Бесплатная техническая библиотека
Обзор рынка металлоискателей и металлодетекторов. Энциклопедия радиоэлектроники и электротехники

Энциклопедия радиоэлектроники и электротехники / Металлоискатели
Комментарии к статье
Металлоискатели начального уровня
К таким приборам начального уровня можно отнести металлоискатели нескольких известных производителей.
Производства России:
- РМ (Резонансный металлоискатель) от фирмы ООО "Техносфера";
- РМД (Резонансный металлоискатель с дискриминацией) от фирмы ООО "Техносфера";
- Юниор фирмы АКА.
Производства США:
- АСЕ-150 и АСЕ-250 фирмы Garrett;
- Compadre и Silver uMax от Tesoro Electronics, Inc.;
- металлодетекторы Fisher 1212-Х и 1225- X; Производства Великобритании
- С. Scope CS220/330/660, CS1 M и CS2 MP;
- Prizm (часть линейки) фирмы White's Electronics. Производства Китая
- MD ЗОЮ, 5006, 5008 DTS. Производства Австралии
- Minelab Musketeer Advantage.
Большинство металлодетекторов имеют схожие характеристики и примерно одинаковую глубину поиска (табл. 3.1):
- 20-25 см на небольшой по размерам объект типа советского пятака;
- 80-100 см - на крупные цели.
Они представляют собой типичные "монетники", то есть как раз и предназначены для поиска небольших по величине объектов, например, монет и украшений.
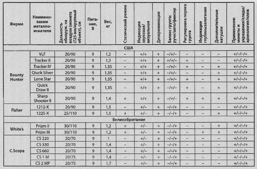
Таблица 3.1. Сравнение характеристик металлоискателей для начинающих пользователей
(нажмите для увеличения)
(нажмите для увеличения)
Есть и приятные исключения, но они характеризуются, как правило, большими размерами поисковых катушек (например у АКА, MD и Minelab'a), что определяет их большую универсальность.
Стоит отметить несколько наиболее привлекательных моделей, "выбивающихся" из общего ряда, и прекрасно зарекомендовавших себя приборов:
- Во-первых - это Minelab Musketeer Advantage за счет удачной конструкции катушки.
- Во-вторых - это АКА "Юниор", привлекательный тем, что по функциональности соперничает с зарубежными металлодетекторами, стоящими гораздо дороже.
- В-третьих - Garrett АСЕ 250 за счет простоты эксплуатации и отличного соотношением цена/качество/функциональность.
- В-четвертых - White' s Prizm II и White' s Prizrn III, которые хоть и дороже, но и глубина поиска у них чуть больше (на 2-5 см для небольших находок с катушками в стандартных комплектациях).
- В-пятых - Tesoro Silver uMax отличается своей удачной эргономикой.
- В-шестых - MD 5008 DTS за счет низкой стоимости с увеличенной катушкой, хорошо подходящий для поиска средних и крупных металлических (железных) объектов на большой глубине без покупки специализированного прибора.
Металлоискатели начального уровня российского производства
Металлоискатель РМ (Резонансный металлоискатель) и металлодетектор РМД (Резонансный металлоискатель с дискриминацией) - простейшие устройства с небольшой глубиной поиска. Отличие этих приборов друг от друга видно из названия, оно состоит в функции дискриминации, т. е. способности реагировать на одни типы объектов, например, только на цветные металлы, и игнорировать другие.
У обоих приборов отсутствует режим статического поиска (в статическом режиме звуковая индикация прибора срабатывает независимо от того, перемещается ли катушка над металлическим объектом или нет. Основным режимом поиска является динамический поиск. Суть динамического режима заключается в том, что детектор обнаруживает предметы только при движении датчика прибора.
Рассмотрим имеемые переключатели
РМ имеет единственный регулятор "Включение/чувствительность", у РМД добавлен переключатель "Все металлы/ цветной металл" и регулятор уровня дискриминации.
Стоимость таких приборов - приблизительно $150 и $250, соответственно.
Металлоискатели среднего уровня для начинающих российского производства
АКА 7245 "Юниор" - одна из наиболее популярных моделей среди начинающих поисковиков, которую по возможностям можно причислить к более высокому классу.
Он обладает прекрасной глубиной поиска, функцией качественной ручной компенсации влияния грунта (или балансировкой). Суть этой важной функции - уменьшить влияние минерализации грунта. Без правильно проведенной балансировки металлоискатель не обеспечит оптимальную глубину поиска и правильное определение типа объекта.
Некоторые приборы способны:
- или автоматически настраиваться под условия грунта;
- или изначально настроены на его некий усредненный тип.
