Menu Home

Бесплатная техническая библиотека для любителей и профессионалов Бесплатная техническая библиотека


USB-регистратор напряжения с функциями осциллографа, анализатора спектра и измерителя АЧХ. Энциклопедия радиоэлектроники и электротехники

Бесплатная техническая библиотека

Энциклопедия радиоэлектроники и электротехники / Измерительная техника

Комментарии к статье Комментарии к статье

Аппаратная часть этого регистратора - АЦП, оснащенный скоростным каналом связи с компьютером по шине USB, реализованным с помощью программируемой логической микросхемы (ПЛИС). А разработанная автором компьютерная программа позволяет не только записать оцифрованный сигнал в файл, но и отобразить его осциллограмму, спектр и даже измерить амплитудно-частотную характеристику (АЧХ) фильтра или другого линейного устройства, на вход которого подан испытательный сигнал от встроенного в регистратор генератора.

В рассматриваемом регистраторе отсчеты исследуемого сигнала, которые АЦП берет с частотой 960 кГц, поступают на вход ПЛИС, выполняющей преобразование параллельного кода АЦП в последовательный. В каждую группу из пяти передаваемых далее в преобразователь UART-USB восьмиразрядных байтов ПЛИС помещает четыре десятиразрядных кода АЦП. Далее информация передается по uSb в компьютер для обработки и хранения. Протокол связи с компьютером и другие функции в регистраторе реализованы с помощью микроконтроллера. Программируются ПЛИС и микроконтроллер через тот же преобразователь UART-USB, что используется для передачи информации.

Для работы с регистратором разработана в среде LabVIEW программа, реализующая прием информации, ее отображение и хранение. Кроме того, в ней реализован алгоритм снятия АЧХ подключенной к регистратору внешней цепи на частотах от 0,1 Гц до 480 кГц. Отличительная особенность этого алгоритма - для оценки амплитудно-частотной характеристики исследуемой цепи используются гармоники частоты повторения прямоугольных импульсов, генерируемых микроконтроллером регистратора.

Поставленная задача разработать устройство для непрерывной передачи в компьютер в реальном масштабе времени отсчетов мгновенного значения напряжения в интервале от 15 до +15 В с частотой дискретизации 960 кГц и разрешением десять двоичных разрядов, в принципе, могла быть решена без ПЛИС с помощью АЦП и микроконтроллера со встроенным портом USB, работающим в режиме виртуального COM-порта. Однако скорость передачи информации при этом получилась бы недостаточно высокой. При использовании совместно с АЦП и микроконтроллером микросхемы преобразователя интерфейса UART-USB FT2232H, обеспечивающего передачу информации со скоростью 12 Мбит/с, возникает проблема поиска микроконтроллера, UART которого способен работать с такой скоростью. В итоге был выбран способ, отличающийся от предыдущего использованием ПЛИС, которая читает информацию, формируемую АЦП в параллельном коде, и преобразовывает ее в последовательный формат, свойственный UART.

В устройстве использован десятиразрядный АЦП ADC10030 с параллельным выходом и максимальной частотой дискретизации 30 МГц. Результаты его работы принимает и обрабатывает ПЛИС EPM3064ALC44-10N, содержащая 64 программируемые логические макроячейки и 44 линии ввода-вывода.

Каждый отсчет входного сигнала, формируемый АЦП, представляет собой десятиразрядный двоичный код, а преобразователь UART-USB FT2232H принимает информацию восьмиразрядными байтами. По этой причине в ПЛИС реализовано устройство, упаковывающее каждые четыре отсчета в пять байтов. Далее оно снабжает каждый байт стартовым и стоповым разрядами и передает их последовательным кодом со скоростью 12 МБод в микросхему FT2232H для передачи в компьютер по интерфейсу USB.

Схема регистратора изображена на рис. 1. Он питается постоянным напряжением 7...9 В, поступающим с разъема XP3 на интегральный стабилизатор DA6 7805, а с него при съемной перемычке S4 в положении 1-2 - на стабилизатор напряжения 3,3 В LM1117-3.3 (DA7). Для удобства работы с прибором во время отладки предусмотрена возможность питать его от порта USB. Для этого съемную перемычку S4 следует переставить в положение 2-3. Однако при штатной работе такое питание неприемлемо, поскольку напряжение, снимаемое с порта USB, зачастую заметно отличается от 5 В, что приводит к изменению масштаба преобразования исследуемого сигнала в АЦП.

