Menu Home

Бесплатная техническая библиотека для любителей и профессионалов Бесплатная техническая библиотека


Раздел 2. Канализация электроэнергии

Воздушные линии электропередачи напряжением выше 1 кВ. Большие переходы

Бесплатная техническая библиотека

Энциклопедия радиоэлектроники и электротехники / Правила устройства электроустановок (ПУЭ)

Комментарии к статье Комментарии к статье

2.5.150. Участок большого перехода должен быть ограничен концевыми опорами (концевыми устройствами в виде бетонных якорей и др.), выделяющими большой переход в самостоятельную часть ВЛ, прочность и устойчивость которой не зависят от влияния смежных участков ВЛ.

2.5.151. В зависимости от типа крепления проводов опоры, устанавливаемые между концевыми (К) опорами (устройствами), могут быть:

1) промежуточными (П) - с креплением всех проводов на опоре с помощью поддерживающих гирлянд изоляторов;

2) анкерными (А) - с креплением всех проводов на опоре с помощью натяжных гирлянд изоляторов;

3) комбинированными (ПА) - со смешанным креплением проводов на опоре с помощью как поддерживающих, так и натяжных гирлянд изоляторов.

2.5.152. Переходные опоры, ограничивающие пролет пересечения, должны быть анкерными концевыми. Допускается применение промежуточных опор и анкерных опор облегченного типа для переходов со сталеалюминиевыми проводами или проводами из термообработанного алюминиевого сплава со стальным сердечником с сечением алюминиевой части для обоих типов проводов 120 мм2 и более или стальными канатами типа ТК в качестве проводов с сечением канатов 50 мм2 и более. При этом количество промежуточных опор между концевыми опорами должно соответствовать требованиям 2.5.153.

2.5.153. В зависимости от конкретных условий могут применяться следующие схемы переходов:

1) однопролетные на концевых опорах К-К;

2) двухпролетные с опорами К-П-К, К-ПА-К;

3) трехпролетные с опорами К-П-П-К, К-ПА-ПА-К;

4) четырехпролетные с опорами К-П-П-П-К, К-ПА-ПА-ПА-К (только для нормативной толщины стенки гололеда 15 мм и менее и длин переходных пролетов не более 1100 м);

5) многопролетные с опорами К-А...А-К;

6) при применении опор П или ПА переход должен быть разделен опорами А на участки с числом опор П или ПА на каждом участке не более двух, т. е. К-П-П-А...А-П-П-К, К-ПА-ПА-А...А-ПА-ПА-К (или не более трех по п. 4).

2.5.154. Ветровое давление на провода и тросы больших переходов через водные пространства определяется согласно 2.5.44, но с учетом следующих дополнительных требований.

1. Для перехода, состоящего из одного пролета, высота расположения приведенного центра тяжести проводов или тросов определяется по формуле

где hср1, hср2 - высота крепления тросов или средняя высота крепления проводов к изоляторам на опорах перехода, отсчитываемая от меженного уровня реки, нормального горизонта пролива, канала, водохранилища, а для пересечений ущелий, оврагов и других препятствий - от отметки земли в местах установки опор, м;

f - стрела провеса провода или троса при высшей температуре в середине пролета, м.

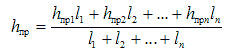
2. Для перехода, состоящего из нескольких пролетов, ветровое давление на провода или тросы определяется для высоты hпр, соответствующей средневзвешенной высоте приведенных центров тяжести проводов или тросов во всех пролетах и вычисляемой по формуле

где hпр1, hпр2, …, hпрn - высоты приведенных центров тяжести проводов или тросов над меженным уровнем реки, нормальным горизонтом пролива, канала, водохранилища в каждом из пролетов, а для пересечений ущелий, оврагов и других препятствий - над среднеарифметическим значением отметок земли в местах установки опор, м.