Среди важных регулировок и режимов следует отметить:
- наличие регуляторов усиления и звукового порога (минимального уровня сигнала от цели, при котором металлодетектор сигнализирует о ее наличии);
- различные режимами дискриминации;
- динамический и статический режим поиска;
- трехтональная звуковая индикация на различные типы объектов.
Остановимся на звуковой индикации подробнее:
- низкий тон свидетельствует об обнаружении небольших по размерам ферромагнитных объектов (гвозди, проволока, осколки и т. д.);
- средний тон оповещает о наличии под датчиком прибора фольгообразных предметов;
- высокий тон свидетельствует об обнаружении объектов из цветных металлов, либо крупных листообразных объектов из железа.
Недостатками прибора являются: большой вес устройства; специфическая развесовка "катушка - электронный блок - аккумулятор", требующая некоторого привыкания.
Стоимость этого металлодетектора составляет около $400.
Металлоискатели среднего уровня китайского производства
Металлоискатель MD-3010 предназначен для обнаружения черных, цветных металлов, находящихся в грунте на небольших глубинах.
Идентификация обнаруженной цели указывается на дисплее иконкой. Дисплей имеет 8 секций визуализации обнаруженных объектов: гвозди, пробки, монеты, золото, кольца и т. д. Прибор дублирует обнаруженную цель одним из 8 звуковых сигналов. Следует помнить, что, как правило, иконка на дисплее не имеет ничего общего с реальной находкой, а используется как ориентир на похожие по величине объекты.
LCD дисплей имеет посекционный указатель глубины залегания обнаруженной цели. Прибор автоматически регулирует баланс грунта. Имеет расширенные возможности по дискриминации (исключению) нежелательных объектов.
Наличие дискриминации характерно для приборов с цифровой обработкой. Регулируется также чувствительность и громкость встроенного динамика.
Цена - $300.
Отличие аналоговых металлоискателей MD 5006 и 5008 DTS сводится:
- у 5008 DTS имеется выносной батарейный блок (на пояс), который существенно увеличивает время автономной работы;
- у 5008 DTS есть дополнительная катушка увеличенного диаметра, позволяющая производить глубинный поиск (по заявлению производителя - до 3,5 м на крупные предметы).
Следует при этом сказать, что в режиме глубинного поиска (с такой катушкой увеличенного диаметра) ухудшается дискриминация металлов. Это характерно для так называемых глубинных металлодетекторов (также как и при использовании катушек большого диаметра на "неглубинных" приборах).
- В остальном, они идентичны, у каждого имеются в наличии:
- переключатель, отвечающий за режимы дискриминации/отстройки от влияния грунта;
- потенциометры настройки звукового порога, баланса грунта, дискриминации и чувствительности (усиления);
- стрелочный индикатор с зонами для цветных и черных металлов.
Звуковая индикация - однотональная.
Цена - $300 - $400.
Металлоискатели среднего уровня производства США
Металлодетекторы серии АСЕ фирмы Garrett используют микропроцессорную технологию такую же, как и более сложные модели, но со значительными упрощениями. Это сказывается на времени "привыкания" и простоте настройки.
Garrett АСЕ 150 самая простая модель в линейки компании. Она снабжена:
- графическим идентификатором обнаруженного объекта, разделенного на 5 сегментов;
- трехтональной звуковой индикацией (низкий звук на железо, более высокий - на объекты из цветных металлов и "звонок колокольчика" сигнализирует о нахождении "монетовидной" цели);
- индикатором глубины залегания цели;
- тремя режимами дискриминации;
- кнопкой изменения чувствительности (4 сегмента).
Металлоискатель ACE 250, в отличие от ACE 150, оснащен режимом точного обнаружения цели (pinpoint или статический режим). Также увеличено количество сегментов графической шкалы (до 12), чувствительности (8), более точно определяется глубина, количество режимов дискриминации увеличено до 5 с возможностью быстрого создания собственной маски.
Оба прибора (ACE 150 и ACE 250) могут быть оснащены дополнительными датчиками (катушками) увеличенного размера. Это делает их применение более универсальным (например, с катушкой маленького диаметра удобно проводить поиск в сильно замусоренных железом местах. Ведь в этом случае лучше "различаются" близкорасположенные цели, например, железный гвоздь и монета, а большего размера - хорошо подходит для поиска на бОльшей глубине).
ACE 250 - одна из наиболее популярных моделей в среде начинающих поисковиков за счет прекрасного соотношения цена/качество.
Цена, ориентировочно, $200 - $300 для ACE 150 и ACE 250, соответственно.