USB-регистратор напряжения с функциями осциллографа, анализатора спектра и измерителя АЧХ
Рис. 1. Схема регистратора (нажмите для увеличения)

Генератор тактовой частоты 24 МГц для АЦП и ПЛИС построен на элементах микросхемы DD2 74HC04D и стабилизирован кварцевым резонатором ZQ2.

Для реализации протокола связи с компьютером, формирования дискретных сигналов и генерирования прямоугольных импульсов в регистратор введен микроконтроллер DD1 ATMega8A, работающий с тактовой частотой 16 МГц, заданной кварцевым резонатором ZQ1. Обмен информацией между компьютером и микроконтроллером происходит тоже с помощью микросхемы FT2232H (DD4), но по другому каналу. Для связи с ПЛИС и с микроконтроллером в опера-ционной системе работающего с регистратором компьютера должны быть организованы два виртуальных COM-порта.

Исследуемый сигнал подают через разъем XP1 на вход ступени на ОУ DA2 AD825ARZ, которая является инвертирующим ослабителем сигнала в 15 раз. Нулевой уровень на выходе ОУ DA2 можно смещать с помощью подстроечного резистора R1. Таким образом выполняется приведение исследуемого сигнала к допустимому интервалу изменения входного напряжения АЦП.

ОУ DA2 питается напряжением +/-15 В, которое формирует из +5 В преобразователь постоянного однополярного напряжения в двухполярное AM1D-0515DH30Z (U1). Резисторы R19 и R20 - минимальная нагрузка преобразователя, необходимая для его правильной работы. Переставив съемные перемычки S1 и S2 из положения 2-3 в положение 1 -2, можно перейти на питание микросхемы DA2 внешним напряжением +/- 15 В, поданным на разъем XP4. При желании можно питать от преобразователя U1 внешние устройства с потребляемым током не более 35 мА.

Образцовые напряжения для АЦП DA5 формируют ОУ DA3.1 и DA3.2 по схеме, рекомендованной в описании АЦП. Параллельный код с выходов АЦП поступает на ПЛИС DD3, где выполняется его преобразование в последовательный код UART. Далее он поступает на микросхему DD4 FT2232H.

Разъем XP2 предназначен для управления внешними устройствами сигналами логического уровня 3,3 В по восьми каналам, кроме того, на этот разъем выведены постоянное напряжение 3,3 В и общий провод для возможности питания внешних устройств. Разъемы XP5 и XP6 предназначены для программирования подключаемых к ним устройств с напряжением питания 3,3 В.

На разъем XP7 выведены напряжения 3,3 В, 5 В и общий провод для питания внешних устройств, импульсный сигнал частотой 24 МГц (тактовая частота АЦП и ПЛИС). Контакт 4 этого разъема соединен с не используемым в описываемой версии прибора выводом 14 ПЛИС DD3.

К разъему XP8 подключают светодиоды, сигнализирующие о режиме работы преобразователя:

HL1 - наличие напряжения питания;

HL2 - передача информации из микроконтроллера в компьютер;

HL3 - передача информации из компьютера в микроконтроллер;

HL4 - передача информации из ПЛИС в компьютер;

HL5 - передача информации из компьютера в ПЛИС;

HL6 - включен генератор прямоугольных импульсов;

HL7 - передача информации из ПЛИС разрешена микроконтроллером;

HL8 - ПЛИС передает информацию.

Чертеж проводников печатной платы показан на рис. 2 (сторона 1) и рис. 3 (сторона 2). Расположение элементов на этих сторонах платы - соответственно на рис. 4 и рис. 5. На плате предусмотрены места для не показанных на схеме элементов, из которых можно собрать П-образный входной аттенюатор или фильтр между разъемом XP1 и резистором R4 и Г-образный фильтр между выходом ОУ DA2 и входом АЦП DA5. Для прохождения сигнала в отсутствие аттенюатора и фильтра вместо их последовательных элементов установлены перемычки для поверхностного монтажа. Еще две перемычки заменяют резисторы, включаемые последовательно с резисторами R5 и R8 при необходимости точной подборки образцового напряжения АЦП.

