Menu Home

Бесплатная техническая библиотека для любителей и профессионалов Бесплатная техническая библиотека


Бас в автомобиле: нестандартные решения. Энциклопедия радиоэлектроники и электротехники

Бесплатная техническая библиотека

Энциклопедия радиоэлектроники и электротехники / Акустические системы

 Комментарии к статье

Как при минимальных затратах расширить полосу эффективно воспроизводимых частот в автомобильной акустической системе? Автор, неоднократный участник соревнований по автозвуку и неутомимый экспериментатор, предлагает оригинальные конструкторские решения (с приложением расчетных формул), которые обеспечат заметное улучшение "басовитости" акустической системы без существенного уменьшения полезного объема багажника.

Основная проблема, возникающая при построении акустической системы в автомобиле, - ослабленное воспроизведение низших частот диапазона. Готовый или самодельный сабвуфер - наиболее радикальное решение "басовой" проблемы. Однако коробчатый корпус занимает в багажнике немало места, а встроенные конструкции, повторяющие сложные криволинейные поверхности автомобиля, весьма трудоемки в изготовлении.

Поэтому бескорпусные сабвуферы, несмотря на присущие им недостатки, по-прежнему популярны. Не последнюю роль играет и простота решения - для того, чтобы установить в заднюю полку динамик (для автомобилистов - синоним динамической головки) в оформлении free air, не требуется особой квалификации. Однако метод пригоден только для "настоящих" седанов, багажник которых отделен от салона перегородкой. В противном случае герметичность этого акустического оформления весьма условна, и воспроизведение низших частот ухудшается. Кроме того, размеры полки под задним стеклом ограничивают максимальный размер динамических головок, поэтому круглые головки диаметром 6,5-8 дюймов или эллиптические 6x9 (7x10) дюймов - предел для большинства распространенных автомобилей.

В хэтчбеках этой проблемы нет, там в задней полке без труда можно разместить и пятнадцатидюймовую головку сабвуфера. Но так просто решить проблему не получается. Хлипкая задняя полка - это еще полбеды, настоящая беда в том, что объем багажника крайне сложно изолировать от салона. В результате от такого решения больше проблем, чем выигрыша: герметизировать стыки полки с боковинами багажного отсека и спинкой заднего сиденья нереально. Акустическое оформление в этом случае уже не "условно-закрытый" ящик, а акустический экран. В результате потери на утечках "съедают" все преимущества большого диффузора. Увеличение подводимой мощности или коррекция АЧХ не спасет положение.

К счастью, потери существенны только при большой подводимой мощности на частотах ниже 50 Гц. Они снижаются с увеличением объема багажника (уменьшается степень изменения давления). Потери можно еще уменьшить, если использовать динамики с малым возбуждаемым объемом (меньшей площадью диффузора и небольшим рабочим ходом). Однако их эффективность мала, так что этот путь не представляет интереса.

Проблему можно решить, если изменить тип акустического оформления. Поскольку в хэтчбеках заднюю полку для установки динамиков все равно необходимо как минимум укреплять, а как максимум - изготавливать заново, то незначительное усложнение ее конструкции - не такой уж большой недостаток. Далее предлагаются два варианта акустического оформления низкочастотных головок в автомобиле, неоднократно проверенные на практике [1,2].

Полосовой громкоговоритель

С точки зрения максимальной эффективности выгоднее всего применить полосовой громкоговоритель (бандпасс). Во-первых, этот вид акустического оформления не воспроизводит сигналы вне полосы пропускания. Поэтому применение в тракте сигнала электрических фильтров, формирующих АЧХ сабвуфера, уже не является строго обязательным. Во-вторых, КПД полосового громкоговорителя значительно выше, чем у других видов акустического оформления, что позволит использовать относительно маломощный усилитель. В совокупности эти обстоятельства делают возможной работу сабвуфера непосредственно от головного устройства (магнитолы). Это особенно привлекательно для тех, кто не хочет устанавливать дополнительный усилитель.

Для наших целей особенно удобна система четвертого порядка, состоящая из двух камер - закрытой и резонансной, в перегородке между которыми установлена динамическая головка. В качестве закрытой камеры будем использовать багажник, а полку превратим в резонансную камеру, снабженную фазоинвертором (рис. 1).

