Бесплатная техническая библиотека
Две антенны на одном кабеле. Энциклопедия радиоэлектроники и электротехники

Энциклопедия радиоэлектроники и электротехники / Антенны телевизионные
Комментарии к статье
Нередко в практике возникает проблема объединения двух антенн разных каналов на один фидер. Для этого можно применить типовую схему, изображенную на рис.1.
Puc. 1
Катушки L1...L5 можно намотать эмалированным проводом диаметром 0,5...0,6 мм на одном каркасе, виток к витку. При этом необходимо учесть, что расстояние между торцами соседних катушек должно быть не менее 8 мм. Можно применить и бескаркасную намотку.
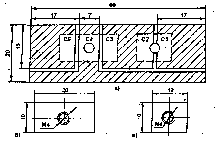
Если в распоряжении нет конденсаторов по 12 и 20 пФ, можно обойтись фольгированным гетинаксом или текстолитом. По рис. 2а вырезаются контактные площадки. Прорези имеют ширину 1 мм (по толщине резака). По рис.26,в вырезают пластины из алюминия, дюраля или латуни толщиной 1,5...2,0 мм.
Puc. 2
Эти пластины накладывают со стороны фольги на фольгированный материал, подложив предварительно прокладки из полиэтилена толщиной 0,1 мм. Годится полиэтилен от обычного полиэтиленового пакета. На рис. 2а пунктирными линиями обозначено расположение пластин на фольге. Пластина по рис.26 образует конденсаторы C3, С4, С5, пластина (рис.2в) - конденсаторы С1 и С2. Остается припаять катушки L1...L5 в соответствии со схемой. Под винты М4 для этой цели нужно подложить шайбы из луженой жести, к которым удобно припаять катушки. Для защиты от атмосферной влаги надо покрыть всю конструкцию лаком или поместить в герметичный корпус. Отверстия под винты М4 со стороны фольги надо слегка раззенковать, чтобы не произошло замыкания конденсаторов через винты крепления пластин.
Если у радиолюбителя возникнет необходимость изготовить таким же способом конденсаторы для других целей, то нужно руководствоваться формулой:
C=(8,85*10-3*ES)/d
где С - емкость конденсатора в пФ;
S - площадь пластины конденсатора в мм2;
d - толщина слоя диэлектрика в мм;
E - диэлектрическая проницаемость диэлектрика.
Puc. 3
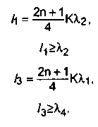
Есть и другой вариант соединения приемных TV-антенн на один фидер (рис.3). А1 - место подключения активного вибратора антенны, настроенной на волну Х1. Вибратор второй антенны, настроенной на волну L2, подключают к точкам А2. l2, l4 - симметрирующие четвертьволновые отрезки кабеля, длина которых определяется по формуле:
l=К(L/4),
где l - длина симметрирующего отрезка;
L - длина волны;
К - коэффициент укорочения кабеля.
Для кабелей с полиэтиленовой изоляцией К=0,67.
Обе антенны подсоединяют к общему фидеру на расстояниях от вибраторов, которые определяются из системы уравнений:

