалью; β - угол между преломленным лучом и нормалью. Абсолютный и относительный показатели преломления.

Относительный показатель преломления света n = n1/ n2,

где n1 и n2 - абсолютные показатели преломления двух сред, равные отношению скорости распространения света в вакууме к скорости распространения света в среде:

n= c/v1, n2= c/v2

Ход лучей в призме. Закон преломления света позволяет рассчитать ход лучей в различных оптических устройствах, в частности в треугольной призме.

Полное отклонение луча

d = a1 + b2 x w,

w = b1 + a2.

Если w мал, то:

d = (n-1) ч w,

где n - показатель преломления вещества призмы.

Явления полного внутреннего отражения. Если луч идет из среды, оптически более плотной (с большим показателем преломления), в среду, оптически менее плотную, то:

При определенном значении угла падения a0 преломленный луч скользит вдоль границы раздела среды

и

β = n/2, тогда sinα0 = n1/ n2

53. Волновая оптика

Волновые свойства света. Свет - это электромагнитные волны в интервале частотой 13 x 1014-8 x ч 1014 Гц воспринимаемые человеческим глазом, т. е. длина волн 380 x 770 нм. Свету присущи все свойства электромагнитных волн: отражение, преломление, интерференция, дифракция, поляризация.

Электромагнитная природа света. До середины XIX в вопрос о природе света оставался практически нерешенным. Ответ на него был найден Дж. Максвеллом, обосновавшим общие законы электромагнитного поля. Из теории Дж. Максвелла следовал вывод о том, что свет - это электромагнитные волны определенного диапазона. Скорость света в однородной среде. Скорость света определяется электрическими и магнитными свойствами среды. Подтверждением этого служит совпадение скорости света в вакууме с электродинамической постоянной:

0 - электрическая постоянная, m0 - магнитная постоянная). Скорость света в однородной среде, как известно, определяется показателем преломления среды п. Скорость света в веществе:

υ =c / n

где с - скорость света в вакууме.

Из теории Максвелла следует:

т. е. показатель преломления, а следовательно, и скорость в среде определяются диэлектрической и магнитной проницаемостью среды:

Интерференцией называется сложение волн от двух или нескольких источников, когда в результате сложения нарушается принцип суперпозиции интенсивностей.

Плотность энергии в электромагнитной волне пропорциональна квадрату амплитуды волны и определяет интенсивность световой волны, которую человеческий глаз оценивает как освещенность. Дифракция света - явления отклонения света от прямолинейного направления при прохождении у края преграды.

Дифракция волн - совокупность явлений, наблюдаемых при прохождении волн в неоднородных средах, приводящих к отклонению волн от первоначального прямолинейного распространения.

Принцип Гюйгенса-Френеля. Каждая точка поверхности, которой достигла в данный момент волна, служит точечным источником вторичных сферических волн, которые являются когерентными: волновая поверхность в любой момент времени представляет собой не просто огибающую вторичных волн, а результат их интерференции.

Метод зон Френеля. Для точечного источника в однородной и изотропной среде волновые поверхности имеют сферическую форму. Френель предложил разбивать волновую поверхность на отдельные участки, называемые зонами Френеля, так, чтобы колебания, приходящие от двух соседних зон в точку наблюдения, при сложении гасили друг друга.

54. Поляризация света

Свет представляет собой поперечные электромагнитные волны. Поляризация света - упорядочение в ориентации векторов напряженностей электрического и магнитного полей световой волны в плоскости, перпендикулярной световому лучу. Естественный свет (солнечный, лампы накаливания) неполяризован, т. е. все направления колебаний электрического и магнитного векторов перпендикулярные световым лучам, равноправны. Существуют приспособления, называемые поляризаторами, которые обладают способностью пропускать через себя световые лучи с одним направлением колебаний электрического вектора Е, так что на выходе поляризатора свет становится плоско (линейно) поляризованным. При произвольном угле a между направлениями анализатора и поляризатора амплитуда световых колебаний, выходящих из анализатора, равна:

Ea = En cos a,

где En - амплитуда колебаний на выходе из поляризатора.

В электромагнитной волне плотность энергии (интенсивность) пропорциональна квадрату амплитуды колебаний Е, т. е. In -E2n и Ia -E2a.

На основании этого получаем:

Ia = In cos2 a.

Это соотношение называется законом Малюса.

Степень поляризации света (максимальная и минимальная) равна интенсивности частично поляризованного света, пропускаемого анализатором.