Бас в автомобиле: нестандартные решения

Возможен и обратный вариант, но реализовать его нелегко, поскольку возможная негерметичность и в особенности переменный объем багажника (он зависит от заполнения) влияют на настройку резонансной камеры в гораздо большей степени, чем на настройку закрытой. Да и выяснить необходимое для расчетов точное значение объема багажника практически нереально - ни один автопроизводитель не приводит его с точностью до литра. Наконец, КПД подобного варианта по результатам моделирования заметно ниже.

Бандпасс позволяет гибко управлять частотной характеристикой акустической системы. Основные характеристики определяются резонансной камерой, а объем закрытой камеры можно рассматривать как инструмент для настройки резонансной частоты и добротности головки. Однако в нашем случае в силу вступают определенные ограничения: некоторые параметры конструкции - "объективная реальность", и произвольно изменять их нельзя. Так, объем багажника, в данном варианте играющего роль закрытой камеры акустического оформления, обычно не менее 300 л, и варьировать его затруднительно. К счастью, при соответствующем выборе параметров головки влияние объема закрытой камеры на частотную характеристику можно минимизировать. Моделирование различных вариантов программой JBL Speaker Shop позволило определить основные соотношения параметров (рис. 2):

Бас в автомобиле: нестандартные решения

В предлагаемой конструкции объем резонансной камеры и размеры порта фазоинвертора получаются вполне приемлемыми. Увеличение объема резонансной камеры относительно эквивалентного объема сужает полосу пропускания, а уменьшение объема резонансной камеры расширяет полосу, но АЧХ становится двугорбой. С учетом реальных объемов багажника и доступных объемов резонансной камеры для такой конструкции лучше всего подходят динамические головки со следующими параметрами: полная добротность Qts = 0,7... 1,0; эквивалентный объем Vas = 10...60 л; частота собственного резонанса Fb = 40...60 Гц.

Этим условиям отвечают не только "серьезные" динамики, но и большинство "блинов". Результаты моделирования АС "в одном и том же багажнике" показаны на рис. 3.

Бас в автомобиле: нестандартные решения

Здесь видно, что эффективность полосовой системы с динамической головкой, имеющей указанные параметры, в области частот ниже 50 Гц заметно выше, чем у закрытого корпуса (по крайней мере, теоретически). Частота среза закрытого корпуса по уровню -3 дБ всего 42 Гц, а у полосового громкоговорителя - 27 Гц. В то же время в области самых низких частот (15...30 Гц) бандпасс уступает фазоин-вертору, выполненному в том же объеме корпуса - при этом неравномерность АЧХ в полосе пропускания у фазоинвертора выше. Правда, в случае фазоинвертора такого объема использовать багажник по прямому назначению будет весьма затруднительно...

Практическая реализация предложенной конструкции не представляет сложности. Достаточно взглянуть на типичную укрепленную полку (рис. 4).

Бас в автомобиле: нестандартные решения

Для превращения в бандпасс ей недостает только герметичной резонансной камеры и фазоинвертора. И несмотря на кажущийся внушительным объем резонансной камеры, зрительно она не велика: для полученного в расчете объема 45 л при размерах панели 1,1x,55 м внутренняя высота камеры лишь 7,5 см! С учетом толщины стенок общая высота - не более 10 см. А такую потерю высоты багажника можно перенести безболезненно.

Большинство моделирующих программ делают также и расчет порта фазоинвертора, обычно только круглого сечения Для расчета фазоинвертора без применения специализированных программ можно использовать известную формулу [3]

где Fb - частота резонанса, Гц; V, - объем камеры, см3; S, - площадь порта, см2; l - длина туннеля (толщина панели), см; к - соотношение сторон отверстия

С позиции технологии изготовления удобнее всего делать порт фазоинвер-тора в виде отверстия в панели, без применения трубы. Поскольку никакие математические преобразования не приводят формулу к виду, удобному для расчета размеров отверстия, проще воспользоваться методом последовательных приближений. В первом приближении сечение отверстия выбирают в пределах 50...70 % площади диффузора (суммарной площади диффузоров, если динамиков несколько). Затем определяют частоту настройки фазоинвертора при заданных толщине панели и объеме резонансной камеры. Дальше остается только несколькими итерациями уточнить площадь отверстия и загнать результат в "вилку".