Рассмотрим продукцию другой североамериканской фирмы, Tesoro Electronics, Inc.
Вообще, фирма Tesoro Electronics, Inc выпускает очень легкие приборы (рассмотренные ниже модели имеют вес около 1 кг) и с пожизненной гарантией.
К бюджетным моделям Tesoro можно смело отнести Compadre и Siver
Max.
Compadre спроектирован по принципу "лучше меньше, да лучше". Он работает только в динамическом режиме и автоматически отстраивается от грунта. Имеет единственный регулятор уровня дискриминации/выключатель с широким диапазоном настроек.
Стоимость составляет $300.
Silver μMax использует уже микропроцессорную технологию, имеет три органа управления:
- трехпозиционный переключатель режимов работы "все металлы/дискриминация/тест батареи";
- регулятор уровня дискриминации;
- регулятор чувствительности/выключатель.
Также используется катушка большего диаметра (использование других, сменных катушек невозможно). Этот металлоискатель довольно высоко оцененный пользователями.
Стоимость составляет $300 - $400.
Рассмотрим несколько приборов фирмы Fisher.
Металлоискатель Fisher 1212-Х - наиболее простой прибор в линейке фирмы. Он имеет единственный орган управления - регулятор уровня дискриминации/выключатель, осуществляющий полнодиапазонную дискриминацию - от реакции на все металлы до максимального уровня. Катушка несменная, статический режим отсутствует.
Стоимость $400.
Металлоискатель Fisher 1225-Х более совершенный. В нем уже присутствует статический режим обнаружения, регулятор чувствительности и теста батарей, а также возможность использования нескольких поисковых элементов.
Стоимость $500.
Теперь рассмотрим металлоискатели североамериканской фирмы Bounty Hunter.
Металлоискатели Bounty Hunter уже давно широко распространены и обсуждаются на форумах. При взгляде на дизайн этих приборов не покидает ощущение "игрушечности", многие пользователи жалуются на хлипкость конструкции. Но по заявленным характеристикам они честно отрабатывают вложенные в них деньги.
Среди присутствующих на нашем рынке моделей из данной категории можно выделить несколько самых популярных:
- VLF - простейший прибор, работающий в динамическом режиме, имеющий регуляторы дискриминации и чувствительности и оснащенный стрелочным индикатором. Стоимость $250.
- Tracker II - отличается возможностью автоматического и ручного баланса грунта, имеет три схемы дискриминации и двухтональную звуковую индикацию. Стоимость $200.
- Tracker IV - простой в освоении и использовании динамический металлоискатель стандартного для Bounty Hunter дизайна. Имеет две схемы дискриминации, одна из которых включена постоянно, а другая включается при оперативной проверке обнаруженного объекта (диапазонная дискриминация). Отстройка от грунта -- автоматическая без потери чувствительности. Стрелочный анализатор цели позволяет получить условную информацию об обнаруженном металлическом предмете в зависимости от его проводимости. Регулируется звуковой порог и тональность сигнала (чувствительность). Стоимость $250.
- Quick Silver - полностью цифровой прибор с тремя схемами дискриминации, автоматической отстройкой от грунта без потери чувствительности, ЖК-дисплей с 4-х диапазонным цифровым идентификатором, который позволяет получить информацию об вероятном обнаруженном металлическом предмете и трехтональная звуковая индикация. Стоимость $250.
- Quick Silver Lone Star - современный металлоискатель, обладает 6-ти диапазонным цифровым идентификатором (монеты, золото, гвозди, мусор и т. д.) и цифровым индикатором режимов дискриминации. Остальные параметры - как у предыдущих моделей. Стоимость -$350.
- Quick Draw II - имеет уже 5 режимов дискриминации и цифровым идентификатором расширенного диапазона. Но, к сожалению, статический режим отсутствует. Стоимость - $400.
- Sharp Shooter II - наиболее совершенный в бюджетном секторе. Помимо расширенных по сравнению с предыдущими моделями основными функциями (6 схем дискриминации, измерение глубины залегания, девяти- сегментный идентификатор цели) наконец-то появился режим статического поиска. Стоимость - $500.
К сожалению, все приборы, несмотря на серьезные функциональные отличия, имеют примерно одинаковую чувствительность (приблизительно 20-25 см на небольшую монету).
Металлоискатели начального уровня производства Австралии
Металлодетектор Minelab Musketeer Advantage создан специально для поиска монет, кладов в заброшенных домах, подвалах и на чердаках, потерянных украшений на пляже. Он отличается надежностью, неприхотливостью простотой в работе, оснащен множеством необходимых функций.