Поляризация происходит и на границе двух изотропных диэлектриков. Если падающий свет естественный, то преломленный и отраженный лучи частично поляризованы, причем преимущественное направление колебаний электрического вектора преломленной волны лежит в плоскости падения, а отраженный - перпендикулярно ей. Степень поляризации зависит от показателя преломления второй среды относительно первой:

n21 = n2/n1

и от угла падения а, причем при угле падения аБ, для которого tg аБ = n21 (закон Брюстера), отраженный луч поляризован практически полностью, а степень поляризации преломленного луча максимальна.

Двойным лучепреломлением называется способность некоторых веществ, в частности кристаллов, расщеплять падающий световой луч на два луча - обыкновенный (О) и необыкновенный (Е), которые распространяются в различных направлениях с различной фазовой скоростью и поляризованы во взаимно перпендикулярных плоскостях.

При прохождении света через некоторые вещества, называемые оптически активными, плоскость поляризации света поворачивается вокруг направления луча. Угол поворота f плоскости поляризации пропорционален пути I, пройденному светом в оптически активном веществе:

где а - постоянная вращения, зависящая от свойств

f = aI,

вещества и длины световой волны

55. Оптическая система глаза и некоторые ее особенности

Глаз человека является своеобразным оптическим прибором, занимающим в оптике особое место. Для медиков глаз не только орган, способный к функциональным нарушениям и заболеваниям, но и источник информации о некоторых неглазных болезнях. Остановимся кратко на строении глаза человека.

Собственно глазом является глазное яблоко, имеющее не совсем правильную шаровидную форму. Стенки глаза состоят из трех концентрически расположенных оболочек: наружной, средней и внутренней. Наружная белковая оболочка - склера - в передней части глаза превращается в прозрачную выпуклую роговую оболочку - роговицу. По оптическим свойствам роговица - наиболее сильно преломляющая часть глаза. Она является как бы окном, через которое в глаз проходят лучи света. Наружный покров роговицы переходит в конъюнктиву, прикрепленную к векам.

К склере прилегает сосудистая оболочка, внутренняя поверхность которой выстлана слоем темных пигментных клеток, препятствующих внутреннему диффузному рассеянию света в глазу. В передней части глаза сосудистая оболочка переходит в радужную, в которой имеется круглое отверстие - зрачок. Непосредственно к зрачку с внутренней стороны глаза примыкает хрусталик - прозрачное и упругое тело, подобное двояковыпуклой линзе. Диаметр хрусталика 8-10 мм, радиус кривизны передней поверхности в среднем 10 мм, задней - 6 мм. Показатель преломления вещества хрусталика несколько больше - 11,4. Строение хрусталика напоминает слоистую структуру лука, причем показатель преломления слоев неодинаков. Между роговицей и хрусталиком расположена передняя камера глаза, она заполнена влагой - жидкостью, близкой по оптическим свойствам к воде. Вся внутренняя часть глаза от хрусталика до задней стенки занята прозрачной студенистой массой, называемой стекловидным телом. Показатель преломления стекловидного тела такой же, как у водянистой влаги.

Рассмотренные выше элементы глаза в основном относятся к его светопроводящему аппарату.

Зрительный нерв входит в глазное яблоко через заднюю стенку; разветвляясь, он переходит в самый внутренний слой глаза - сетчатку, или ретину, являющуюся световоспринимающим (рецепторным) аппаратом глаза. Сетчатка состоит из нескольких слоев и неодинакова по своей толщине и чувствительности к свету, в ней находятся светочувствительные зрительные клетки, периферические концы которых имеют различную форму. В месте вхождения зрительного нерва находится не чувствительное к свету слепое пятно.

Глаз может быть представлен как центрированная оптическая система, образованная роговицей, жидкостью передней камеры и хрусталиком (четырьмя преломляющимися поверхностями) и ограниченная спереди воздушной средой, сзади - стекловидным телом. Главная оптическая ось проходит через геометрические центры роговицы, зрачка и хрусталика.

Кроме того, выделяют еще зрительную ось глаза, которая определяет направление наибольшей светочувствительности и проходит через центры хрусталика и желтого пятна.