При этом, если пересекаемое водное пространство имеет высокий незатопляемый берег, на котором расположены как переходные, так и смежные с ними опоры, то высоты приведенных центров тяжести в пролете, смежном с переходным, отсчитываются от отметки земли в этом пролете;

l1, l2, …, ln - длины пролетов, входящих в переход, м.

Нормативное ветровое давление на провода, тросы и конструкции опор больших переходов, сооружаемых в местах, защищенных от поперечных ветров, уменьшать не допускается.

2.5.155. Переходы могут выполняться одноцепными и двухцепными.

Двухцепными рекомендуется выполнять переходы в населенной местности, в районах промышленной застройки, а также при потребности в перспективе второго перехода в ненаселенной или труднодоступной местности.

2.5.156. На одноцепных переходах для ВЛ 330 кВ и ниже рекомендуется применять треугольное расположение фаз, допускается горизонтальное расположение фаз; для ВЛ 500-750 кВ следует, как правило, применять горизонтальное расположение фаз.

2.5.157. На двухцепных переходах ВЛ до 330 кВ рекомендуется расположение проводов в трех ярусах, допускается также расположение проводов в двух ярусах. На двухцепных переходах ВЛ 500 кВ рекомендуется применение опор анкерного типа с расположением проводов в одном (горизонтальном) или в двух ярусах.

2.5.158. Расстояния между проводами, а также между проводами и тросами из условий работы в пролете должны выбираться в соответствии с 2.5.88 - 2.5.92 с учетом дополнительных требований:

1) значение коэффициента Kг в табл. 2.5.13 необходимо увеличивать на: 0,2 - при отношении нагрузок Рг.п/РI в интервале от 2 до 6,99; 0,4 - при отношении нагрузок Рг.п/РI равном 7 и более;

2) расстояния между ближайшими фазами одноцепных и двухцепных ВЛ должны также удовлетворять требованиям 2.5.159, 2.5.160.

2.5.159. Для обеспечения нормальной работы проводов в пролете в любом районе по пляске проводов, при расположении их в разных ярусах, расстояния между соседними ярусами промежуточных переходных опор высотой более 50 м и смещение по горизонтали должны быть:

Расстояния, м, не менее 7,5 8 9 11 14 18
Смещение по горизонтали, м, не менее 2 2 2,5 3,5 5 7
ВЛ натяжением, кВ 35-110 150 220 330 500 750

2.5.160. На двухцепных опорах расстояние между осями фаз разных цепей должно быть не менее указанных ниже:

Расстояние между осями фаз, м 8 9 10 12 15 19
ВЛ напряжением, кВ 35-110 150 220 330 500 750

2.5.161. На переходах с пролетами, превышающими пролеты основной линии не более чем в 1,5 раза, рекомендуется проверять целесообразность применения провода той же марки, что и на основной линии. На переходах ВЛ до 110 кВ рекомендуется проверять целесообразность применения в качестве проводов стальных канатов, если это позволяет электрический расчет проводов.

На переходах с расщепленными фазами рекомендуется рассматривать фазы с меньшим количеством проводов больших сечений с проверкой проводов на нагрев.

2.5.162. В качестве грозозащитных тросов следует применять стальные канаты и сталеалюминиевые провода по 2.5.79.

В случае использования грозозащитных тросов для организации каналов высокочастотной связи рекомендуется применение в качестве тросов проводов из термообработанного алюминиевого сплава со стальным сердечником и сталеалюминиевых проводов, а также тросов со встроенными оптическими кабелями.

2.5.163. Одиночные и расщепленные провода и тросы должны быть защищены от вибрации установкой с каждой стороны переходного пролета длиной до 500 м - одного гасителя вибрации на каждом проводе и тросе и длиной от 500 до 1500 м - не менее двух разнотипных гасителей вибрации на каждом проводе и тросе.

Защита от вибрации проводов и тросов в пролетах длиной более 1500 м, а также независимо от длины пролета для проводов диаметром более 38 мм и проводов с тяжением при среднегодовой температуре более 180 кН должна производиться по специальному проекту.