USB-регистратор напряжения с функциями осциллографа, анализатора спектра и измерителя АЧХ
Рис. 2. Чертеж проводников печатной платы

USB-регистратор напряжения с функциями осциллографа, анализатора спектра и измерителя АЧХ
Рис. 3. Чертеж проводников печатной платы

USB-регистратор напряжения с функциями осциллографа, анализатора спектра и измерителя АЧХ
Рис. 4. Расположение элементов

USB-регистратор напряжения с функциями осциллографа, анализатора спектра и измерителя АЧХ
Рис. 5. Расположение элементов

Для ПЛИС DD3 в корпусе PLCC-44 на плате должна быть установлена панель. Интегральный стабилизатор DA6 закреплен на ребристом теплоотводе размерами 22x20x15 мм.

Регистратор собран в корпусе Gainta G715, его внешний вид показан на рис. 6. На передней панели закреплены светодиоды и сделаны отверстия для разъемов XP1, XP2, XP4, XP7. Со стороны задней панели имеется доступ к блоку выключателей SA1, разъемам XS1, XP5, XP6.

USB-регистратор напряжения с функциями осциллографа, анализатора спектра и измерителя АЧХ
Рис. 6. Внешний вид регистратора

Структура устройства, реализованного в ПлИс, описана на языке VDHL. Трансляция и отладка производились в среде разработки Quartus 11 Version 10.1.

Входные сигналы:

clk - синхросигнал;

P - массив сигналов, поступающих от микроконтроллера;

ADC_data - массив сигналов, поступающих от АЦП;

rx - сигнал, поступающий от FT2232H. Выходные сигналы:

P1 - сигнал, предназначенный для микроконтроллера;

tx - сигнал, предназначенный для FT2232H;

PHL - сигнал, управляющий светодиодом HL8;

PPD - сигнал выключения питания АЦП;

POE - сигнал включения выходов АЦП;

POUT - сигнал, выдаваемый на разъем XP7.

Переменные:

count - счетчик числа переданных байтов;

start_bit - признак начала передачи байта;

stop_bit - признак завершения передачи данных;

ADC_data_buf - буфер хранения информации от АЦП;

rx_bit - признак начала приема информации.

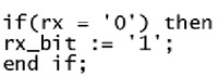
По переходу синхросигнала с низкого на высокий уровень происходит проверка приема стартового разряда (табл. 1 ). Затем, если передача идет, содержимое счетчика переданных байтов увеличивается на единицу (табл. 2). При достижении содержимым счетчика значения 100 происходит согласно табл. 3, его обнуление и выполняется проверка наличия команды завершения передачи (P(6)=0).

Таблица 1

USB-регистратор напряжения с функциями осциллографа, анализатора спектра и измерителя АЧХ

Таблица 2

USB-регистратор напряжения с функциями осциллографа, анализатора спектра и измерителя АЧХ

Таблица 3

USB-регистратор напряжения с функциями осциллографа, анализатора спектра и измерителя АЧХ

По переходу синхросигнала с высокого на низкий уровень перед началом передачи выполняется буферизация информации от АЦП (табл. 4), чтобы не допустить ее изменения во время передачи.

Таблица 4

USB-регистратор напряжения с функциями осциллографа, анализатора спектра и измерителя АЧХ

Остальные действия состоят в проверке разрешения или запрета передачи информации от микроконтроллера. В разрешенном состоянии включается светодиод HL8 и снимается признак завершения передачи, если был принят байт запроса (табл. 5). Передача стартового и стопового разрядов производится согласно табл. 6, а информации из буфера АЦП - табл. 7 (каждый разряд передается за два такта count).

Таблица 5

USB-регистратор напряжения с функциями осциллографа, анализатора спектра и измерителя АЧХ

Таблица 6

USB-регистратор напряжения с функциями осциллографа, анализатора спектра и измерителя АЧХ

Таблица 7

USB-регистратор напряжения с функциями осциллографа, анализатора спектра и измерителя АЧХ

Программа для микроконтроллера написана на языке C в среде разработки ImageCraft. После включения питания устройства она инициализирует периферию микроконтроллера, затем входит в основной цикл, причем UART микроконтроллера находится в режиме ожидания приема.