Для окончательной подгонки частоты настройки (в сторону увеличения) удобно использовать коэффициент формы отверстия к: его значение в степени 0,12 очень медленно растет, удлинением отверстия - не превышает 1,4... 1,6 даже для очень узких и длинных щелей (1:20...1:50). Если в результате всех расчетов площадь отверстия все же получается меньше 20 % площади диффузора, стоит увеличить глубину порта, т. е. перейти к короткой трубе или длинной щели с "бортиком". При этом нужно помнить, что расстояние от внутреннего среза трубы до стенки резонансной камеры должно быть не менее ее "характерного" размера, равного квадратному корню из площади (тот самый корень из S в знаменателе). Если это условие не выполняется, "излишки" трубы придется вынести за пределы корпуса или пересмотреть геометрию резонансной камеры. Возможно, стоит увеличить объем резонансной камеры и полностью повторить расчеты, начиная с моделирования.

Поясню на примере. Для АС, основанной на приведенном выше расчете, использована головка диаметром 25 см с площадью диффузора примерно 380 см2. Необходимо настроить порт на 50 Гц. Для камеры объемом 45 л при толщине панели 12 мм отверстие площадью 300 см2 дает настройку на 104 Гц, при площади 100 см2 частота настройки снижается до 77 Гц. Дальнейшее уменьшение площади отверстия нежелательно, поэтому придется увеличить глубину порта. При той же площади 100 см2 и глубине 48 мм частота настройки еще ниже - 67 Гц. Скрепя сердце, уменьшаем площадь отверстия до 74 см2 (труба с наружным диаметром 100 мм, внутренним 97 мм), а глубину увеличиваем до 110 мм. Площадь отверстия составляет 19% от площади диффузора, частота настройки - точно 50 Гц.

Результат достигнут, но не самым лучшим образом. Поскольку внутренняя высота корпуса равна 7,5 см, а характерный размер трубы - 8,6 см, вся она должна помещаться вне резонансной камеры. Достоинство рассмотренного варианта акустического оформления в том, что характеристики АС практически не зависят от загрузки багажного отсека (примерно до половины его объема). Однако реализовать фазоинвертор без трубы возможно не со всеми типами головок, что является определенным недостатком. А труба, торчащая из задней полки, - эстетика прямо-таки авангардистская. Впрочем, искусство (и музыка в том числе) требует жертв...

Акустическая нагрузка в АС (Плоский резонатор)

А если подойти к проблеме с другой стороны - вынести резонансную камеру поверх полки? Естественно, динамические головки должны отвечать уже приведенным ранее требованиям: полная добротность в интервале 0,7... 1, умеренно жесткий подвес, невысокая частота основного резонанса.

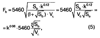
Самый простой вариант резонансной камеры - плоский акустический экран, размещенный в непосредственной близости перед диффузором. Масса воздуха под экраном будет вести себя так же, как и в трубе фазоинвертора - колебаться. А роль порта будет играть щель по периметру экрана. В первом приближении можно считать эту конструкцию вариантом резонатора Гельмгольца, и для расчета можно использовать все ту же формулу (1), но в преобразованном виде - для варианта "без трубы":

где Fb - частота резонанса, Гц; Vc - объем камеры, см ; Sb - площадь порта, см2; k - коэффициент формы отверстия (k = 1-1,25).

Однако, для расчета экрана формула в таком виде крайне неудобна, поскольку все величины в правой части связаны между собой. Кроме того, непонятна степень и даже направление влияния тех или иных параметров. Поэтому были выведены удобные формулы для расчета экрана (вывод формул и анализ в конце статьи).

Для предварительного расчета площади экрана применим следующую формулу:

где S - площадь экрана, см2.

Как видно, в формуле (3) фигурирует только площадь экрана. А куда исчезли остальные параметры? Тщательный анализ показал, что частота настройки слабо зависит от формы экрана и высоты его установки (перестройка в пределах 10% от среднего значения). Поэтому для предварительного расчета достаточно учесть средние значения этих параметров величиной коэффициента в числителе. А для окончательного расчета применить точную формулу (4), которая приведена далее.