2.5.164. На переходах ВЛ должны применяться, как правило, стеклянные изоляторы.

2.5.165. Количество изоляторов в гирляндах переходных опор определяется в соответствии с гл. 1.9.

2.5.166. Поддерживающие и натяжные гирлянды изоляторов следует предусматривать с количеством цепей не менее двух с раздельным креплением к опоре. Многоцепные натяжные гирлянды должны крепиться к опоре не менее чем в двух точках.

2.5.167. Конструкция гирлянд изоляторов расщепленных фаз и крепление их к опоре должны, по возможности, обеспечивать раздельный монтаж и демонтаж каждого из проводов, входящих в расщепленную фазу.

2.5.168. Для крепления проводов и тросов к гирляндам изоляторов на переходных опорах рекомендуется применять глухие поддерживающие зажимы или поддерживающие устройства специальной конструкции (роликовые подвесы).

2.5.169. При выполнении защиты переходов ВЛ 110-750 кВ от грозовых перенапряжений необходимо руководствоваться следующим:

1) все переходы следует защищать от прямых ударов молнии тросами;

2) количество тросов должно быть не менее двух с углом защиты по отношению к крайним проводам не более 20º.

При расположении перехода за пределами длины защищаемого подхода ВЛ к РУ и подстанциям с повышенным защитным уровнем в районах по гололеду III и более, а также в районах с частой и интенсивной пляской проводов допускается угол защиты до 30º;

3) рекомендуется установка защитных аппаратов (2.5.119) на переходах с пролетами длиной выше 1000 м или с высотой опор выше 100 м;

4) горизонтальное смещение троса от центра крайней фазы должно быть не менее: 1,5 м -для ВЛ 110 кВ; 2 м - для ВЛ 150 кВ; 2,5 м - для ВЛ 220 кВ; 3,5 м - для ВЛ 330 кВ и 4 м - для ВЛ 500-750 кВ;

5) выбор расстояния между тросами производится согласно 2.5.93 и 2.5.120 п. 4.

2.5.170. Крепление тросов на всех опорах перехода должно быть выполнено при помощи изоляторов с разрушающей механической нагрузкой не менее 120 кН.

С целью уменьшения потерь электроэнергии в изолирующем тросовом креплении должно быть не менее двух изоляторов. Их количество определяется с учетом доступности местности и высоты опор.

При использовании тросов для устройства каналов высокочастотной связи или для плавки гололеда количество изоляторов, определенное по условиям обеспечения надежности каналов связи или по условиям обеспечения плавки гололеда, должно быть увеличено на два.

Изоляторы, на которых подвешен трос, должны быть шунтированы искровым промежутком, размер которого выбирается в соответствии с 2.5.122 без учета установки дополнительных изоляторов.

2.5.171. Подвеска грозозащитных тросов для защиты переходов ВЛ 35 кВ и ниже не требуется. На переходных опорах должны устанавливаться защитные аппараты. Размер ИП при использовании их в качестве защитных аппаратов рекомендуется принимать в соответствии с гл. 4.2. При увеличении количества изоляторов из-за высоты опоры электрическая прочность ИП должна быть скоординирована с электрической прочностью гирлянд.

2.5.172. Для обеспечения безопасного перемещения обслуживающего персонала по траверсам переходных опор высотой более 50 м с расположением фаз в разных ярусах наименьшее допустимое изоляционное расстояние по воздуху от токоведущих до заземленных частей опор должно быть не менее: 3,3 м - для ВЛ до 110 кВ; 3,8 м -для ВЛ 150 кВ; 4,3 м - для ВЛ 220 кВ; 5,3 м - для ВЛ 330 кВ; 6,3 м -для ВЛ 500 кВ; 7,6 м - для ВЛ 750 кВ.

2.5.173. Сопротивление заземляющих устройств опор должно выбираться в соответствии с табл. 2.5.19 и 2.5.129.