56. Тепловые излучения тел

Из всего многообразия электромагнитных излучений, видимых или невидимых человеческим глазом, можно выделить одно, которое присуще всем телам. Это излучение нагретых тел, или тепловое излучение. При тепловом излучении энергия переносится от одного тела к другому благодаря испусканию и поглощению электромагнитных волн. Тепловое излучение нагретых тел возникает при любых температурах, поэтому испускается всеми телами.

Равновесное (черное) излучение - это излучение, находящееся в термодинамическом равновесии с телами, имеющими определенную температуру. Абсолютно черное тело - это тело, которое полностью поглощает любое падающее на его поверхность электромагнитное излучение независимо от температуры тела.

Для абсолютно черного тела поглощательная способность (отношение поглощенной энергии к энергии падающего излучения) равна единице.

По своим характеристикам такое излучение подчиняется закону излучения Планка, определяющему испускательную способность и энергетическую яркость абсолютно черного тела. Он высказал гипотезу, из которой следовало, что черное тело излучает и поглощает энергию не непрерывно, а определенными порциями, квантами.

Закон Кирхгора устанавливает количественную связь между излучением и поглощением - при одинаковой плотности энергетической светимости к монохроматическому коэффициенту поглощения света для любых тел, в том числе и для черных. Закон Кирхгора устанавливает, что отношение испускательной способности r тела к его поглотительной способности абсолютно черного тела f(w, Т) при тех же значениях температуры и частоты:

где w - частота волны.

Закон Стефана-Больцмана: энергетическая интегральная светимость R (T) абсолютно черного тела пропорциональна четвертой степени абсолютной температуры:

R(T) = QT4.

Числовое значение постоянной Q, называемой постоянной Стефана-Больцмана, равна:

Закон смещения Випа - длина lm, на которую приходится максимум энергии излучения абсолютно черного тела, обратно пропорциональна абсолютной температуре Т.

Значение постоянной Випа 2,898 x 10-3 μК.

μК - постоянная Випа. Этот закон выполняется и для серых тел.

Проявление закона Випа известно из обыденных наблюдений. При комнатной температуре тепловое излучение тел в основном приходится на инфракрасную область и человеческим глазом не воспринимается. Если температура повышается, то тела начинают светиться темно-красным светом, а при очень высокой температуре - белым с голубоватым оттенком, возрастает ощущение нагретости тела.

Автор: Подколзина В.А.

Рекомендуем интересные статьи раздела Конспекты лекций, шпаргалки:

Нервные болезни. Шпаргалка

Безопасность жизнедеятельности. Шпаргалка

Гражданское право. Части I, III и IV. Шпаргалка

Смотрите другие статьи раздела Конспекты лекций, шпаргалки.

Читайте и пишите полезные комментарии к этой статье.

<< Назад

Последние новости науки и техники, новинки электроники:

Дети, растущие рядом с природой, обретают крепкие кости 02.03.2026

Влияние окружающей среды на здоровье человека становится все более очевидным, особенно в детском возрасте. Новое исследование, опубликованное в журнале JAMA Network Open, показывает, что близость к природе напрямую связана с крепостью костей у детей. Ученые установили, что у детей, чьи дома окружены природными территориями в радиусе 1000 метров на 25% больше обычного, риск развития крайне низкой плотности костей снижается на 65%. Для проведения исследования были проанализированы данные более 300 детей, проживающих в городских, пригородных и сельских районах Фландрии в Бельгии. Плотность костной ткани у детей в возрасте от четырех до шести лет оценивалась с помощью ультразвуковых методов. Такой подход позволил безопасно и точно измерить состояние костей на ранних этапах формирования скелета. При анализе учитывались ключевые факторы, влияющие на рост и развитие детей: возраст, вес, рост, этническая принадлежность и уровень образования матери. На основании этих параметров исследоват ...>>

Самовосстанавливающаяся инфраструктура будущего 02.03.2026

Современные мосты и бетонные конструкции по всему миру сталкиваются с проблемой устаревания и износа. Многие сооружения, построенные до 1980-х годов, постепенно теряют свою несущую способность, что требует дорогого ремонта или полной замены. Недавние разработки ученых из Швейцарских федеральных лабораторий материаловедения и технологий (Empa) предлагают инновационное решение - систему укрепления бетонных конструкций с помощью "умной стали", способной самостоятельно устранять трещины и повреждения. В основе новой технологии лежит арматура из сплава на основе железа с эффектом памяти формы (Fe-SMA). Этот материал обладает уникальным свойством: при нагревании до 190-200 °C стержни стремятся вернуться к своей первоначальной конфигурации. В бетонной конструкции это создает внутреннее напряжение, которое затягивает трещины и выравнивает деформированные элементы, существенно повышая прочность и долговечность сооружений. Актуальность разработки объясняется критическим состоянием инфрастр ...>>