По приему байта запускается обработчик прерывания (табл. 8). Этот байт записывается в массив rx_arr по индексу rx_count (если был принят первый байт пакета, то rx_count=0), после чего rx_count увеличивается на единицу. Далее следует перезапуск таймера 0, истечение выдержки которого служит признаком конца пакета.

Таблица 8

USB-регистратор напряжения с функциями осциллографа, анализатора спектра и измерителя АЧХ

Если в течение заданного времени не принят очередной байт, то происходит прерывание по запросу таймера 0. В обработчике этого прерывания (табл. 9) выполняются остановка таймера и установка флага окончания приема f_rx.

Таблица 9

USB-регистратор напряжения с функциями осциллографа, анализатора спектра и измерителя АЧХ

Когда информационный пакет принят (f_rx= 1), в основном цикле начинаются его разбор, выполнение содержащихся в нем команд и формирование ответов. Сначала проверяются заголовок и окончание пакета, затем код команды. После успешной проверки начинается выполнение команды, содержащейся в пакете. При обнаружении ошибки формируется отрицательная квитанция.

В программе реализованы следующие команды:

- "Тест" - служит для проверки связи;

- "Установить состояния IO" - устанавливает на выводах микроконтроллера, соединенных с разъемом XP2, заданные логические уровни. Контакт 2 разъема (цепь IO1) соответствует младшему разряду байта данных команды, а контакт 9 (цепь IO8) - старшему;

- "Установить состояния IO, связанных с ПЛИС" - устанавливает на выходах микроконтроллера PD4-PD7, PB1, PC2, PC3, связанных с ПЛИС, заданные логические уровни. Выходы перечислены в порядке следования соответствующих им разрядов байта данных команды от первого до седьмого. Значение младшего (нулевого) разряда байта может быть произвольным, поскольку состояние вывода PD3 недоступно для изменения этой командой. Он использован для приема запроса прерывания от ПЛИС;

- "Запустить генератор прямоугольных импульсов (с периодом, кратным 2 с)" - выполняет запуск указанного генератора прямоугольных импульсов (скважность всех формируемых регистратором импульсов равна двум). Байт данных команды должен содержать значение периода следования импульсов, которое с шагом в 2 с может находиться в интервале 2-254 с. Импульсы формируются на выводе микроконтроллера PB3 путем программного переключения его состояния в обработчике прерывания от таймера 1. Они выведены на контакт 5 разъема XP2;

- "Запустить генератор прямоугольных импульсов (с периодом, кратным 2 с) по запуску АЦП" - отличается от предыдущей команды тем, что запускает генератор синхронно с началом передачи информации из ПЛИС в компьютер;

- "Запустить генератор прямоугольных импульсов" - запускает генератор прямоугольных импульсов частотой от 30 Гц до 8 МГц. Четыре байта данных должны содержать значение частоты в герцах. Выключают генератор, задавая нулевое значение частоты. Так как период повторения генерируемых импульсов всегда кратен длительности машинного такта микроконтроллера, фактическая частота их повторения может отличаться от заданной. Точное ее значение (с дискретностью 1 Гц) содержится в ответе на команду. Импульсы выведены на контакт 5 разъема XP2, соединенный с выходом PB3 микроконтроллера.

Для начала передачи информации из ПЛИС необходимо разрешить ее, установив на входе 16 ПЛИС высокий логический уровень, а затем передать через СОМ-порт в ПЛИС один байт. Разрешение введено для удобства прекращения передачи установкой на входе 16 ПЛИС логического нуля. Так как передачу разрешает микроконтроллер, для синхронизации начала передачи из ПЛИС с началом приема информации компьютером последний должен послать микроконтроллеру произвольный байт запроса. Микроконтроллер обменивается информацией с компьютером со скоростью 1 МБод при восьмиразрядных посылках без контроля четности и одном стоповом разряде. Для обмена информацией по USB через микросхему FT2232H регистратора в операционной системе компьютера необходимо установить драйверы, которые можно найти на интернет-странице [1].

Загрузка программ в ПЛИС и микроконтроллер.

Программирование ПЛИС выполняется по методике, описанной в [2]. Перед его началом необходимо установить DIP-выключатели SA1 -

SA3 в положения, показанные на рис. 7,а. Микроконтроллер программировался с помощью программы AVRDude и графической оболочки SinaProg, скачанных по ссылкам на интернет-странице [3]. Для работы SinaProg требуется наличие в компьютере библиотеки времени исполнения LabView RunTime Library [4].