Сопротивление заземляющего устройства опор с защитными аппаратами должно быть не более 10 Ом при удельном сопротивлении земли не выше 1000 Ом·м и не более 15 Ом при более высоком удельном сопротивлении.

2.5.174. При проектировании переходов через водные пространства необходимо провести следующие расчеты по гидрологии поймы реки:

1) гидрологический расчет, устанавливающий расчетный уровень воды, уровень ледохода, распределение расхода воды между руслом и поймами и скорости течения воды в руслах и по поймам;

2) русловой расчет, устанавливающий размер отверстия перехода и глубины после размыва у опор перехода;

3) гидравлический расчет, устанавливающий уровень воды перед переходом, струенаправляющими дамбами и насыпями, высоту волн на поймах;

4) расчет нагрузок на фундаменты, находящиеся в русле и пойме реки с учетом воздействия давления льда и навалов судов.

Высота фундаментов опор, находящихся в русле и пойме реки, должна превышать уровень ледохода на 0,5 м.

Заглубление фундаментов опор переходов мелкого и глубокого заложения при возможности размыва грунта должно быть не менее 2,5 м (считая от отметки грунта после размыва). Глубина погружения свай в грунт при свайном основании должна быть не менее 4 м от уровня размыва.

2.5.175. Промежуточные и комбинированные опоры (П и ПА) с креплением проводов с помощью поддерживающих гирлянд изоляторов должны рассчитываться в аварийном режиме по первой группе предельных состояний на следующие условия:

1) оборваны одиночный провод или все провода одной фазы одного пролета, тросы не оборваны (одноцепные опоры);

2) оборваны провода двух фаз одного пролета, тросы не оборваны (двухцепные опоры, а также одноцепные со сталеалюминиевыми проводами и проводами из термообработанного алюминиевого сплава со стальным сердечником сечением алюминиевой части для обоих типов проводов до 150 мм2);

3) оборван один трос одного пролета (при расщеплении троса - все его составляющие), провода независимо от марок и сечений не оборваны.

В расчетах опор расчетная горизонтальная статическая нагрузка от проводов принимается равной:

а) при нерасщепленной фазе и креплении ее в глухом зажиме - редуцированному тяжению, возникающему при обрыве фазы. При этом принимаются сочетания условий согласно 2.5.72 п.3.

При расщепленной фазе и креплении ее в глухих зажимах значения для нерасщепленных фаз умножаются на дополнительные коэффициенты: 0,8 - при расщеплении на 2 провода; 0,7 - на три провода; 0,6 - на четыре провода и 0,5 - на пять и более;

б) при нерасщепленной и расщепленной фазах провода и креплении их в поддерживающем устройстве специальной конструкции - условной нагрузке, равной 25 кН при одном проводе в фазе; 40 кН при двух проводах в фазе; 60 кН при трех и более проводах в фазе.

Расчетная нагрузка от троса, закрепленного в глухом зажиме, принимается равной наибольшему расчетному горизонтальному тяжению троса при сочетании условий, указанных в 2.5.72 п. 3.

При этом для тросов, расщепленных на две составляющие, тяжение следует умножать на 0,8.

Расчетная нагрузка от троса, закрепленного в поддерживающем устройстве специальной конструкции, принимается равной 40 кН. Нагрузки прикладываются в местах крепления проводов тех фаз или того троса, при обрыве которых усилия в рассчитываемых элементах получаются наибольшими.