Настраивается чувствительность, имеется ручная и автоматическая настройка на грунт, присутствует регулятор дискриминации и функция точного местонахождения цели (pinpoint).
Musketeer может комплектоваться 10-ти или 8-дюймовой поисковыми катушками DoubleD, которые имеют более широкую зону охвата по сравнению с обычными концентрическими датчиками.
Катушки DoubleD прекрасно зарекомендовали себя только на малозамусоренных участках, так как при такой технологии хуже разделяются близкорасположенные объекты за счет более широкой диаграммы направленности.
Стоимость этого прибора - до $350.
Металлоискатели начального и среднего уровня производства Великобритании
Линейка микропроцессорных металлоискателей Prizm фирмы White's Electronics фактически охватывает категории приборов начального и среднего уровня. Рассмотрим для примера модели Prizm II и Prizm III.
Индикация настроек и типа обнаруженного объекта осуществляется на ЖК-дисплее. Все объекты поиска условно разделены на 8 типов, которые при поиске отмечаются курсором. При настройке дискриминации можно последовательно запрещать реакцию на объекты первых пяти категорий, начиная с железа.
Приборы могут работать как в динамическом, так и в режиме точного обнаружения в котором можно производить поиск. Имеется регулировка чувствительности. Помимо всего прочего, в модели Prizm III присутствует индикатор глубины залегания объекта.
Стоимость Prizm II составляет $400, a Prizm III-$450.
Металлоискатели C.Scope CS220/330 помимо довольно оригинальной конструкции ("эргономичной", как утверждает производитель) и низкой цены (менее $350.) могут похвастаться регулятором чувствительности и дискриминатором, а 330-я еще и кнопкой настройки/отсечения железного мусора. Статический режим отсутствует. Катушка несменная.
Металлоискатели CS660, CS1 М, CS2 MP практически идентичные предыдущим модели, но в более привычных корпусах. Отличия - катушки увеличенного диаметра (20, 20 и 25 см, соответственно). Имеются выключатель/регулятор чувствительности, дискриминации, у модели CS660 имеется кнопка сброса настройки (перенастройки), у CS2 MP - режим максимально глубокого поиска при установке дискриминатора "Все металлы". Стоимость CS660 - $300, CS1 М - $350, CS1 М - $400, соответственно.
Автор: Дубровский С.Л.
Смотрите другие статьи раздела Металлоискатели.
Читайте и пишите полезные комментарии к этой статье.
<< Назад
Последние новости науки и техники, новинки электроники:
Польза белкового завтрака
14.01.2026
Правильное питание по утрам играет ключевую роль в поддержании здоровья и контроле веса. Многочисленные исследования подтверждают, что состав завтрака может влиять на аппетит в течение всего дня и качество употребляемой пищи. Австралийские ученые провели масштабный эксперимент, который показал, что употребление белковой пищи с утра помогает дольше чувствовать сытость и предотвращает переедание.
В исследовании участвовали более 9 тысяч человек среднего возраста 46 лет. В период с 2011 по 2012 год специалисты анализировали рационы респондентов, оценивая долю основных макронутриентов. В среднем участники потребляли 43% углеводов, 31% жиров, 18% белков, 2% клетчатки и 4% алкоголя. Такой рацион позволил ученым проследить взаимосвязь между утренним приемом пищи и пищевым поведением в течение дня.
Выяснилось, что участники, чей завтрак содержал недостаточное количество белка, ощущали повышенный аппетит в течение дня. Они ели больше, чем необходимо, и часто выбирали продукты с высоким со ...>>
Технология SmartPower HDR
14.01.2026
Ноутбуки стремительно развиваются в плане графики и мультимедийных возможностей, но яркие дисплеи с высоким динамическим диапазоном (HDR) часто становятся серьезной нагрузкой для аккумуляторов. Длительная работа с видео высокого качества или играми в HDR приводит к быстрой разрядке батареи, что ограничивает мобильность пользователей и снижает комфорт работы. Решить эту проблему призвана новая технология SmartPower HDR, разработанная совместно компаниями Samsung Display и Intel.
Суть технологии заключается в динамическом управлении напряжением OLED-панелей. Чипсет ноутбука в реальном времени анализирует пиковую яркость каждого кадра и передает эти данные контроллеру дисплея, который оптимизирует подачу напряжения в зависимости от количества активных пикселей. В отличие от традиционных режимов HDR, где яркость часто фиксируется на максимальном уровне, SmartPower HDR адаптируется к конкретному контенту, что снижает энергопотребление без потери качества изображения.