Поцелуи полезны для здоровья 01.03.2026

Вопрос о том, как социальные связи и близость с партнером отражаются на здоровье человека, привлекает внимание не только психологов, но и специалистов в области микробиологии. Новое исследование показывает, что совместное проживание с любимым человеком может оказывать значительное влияние на микробиом кишечника и общее самочувствие. Доктор Наоми Миддлтон, клинический психологи и эксперт по здоровью кишечника, объяснила, что все аспекты совместной жизни - поцелуи, совместное питание, физическая близость и даже просто пребывание рядом - тесно связаны с поддержанием сбалансированной кишечной микрофлоры. Она подчеркивает, что здоровье экосистемы кишечника во многом определяется социальными взаимодействиями и повседневной близостью с другими людьми. По словам Миддлтон, длительное совместное пребывание с партнером может способствовать увеличению микробного разнообразия в кишечнике, а также снижать воспалительные процессы, связанные со стрессом. Такой эффект обусловлен тем, что микробио ...>>

Случайная новость из Архива

Зарядка носимых устройств от дыхания пользователя 08.12.2020

Международная группа исследователей во главе с учеными из Университета штата Пенсильвания (США) разработала эластичную систему, которая собирает энергию от дыхания и движения человека, чтобы заряжать "умные" носимые устройства - например, фитнес-браслеты.

По словам авторов работы, современные версии батарей и суперконденсаторов, питающих носимые и растягиваемые устройства для контроля и диагностики состояния здоровья, имеют множество недостатков, включая низкую плотность энергии и недостаточную эластичность.

Альтернативой батареям являются микро-суперконденсаторы - устройства накопления энергии, которые могут дополнять или заменять литий-ионные батареи в носимых устройствах. Из преимуществ: микро-суперконденсаторы небольшого размера, обладают высокой удельной мощностью. Из недостатков: они имеют "многослойную" сложенную геометрию, поэтому эти источники энергии плохо растягиваются, из-за чего их сложно соединить с носимой электроникой.

Поэтому ученые решили исследовать альтернативные архитектуры устройств. Они обнаружили, что расположение ячеек микро-суперконденсаторов "змейкой" позволяет конфигурации растягиваться и изгибаться в мостиках - местах, которые соединяют ячейки. При этом главные элементы микро-суперконденсаторов меньше деформируются.

Чтобы создать такую "решетку", исследователи использовали ультратонкие нанолисты цинк-фосфор и трехмерную лазерно-индуцированную графеновую пену - высокопористый самонагревающийся наноматериал. Также команда заметно улучшила электрическую проводимость зарядного устройства. Это доказало, что массивы суперконденсаторов могут эффективно накапливать энергию, необходимую для питания носимого устройства.

Разработчики пошли еще дальше - и дополнили новую систему технологией, которая преобразует механическое движение пользователя в электрическую энергию. Такая комбинация создала систему с автономным питанием.

"Когда у нас есть этот модуль беспроводной зарядки, основанный на трибоэлектрическом наногенераторе, мы можем собирать энергию от движения пользователя - например, сгибания локтя, дыхания или речи", - отмечают авторы.

Другие интересные новости:

▪ Дым коромыслом

▪ Струйная печать за копейки

▪ Каучук из одуванчиков

▪ При недостатке кислорода старение клеток начинается еще до рождения

▪ Тайвань производит все больше материнских плат

Лента новостей науки и техники, новинок электроники

 

Интересные материалы Бесплатной технической библиотеки:

▪ раздел сайта Сварочное оборудование. Подборка статей

▪ статья Пройти огонь, воду и медные трубы. Крылатое выражение

▪ статья Как возникло представление о Санта Клаусе? Подробный ответ

▪ статья Инородные тела в слуховом проходе. Медицинская помощь

▪ статья Курительные свечки. Простые рецепты и советы

▪ статья Появление и исчезновение аквариума с живыми рыбками. Секрет фокуса

Оставьте свой комментарий к этой статье:

Имя:


E-mail (не обязательно):


Комментарий:





Главная страница | Библиотека | Статьи | Карта сайта | Отзывы о сайте

www.diagram.com.ua

www.diagram.com.ua
2000-2026