2.5.176. Опоры анкерного типа должны рассчитываться в аварийном режиме по первой группе предельных состояний на обрыв тех фаз или того троса, при обрыве которых усилия в рассматриваемых элементах получаются наибольшими. Расчет производится на следующие условия:

1) оборваны провод или провода одной фазы одного пролета, тросы не оборваны (одноцепные опоры со сталеалюминиевыми проводами и проводами из термообработанного алюминиевого сплава со стальным сердечником сечением алюминиевой части для обоих типов проводов 185 мм2 и более, а также со стальными канатами типа ТК всех сечений, используемыми в качестве проводов);

2) оборваны провода двух фаз одного пролета, тросы не оборваны (двухцепные опоры, а также одноцепные опоры со сталеалюминиевыми проводами и проводами из термообработанного алюминиевого сплава со стальным сердечником сечением алюминиевой части для обоих типов проводов до 150 мм2);

3) оборван один трос одного пролета (при расщеплении троса - все его составляющие), провода независимо от марок и сечений не оборваны.

Расчетные нагрузки от проводов и тросов принимаются равными наибольшему расчетному горизонтальному тяжению провода или троса при сочетании условий согласно 2.5.72 пп. 2 и 3.

При определении усилий в элементах опоры учитываются условные нагрузки или неуравновешенные тяжения, возникающие при обрывах тех проводов или тросов, при которых эти усилия имеют наибольшие значения.

2.5.177. Опоры большого перехода должны иметь дневную маркировку (окраску) и сигнальное освещение в соответствии с 2.5.292.

Смотрите другие статьи раздела Правила устройства электроустановок (ПУЭ).

Читайте и пишите полезные комментарии к этой статье.

<< Назад

Последние новости науки и техники, новинки электроники:

Дети, растущие рядом с природой, обретают крепкие кости 02.03.2026

Влияние окружающей среды на здоровье человека становится все более очевидным, особенно в детском возрасте. Новое исследование, опубликованное в журнале JAMA Network Open, показывает, что близость к природе напрямую связана с крепостью костей у детей. Ученые установили, что у детей, чьи дома окружены природными территориями в радиусе 1000 метров на 25% больше обычного, риск развития крайне низкой плотности костей снижается на 65%. Для проведения исследования были проанализированы данные более 300 детей, проживающих в городских, пригородных и сельских районах Фландрии в Бельгии. Плотность костной ткани у детей в возрасте от четырех до шести лет оценивалась с помощью ультразвуковых методов. Такой подход позволил безопасно и точно измерить состояние костей на ранних этапах формирования скелета. При анализе учитывались ключевые факторы, влияющие на рост и развитие детей: возраст, вес, рост, этническая принадлежность и уровень образования матери. На основании этих параметров исследоват ...>>

Самовосстанавливающаяся инфраструктура будущего 02.03.2026

Современные мосты и бетонные конструкции по всему миру сталкиваются с проблемой устаревания и износа. Многие сооружения, построенные до 1980-х годов, постепенно теряют свою несущую способность, что требует дорогого ремонта или полной замены. Недавние разработки ученых из Швейцарских федеральных лабораторий материаловедения и технологий (Empa) предлагают инновационное решение - систему укрепления бетонных конструкций с помощью "умной стали", способной самостоятельно устранять трещины и повреждения. В основе новой технологии лежит арматура из сплава на основе железа с эффектом памяти формы (Fe-SMA). Этот материал обладает уникальным свойством: при нагревании до 190-200 °C стержни стремятся вернуться к своей первоначальной конфигурации. В бетонной конструкции это создает внутреннее напряжение, которое затягивает трещины и выравнивает деформированные элементы, существенно повышая прочность и долговечность сооружений. Актуальность разработки объясняется критическим состоянием инфрастр ...>>

Поцелуи полезны для здоровья 01.03.2026

Вопрос о том, как социальные связи и близость с партнером отражаются на здоровье человека, привлекает внимание не только психологов, но и специалистов в области микробиологии. Новое исследование показывает, что совместное проживание с любимым человеком может оказывать значительное влияние на микробиом кишечника и общее самочувствие. Доктор Наоми Миддлтон, клинический психологи и эксперт по здоровью кишечника, объяснила, что все аспекты совместной жизни - поцелуи, совместное питание, физическая близость и даже просто пребывание рядом - тесно связаны с поддержанием сбалансированной кишечной микрофлоры. Она подчеркивает, что здоровье экосистемы кишечника во многом определяется социальными взаимодействиями и повседневной близостью с другими людьми. По словам Миддлтон, длительное совместное пребывание с партнером может способствовать увеличению микробного разнообразия в кишечнике, а также снижать воспалительные процессы, связанные со стрессом. Такой эффект обусловлен тем, что микробио ...>>