Нетрудно подсчитать, что для частот ниже 120 Гц площадь экрана над полкой превышает 1,2 м2 и дальнейшее понижение частоты настройки ограничено размерами автомобиля...

Точно частота настройки определяется по формуле

где h - высота установки экрана, см; j - коэффициент формы экрана, равный: 2,03 - для круглого экрана; 2,17 - для квадратного экрана; 2,25 - для прямоугольного экрана с удлинением 2:1.

Для экспериментальной проверки экран размерами 0,99x0,46 м был установлен на усиленной задней полке автомобиля ИЖ-2126 "Ода". Проектная частота настройки для расчета по формуле (3) была выбрана 200 Гц, уточненная по формуле (4) - 215 Гц. В процессе регулировки и прослушивания выяснилось, что оптимальная высота установки экрана лежит в пределах 25...40 мм. Данная мера позволила устранить "провал" АХЧ в области среднего баса и сгладить резонансный пик, свойственный примененным головкам.

Эскизы деталей полки не приводятся, поскольку для автомобилей других марок размеры будут другими. Экран изготовлен из фанеры толщиной 9 мм, для увеличения жесткости с нижней стороны экрана установлен дюралевый уголок 20x20 мм. К полке экран прикреплен шестью длинными болтами с фланцевыми гайками, что позволяет регулировать высоту установки (рис. 5).

Бас в автомобиле: нестандартные решения

Понятно, что такая конструкция не сможет заменить сабвуфер, но зато позволяет улучшить воспроизведение НЧ ниже 200 Гц даже от самых недорогих динамиков. Именно поэтому идею автора подхватили, и в ряде городов России в автосервисах даже налажено мелкосерийное производство экранированных акустических полок для распространенных автомобилей. Помимо улучшения работы в низкочастотном диапазоне, для потребителей важно и то, что динамики в такой полке не видны и автомобиль не привлекает внимания злоумышленников. И сверху можно положить что-нибудь, не перекрывая диффузор.

Пояснения и комментарии с выводом формул (3) и (4)

Для фазоинверторов относительно большой площади (когда характерный размер порта намного превышает его глубину) в формуле (1) член I можно принять равным нулю:

где Fb - частота резонанса, Гц; Vc - объем камеры, см3; Sb - площадь порта, см2; k - соотношение сторон отверстия.

Обычно в литературе эта формула приводится в несколько ином виде (2), где k (уже без степени!) называется коэффициентом формы отверстия и приводятся его граничные значения: 1 - для круглых и квадратных отверстий и 1,25-для длинной щели. Суть расчета от этого не меняется; указание граничных значений удобно для практических целей, но скрывает физический смысл этого коэффициента. Для формулы в традиционном представлении случай плоского экрана вообще не рассматривается, соответственно, значение коэффициента для такой конфигурации в справочниках не указана, что затрудняет анализ. В первоначальной публикации [2] это обстоятельство способствовало ошибке и ложным выводам (в которые, собственно, никто из читателей и не вникал - практика была убедительнее теории).

Для удобства дальнейшего анализа введем коэффициент "идеальности" формы экрана i:

где Р - периметр экрана: S - площадь экрана.

Для круга он минимален и равен 3,54, для квадрата - 4, для прямоугольника с соотношением сторон 2:1 - 4,24. Дальнейшее удлинение экрана не имеет смысла даже по соображениям компоновки.

Квадратный корень из площади экрана - не что иное, как его "характерный" размер:

Порт в данном акустическом оформлении - не отверстие, это граница между объемом воздуха под экраном и окружающим пространством. Поэтому площадь этого "кольцевого" порта - это произведение периметра экрана на высоту его установки. В то же время объем под экраном - это произведение его площади на высоту установки. Выразим площадь порта через периметр экрана и высоту его установки h, а объем камеры - через площадь экрана и все ту же высоту установки. Соотношение сторон отверстия - это отношение периметра к высоте. Переходя к "эффективному" размеру и коэффициенту, получим

Подставив выражение (6) для "характерного" размера, окончательно получим

Влияние формы экрана и его размеров

В зависимости от формы экрана числитель формулы (7) будет принимать следующие значения: круглый экран - 2,03; квадратный экран - 2,17; прямоугольный экран с удлинением - 2:1 - 2.25.