где n - любое целое число.
Здесь положены в основу следующие принципы:
- четвертьволновой отрезок линии, нагруженный на сопротивление меньше волнового, трансформирует его в сопротивление больше волнового;
- если к линии подключено сопротивление значительно больше волнового, оно практически не нагружает линию.
Автор: А.Жердев, г.Гомель; Публикация: cxem.net
Смотрите другие статьи раздела Антенны телевизионные.
Читайте и пишите полезные комментарии к этой статье.
<< Назад
Последние новости науки и техники, новинки электроники:
Кислотность океана разрушает зубы акул
03.10.2025
Мировые океаны выполняют важнейшую функцию - они поглощают около трети углекислого газа, выбрасываемого в атмосферу. Это помогает замедлять темпы глобального потепления, но имеет и обратную сторону. Растворяясь в воде, CO2 образует угольную кислоту, которая повышает концентрацию водородных ионов и приводит к снижению pH. Вода становится более кислой, а последствия этого процесса уже заметны для морских экосистем.
Средний показатель кислотности океана сейчас равен примерно 8,1, тогда как еще недавно за условную норму брали значение 8,2. По прогнозам, к 2300 году уровень может упасть до 7,3 - это сделает океан почти в десять раз кислее нынешнего состояния. Для обитателей морей подобные изменения означают не просто сдвиг химического равновесия, а реальную угрозу физиологическим процессам, начиная от формирования раковин у моллюсков и заканчивая охотничьим поведением акул.
Чтобы выяснить, как именно кислотная среда отражается на зубах акул, группа немецких исследователей провела эксп ...>>
Почтовый космический корабль Arc
03.10.2025
Космические технологии становятся частью инфраструктуры, способной повлиять на логистику, медицину и даже военную сферу. Идея использовать орбиту как глобальный склад для срочных поставок звучала еще недавно как научная фантастика, но стартап Inversion пытается превратить ее в практическое решение.
Компания Inversion появилась в начале 2021 года благодаря Джастину Фиаскетти и Остину Бриггсу, которые на тот момент были студентами Бостонского университета. Их замысел состоял в том, чтобы сделать возможной доставку грузов не только через спутниковые сети данных, но и в буквальном смысле - физических предметов. В основе лежит простая мысль: если космос обеспечивает доступ к любой точке Земли, то и грузы должны перемещаться тем же маршрутом.
Уже за три года работы команда из 25 специалистов успела построить демонстрационный аппарат "Ray". Его запуск состоялся в рамках миссии SpaceX Transporter-12. Устройство весом 90 килограммов проверяло ключевые технологии Inversion, включая двухком ...>>
Лазерное обогащение урана
02.10.2025
Ядерная энергия остается одним из ключевых источников стабильного электричества, особенно для стран с растущими потребностями в энергоснабжении. Однако обеспечение бесперебойных поставок топлива для атомных станций требует современных технологий обогащения урана, которые одновременно эффективны и безопасны. Американская компания Global Laser Enrichment (GLE) делает значительный шаг в этом направлении, завершив масштабное тестирование лазерной технологии обогащения урана.
Демонстрационная программа была проведена на объекте в Уилмингтоне, Северная Каролина. Тестирование технологии SILEX (Separation of Isotopes by Laser EXcitation), разработанной австралийской Silex Systems, стартовало в мае 2025 года и продлится до конца года. В ходе экспериментов компания планирует получить сотни фунтов низкообогащенного урана (LEU), который может быть использован в качестве топлива для атомных электростанций.
GLE была создана в 2007 году для коммерциализации лазерных методов обогащения урана в С ...>>
Случайная новость из Архива Управление движением бактерий с помощью магнитного поля
09.07.2024
Управление движением микроорганизмов представляет собой важную задачу в области биотехнологий и медицины. Финские физики сделали значительный шаг вперед, используя магнитное поле для направления движения бактерий Bacillus subtilis. Это открытие может стать основой для создания программируемых материалов и управления живыми организмами на микроскопическом уровне.
Бактерии Bacillus subtilis, сами по себе не чувствительные к магнитному полю, смогли двигаться в заданном направлении благодаря введению в среду супермагнитных наночастиц. Эти наночастицы создавали условия, в которых бактерии не могли двигаться против направления магнитного поля, так как это было энергетически невыгодно.
Ученые разработали специальную среду, совместимую с живыми организмами, которая содержала эти супермагнитные наночастицы. Бактерии, помещенные в эту среду, подвергались воздействию магнитного поля и начинали двигаться в нужном направлении. Таким образом, было доказано, что внешние магнитные поля могут эффективно управлять движением микроорганизмов.
Это исследование показывает, что магнитные поля, не взаимодействующие напрямую с живыми организмами, могут существенно влиять на их передвижение и жизнедеятельность. Такие технологии открывают новые возможности в разработке сложных биосистем, где управляемость движением микроорганизмов является ключевым аспектом.
Одним из потенциальных применений таких технологий может быть создание программируемых материалов, где микроорганизмы выполняют роль активных элементов. Например, бактерии могут быть использованы для доставки лекарств в организме, что повысит точность и эффективность лечения.
Кроме того, управление движением бактерий при помощи магнитного поля может быть использовано в биореакторах для более эффективного производства биопродуктов. Контролируемое движение бактерий позволит оптимизировать процессы ферментации и повысить выход продукции.
В будущем, такие исследования могут привести к созданию новых биомедицинских устройств и систем, которые будут основаны на управляемом движении микроорганизмов. Это открывает перспективы для разработок в области наномедицины, где точное управление на микроскопическом уровне играет ключевую роль.
Использование магнитных полей для управления движением бактерий Bacillus subtilis демонстрирует значительный потенциал в различных областях науки и техники. Это открытие не только расширяет наше понимание биофизики, но и предлагает новые пути для инновационных разработок в биотехнологиях и медицине.
|
Другие интересные новости:
▪ Континенты когда-нибудь сольются
▪ Добыча платины на астероидах
▪ Города станут чище
▪ Защита шмелей от пестицидов
▪ Электронная книга с цветным экраном PocketBook InkPad Color
Лента новостей науки и техники, новинок электроники
Интересные материалы Бесплатной технической библиотеки:
▪ раздел сайта Любителям путешествовать - советы туристу. Подборка статей
▪ статья Око государево. Крылатое выражение
▪ статья Что такое падающие звезды? Подробный ответ
▪ статья Сосна лесная. Легенды, выращивание, способы применения
▪ статья Цифровой мультиметр измеряет температуру. Энциклопедия радиоэлектроники и электротехники
▪ статья Измерить параметры антенны? Совсем не сложно! Энциклопедия радиоэлектроники и электротехники
Оставьте свой комментарий к этой статье:
Главная страница | Библиотека | Статьи | Карта сайта | Отзывы о сайте

www.diagram.com.ua
2000-2025