Случайная новость из Архива

Полноцветный микродисплей разрешением OLED WUXGA 07.11.2021

Компания eMagin, специализирующаяся на разработке, проектировании и производстве активноматричных микродисплеев OLED высокого разрешения для гарнитур AR и VR и других применений, когда дисплей расположен близко к глазам, представила прототип разрешением WUXGA (1920 х 1200 пикселей). В нем используется технология Direct Patterning Display (dPd), позволившая получить рекордно высокую яркость 10 000 кд/м2. По словам производителя, это самый яркий в мире полноцветный микродисплей OLED высокого разрешения.

"Это исторический момент для eMagin и отрасли, и это наше самое большое достижение на сегодняшний день в развитии нашей собственной технологии dPd, - так охарактеризовал прототип генеральный директор eMagin Эндрю Г. Скалли (Andrew G. Sculley). - Применяя прямое формирование структур к дисплеям WUXGA, мы достигли максимальной яркости более 10 000 кд/м2 и насыщенные цвета RGB. Это 20-кратное улучшение по сравнению с нашими стандартными микродисплеями XL на белых OLED с цветным фильтром и с в три-четыре раза больше, чем у наших новых микродисплеев XLE, и мы считаем, что это самый яркий полноцветный микродисплей OLED высокого разрешения в мире. Мы работаем с компанией-заказчиком первого эшелона над этой разработкой, включая поиск путей производства в промышленных масштабах.

На иллюстрации слева показано строение микродисплея на белых OLED с цветным фильтром, справа - строение микродисплея, в котором используется технология dPd.

"Яркость полноцветного изображения 10 000 кд/м2 - важная веха на нашем пути к созданию полноцветных дисплеев с яркостью более 28 000 кд/м2 к середине 2023 года, - добавил Скалли. - Для сравнения: типичный монитор ноутбука обеспечивает яркость 250 кд/м2, а качественный смартфон - всего 1000 кд/м2. Кроме того, наши дисплеи dPd содержат более 2500 индивидуально адресуемых пикселей на дюйм (ppi), что обеспечивает замечательную четкость и разрешение по сравнению с типичными экранами ноутбуков с разрешением 330 пикселей на дюйм и экранами OLED-смартфонов с разрешением 600 пикселей на дюйм".

Другие интересные новости:

▪ Разработан первый в мире оптический изолятор

▪ Видеокарты GeForce RTX 2080 и RTX 2080 Ti Gallardo with customized LED Lights

▪ От хронической боли поможет нейростимуляция

▪ Мате значительно повышает риск рака

▪ Жизнь под колпаком

Лента новостей науки и техники, новинок электроники

 

Интересные материалы Бесплатной технической библиотеки:

▪ раздел сайта Сварочное оборудование. Подборка статей

▪ статья Тонкомпенсация. Искусство аудио

▪ статья Зачем группа Van Halen в своем райдере требовала предоставить M&M's, но убрать все коричневые конфеты? Подробный ответ

▪ статья Микроавтомобиль Краб. Личный транспорт

▪ статья Обработка и отделка овчин после высушивания. Простые рецепты и советы

▪ статья Двухтональная электронная сирена. Энциклопедия радиоэлектроники и электротехники

Оставьте свой комментарий к этой статье:

Имя:


E-mail (не обязательно):


Комментарий:





Главная страница | Библиотека | Статьи | Карта сайта | Отзывы о сайте

www.diagram.com.ua

www.diagram.com.ua
2000-2026