Таким образом, при одной и той же площади экран круглой формы будет обеспечивать минимальную частоту настройки. В целом влияние формы экрана незначительно - при переходе от круга к квадрату той же площади частота настройки растет всего на 7 %.

Влияние высоты установки также незначительно - при ее изменении от 3 до 15 см частота настройки снижается на 7 %. Дальнейшее увеличение высоты установки экрана лишено смысла.

Площадь экрана оказывается самым действенным механизмом настройки

Подставив средние значения высоты установки и коэффициента формы, получим удобную формулу для предварительного расчета

где Fb - частота резонанса, Гц; S - площадь экрана, см2.

Литература

  1. Шихатов А. Бандпасс в полке. - Мастер 12 вольт, 2002, № 41.
  2. Шихатов А. Динамики и полка. - Мастер 12 вольт, 2003, № 48.
  3. Справочная книга радиолюбителя-конструктора. Под ред. М. М. Чистякова. МРБ, вып. 1195. - М.: Радио и связь, 1993.

Автор: А.Шихатов, г.Москва

Смотрите другие статьи раздела Акустические системы.

Читайте и пишите полезные комментарии к этой статье.

<< Назад

Последние новости науки и техники, новинки электроники:

Впервые преоодолена передача ВИЧ от матери к ребенку 02.01.2026

Проблема вертикальной передачи ВИЧ - от матери к ребенку - остается одной из ключевых задач глобальной медицины. Недавний отчет Всемирной организации здравоохранения (ВОЗ) демонстрирует историческое достижение: Бразилия впервые в своей истории полностью преодолела этот путь передачи вируса. Страна стала 19-й в мире и первой с населением более 100 миллионов человек, которая достигла такого результата. Достижения Бразилии основаны на комплексных медицинских программах, обеспечивающих своевременный доступ к диагностике и терапии для всех слоев населения. ВОЗ официально подтвердило, что уровень передачи ВИЧ от матери к ребенку снизился до менее двух процентов. Более 95% беременных женщин в стране получают регулярный скрининг на ВИЧ и необходимое лечение в рамках стандартного ведения беременности. Изначально программа тестировалась в крупных муниципалитетах и штатах с населением более 100 тысяч человек, а затем была масштабирована на всю страну. Такой подход позволил унифицировать ста ...>>

Нанослой германия увеличивает эффективность солнечных батарей на треть 02.01.2026

Разработка высокоэффективных солнечных батарей остается одной из ключевых задач современной энергетики. Недавнее исследование южнокорейских ученых позволило повысить производительность тонкопленочных солнечных элементов почти на 30%, что открывает новые перспективы для возобновляемых источников энергии, гибкой электроники и сенсорных устройств. Команда исследователей сосредоточилась на элементах на основе моносульфида олова (SnS) - нетоксичного и доступного материала, который идеально подходит для гибких солнечных панелей. До настоящего времени эффективность SnS-устройств оставалась низкой из-за проблем на границе контакта с металлическим электродом. В этой области возникали структурные дефекты, диффузия элементов и электрические потери, что существенно ограничивало возможности таких батарей. "Этот интерфейс был главным барьером для достижения высокой производительности", - отмечает профессор Джейонг Хо из Национального университета Чоннам. Для решения этих проблем ученые предлож ...>>

Электростатическое решение для борьбы с льдом и инеем 01.01.2026

Борьба с льдом и инеем на транспортных средствах и критически важных поверхностях зимой остается сложной и затратной задачей. Ученые из Virginia Tech разработали инновационную технологию, способную разрушать лед и иней без использования тепла или химических реагентов, что открывает новые возможности для безопасной и экологичной зимней эксплуатации транспорта. Исследователи обнаружили, что лед и иней образуют кристаллическую решетку с так называемыми ионными дефектами - заряженными участками, способными перемещаться под воздействием электрического поля. Эти дефекты являются ключом к управлению прочностью льда и его удалением с поверхностей. Когда на замерзшую поверхность подается положительный электрический заряд, отрицательные ионные дефекты притягиваются к источнику поля. Это вызывает разрушение кристаллической решетки льда, в результате чего часть льда буквально "отскакивает" от поверхности. Такой эффект позволяет удалять лед без применения внешнего тепла или химических средств ...>>