Технология позвол ...>>
Недосып существенно сокращает жизнь
13.01.2026
Сон является одной из самых фундаментальных потребностей человека. Он влияет на обмен веществ, работу сердца и мозга, иммунитет и общее самочувствие. Современный ритм жизни часто заставляет людей жертвовать сном ради работы, учебы или развлечений, но ученые предупреждают: регулярный недосып может иметь далеко идущие последствия для здоровья и долголетия.
Исследователи из Орегонского университета здравоохранения и науки пришли к выводу, что сон менее семи часов в сутки связан с сокращением продолжительности жизни. По данным специалистов, хроническая нехватка сна не только вызывает усталость и снижение работоспособности, но и постепенно сказывается на здоровье органов и систем, увеличивая риски развития различных заболеваний.
Для анализа ученые использовали обширную национальную базу данных США, сопоставляя показатели ожидаемой продолжительности жизни на уровне штатов с результатами опросов Центров контроля и профилактики заболеваний за период с 2019 по 2025 годы. Они учитывали мно ...>>
Случайная новость из Архива Ядерная батарея со сроком работы 50 лет
29.08.2025
Миллионы тонн синтетических материалов ежегодно оказываются на свалках и в океанах, создавая угрозу для экосистем. Поэтому ученые разных стран активно ищут биологические альтернативы привычным полимерам. Одним из свежих решений стало изобретение исследователей из США, которым удалось превратить отходы виноградной лозы в экологичный заменитель пластика.
Разработка принадлежит команде из Университета Южной Дакоты под руководством доктора Сриниваса Джанасвами. Его исследования сосредоточены на применении сельскохозяйственных отходов, богатых целлюлозой. Коллега Джанасвами, доктор Энн Феннел, давно обратила внимание на виноградные побеги, которые ежегодно остаются после обрезки виноградников. Обычно их сжигают или утилизируют, хотя они представляют собой ценный источник целлюлозы, которую можно использовать для создания новых материалов.
Ученые высушили побеги, измельчили их и выделили из массы целлюлозные волокна. Затем полученный раствор нанесли на стеклянные пластины, в результате чего образовалась тонкая пленка, отличающаяся высокой прозрачностью. По внешнему виду и свойствам этот биоматериал напоминает привычный пластик, но при этом полностью разлагается в природных условиях.
Испытания показали, что новая пленка обладает прочностью, превышающей устойчивость традиционных полиэтиленовых пакетов. В то же время она легко возвращается в природный цикл: в почве материал исчезает всего за 17 дней, не оставляя после себя токсичных следов. Таким образом, этот биополимер не только безопасен для окружающей среды, но и гораздо более устойчив в практическом использовании.
Особый интерес вызывает прозрачность созданного материала. Она позволяет использовать его для упаковки продуктов питания, сохраняя возможность видеть содержимое без необходимости открывать упаковку. Такое свойство делает его удобным и функциональным аналогом привычных пластиковых пакетов и пленок.
Разработка американских исследователей показывает, что отходы сельского хозяйства могут стать ценным ресурсом для создания инновационных решений. Применение виноградной лозы в качестве сырья не только снижает объем мусора, но и способствует развитию циркулярной экономики, когда отходы одной отрасли превращаются в полезный продукт для другой.
Экологичный пластик из виноградной лозы пока существует в виде лабораторного прототипа, но его потенциал очевиден. Если технология будет доведена до промышленного масштаба, она способна существенно сократить загрязнение окружающей среды одноразовыми изделиями и предложить человечеству более устойчивый путь развития.
|
Другие интересные новости:
▪ Семидюймовый смартфон Samsung Galaxy J Max
▪ Часы, растворяющиеся в воде
▪ Винная бутылка с телеэкраном
▪ Микроробот HAMR-JR
▪ Дорожное движение может усугубить аллергию
Лента новостей науки и техники, новинок электроники
Интересные материалы Бесплатной технической библиотеки:
▪ раздел сайта Электродвигатели. Подборка статей
▪ статья Торнтон Уайлдер. Знаменитые афоризмы
▪ статья Какая актриса дала имя эффекту, когда попытка удаления информации приводит к ее большему распространению? Подробный ответ
▪ статья Коечный штык. Советы туристу
▪ статья Простой мегафон с режимом сирены. Энциклопедия радиоэлектроники и электротехники
▪ статья Колпак, под которым все исчезает. Секрет фокуса
Оставьте свой комментарий к этой статье:
Главная страница | Библиотека | Статьи | Карта сайта | Отзывы о сайте

www.diagram.com.ua
2000-2026