Случайная новость из Архива

CD-плеер Shanling EC Zero AKM 11.10.2025

Компания Shanling, известная своими аудиофильскими решениями, представила в октябре 2025 года новый портативный CD-плеер Shanling EC Zero AKM, который сочетает современную электронику с традиционным аналоговым шармом. Этот плеер адресован тем, кто ценит глубину, чистоту и естественность звучания, недостижимую для большинства потоковых форматов.

Основу устройства составляет собственный CD-механизм Shanling, спроектированный для максимально точного считывания информации с диска. В конструкции применен активный магнитный зажим, стабилизирующий диск во время вращения. Такое инженерное решение позволяет снизить уровень вибраций и механических шумов, обеспечивая стабильное, ровное воспроизведение. Дополнительным преимуществом стала поддержка непрерывного (gapless) воспроизведения, благодаря чему музыка звучит без малейших пауз между треками.

Звуковое ядро EC Zero AKM построено на ЦАП AKM AK4493S, одном из лучших преобразователей своего класса, обеспечивающем естественное и сбалансированное звучание. За усиление отвечают два операционных усилителя SGM8262, создающие мощное, но прозрачное звуковое давление. В балансном режиме устройство выдает 836 мВт на 32 Ом, а при одноканальном подключении - 213 мВт при тех же условиях (при внешнем питании). Низкое выходное сопротивление позволяет использовать плеер как с чувствительными внутриканальными моделями, так и с полноразмерными наушниками без искажений.

Помимо классического CD-проигрывания, устройство поддерживает режим USB DAC с разрешением до 768 кГц/32 бит и DSD512, что превращает его в полноценный внешний цифро-аналоговый преобразователь. Наличие интерфейсов 3.5 мм и 4.4 мм для наушников, коаксиального/оптического цифрового выхода и Bluetooth 5.3 с поддержкой aptX делает EC Zero AKM универсальным звеном в любой аудиосистеме.

Одним из главных достоинств новинки стала автономность. Аккумулятор емкостью 5500 мАч обеспечивает до 10 часов работы при проводном подключении и до 18 часов при беспроводном. Это позволяет использовать плеер не только дома, но и в дороге - без компромиссов в качестве звука.

Интерфейс плеера разработан с учетом эргономики: тактильный ползунок громкости обеспечивает плавное регулирование, а навигация интуитивно понятна даже для тех, кто впервые берет устройство в руки. Одной из уникальных функций стала возможность копирования треков с CD на USB-накопитель (в формате WAV, FAT32) со скоростью 1x - решение, которое совмещает традиционный носитель и цифровой архив. Для транспортировки производитель предлагает чехол из искусственной кожи (PU leather), продающийся отдельно.

Стоимость Shanling EC Zero AKM составляет $319.

Другие интересные новости:

▪ Качество сырого мяса определит рентген

▪ Тонометр работает от прикосновения

▪ Мобильные процессоры Intel Core 9-го поколения

▪ Нейтрино расскажут, почему мы существуем

▪ Полеты кальмаров

Лента новостей науки и техники, новинок электроники

 

Интересные материалы Бесплатной технической библиотеки:

▪ раздел сайта И тут появился изобретатель (ТРИЗ). Подборка статей

▪ статья Прощай, любимый город! Уходим завтра в море. Крылатое выражение

▪ статья Как арабы пишут и читают цифры? Подробный ответ

▪ статья Котовник кошачий. Легенды, выращивание, способы применения

▪ статья Устройство ветроэлектрической установки. Энциклопедия радиоэлектроники и электротехники

▪ статья Электродвигатели и их коммутационные аппараты. Общие требования. Энциклопедия радиоэлектроники и электротехники

Оставьте свой комментарий к этой статье:

Имя:


E-mail (не обязательно):


Комментарий:





Главная страница | Библиотека | Статьи | Карта сайта | Отзывы о сайте

www.diagram.com.ua

www.diagram.com.ua
2000-2025