USB-регистратор напряжения с функциями осциллографа, анализатора спектра и измерителя АЧХ
Рис. 7. Программирование ПЛИС

В файле avrdude.conf необходимо переназначить выводы программатора 2ftbb, дополнив текст файла разделом, показанным в табл. 10.

Таблица 10

USB-регистратор напряжения с функциями осциллографа, анализатора спектра и измерителя АЧХ

В приложении к статье имеются программы AVRDude и SinaProg, в которых уже установлены все необходимые параметры.

Приступая к программированию микроконтроллера, следует установить выключатели SA1-SA3 регистратора в положения, показанные на рис. 7,б, после чего соединить разъем XS1 регистратора с USB-портом компьютера и запустить программу SinaProg. В поле "Programmer" ее окна следует установить параметры 2ftbb, FTDI, 9600. Затем по очереди нажать на экранные кнопки "<" и "Search", после чего в окне сообщений должен появиться текст, аналогичный показанному в табл. 11 . С помощью меню, вызываемого нажатием на экранную кнопку "Advanced" поля "Fuses", задать конфигурацию микроконтроллера: high - 0xC9, low - 0xFF. В поле "Hex file" указать имя HEX-файла с кодами программы микроконтроллера и нажать на экранную кнопку Program в поле Flash. При успешном завершении программирования в поле сообщений должен появиться текст, оканчивающийся строками, приведенными в табл. 12.

Таблица 11

USB-регистратор напряжения с функциями осциллографа, анализатора спектра и измерителя АЧХ

Таблица 12

USB-регистратор напряжения с функциями осциллографа, анализатора спектра и измерителя АЧХ

В случае использования регистратора для программирования устройств, подключенных к разъему XP6 или XP7, выключатели SA1-SA3 должны быть установлены в положения, показанные на рис. 7,в. Положения выключателей при обычной работе регистратора - на рис. 7,г.

Компьютерная программа USB-960

была разработана в среде LabVIEW 2011. Если эта среда на компьютере отсутствует, то потребуется установка пакетов [5] и [6]. Программа содержит одиннадцать виртуальных подприборов (ВП):

- ACPPLISUC_IOUC устанавливает состояния портов вывода микроконтроллера, выведенных на внешний разъем;

- ACPPLISUC_FREQ запускает генератор с последующим измерением генерируемой частоты;

- ACPPLISUC_TEST проверяет связь с микроконтроллером;

- ACPPLISUC_AFR_H измеряет АЧХ внешней цепи при пяти значениях частоты (не ниже 30,5 Гц);

- ACPPLISUC_AFR_L измеряет АЧХ внешней цепи на частоте от долей до десятков герц;

- ACPPLISUC_GEN2S запускает генератор прямоугольных импульсов с периодом следования, кратным 2 с;

- ACPPLISUC_UNPACKDATA преобразует информацию, полученную из регистратора в массив значений кодов АЦП;

- ACPPLISUC_ADCDATA читает информацию, принимаемую из регистратора в течение заданного времени;

- ACPPLISUC_IOPLIS устанавливает состояния портов вывода микроконтроллера, связанных с ПЛИС;

- ACPPLISUC_GEN запускает генератор прямоугольных импульсов с частотой следования 30,5 Гц и выше;

- ACPPLISUC_GEN2Ss запускает генератор прямоугольных импульсов с периодом, кратным двум секундам, синхронно с запуском чтения информации от регистратора;

- ACPPLISUC_COM выполняет прием и передачу информации через виртуальный СОМ-порт, связанный с микроконтроллером.

Основная программа работает в бесконечном цикле while, внутри которого находится структура case, ее текущая страница определяется выбором вкладки в главном окне программы.

Вкладка "Запись сигналов" показана на рис. 8. При нажатии на кнопку "ПУСК" начинается прием отсчетов исследуемого сигнала в течение времени, заданного в поле "Время измерения, с". Для этого разрешается передача информации из ПЛИС - в ВП ACPPLI-SUC_IOPLIS записывается значение 128. Собственно чтение выполняется с помощью ВП ACPPLISUC_ADCDATA, в качестве параметра которого задается время измерения. Этот ВП запрашивает информацию передачей нулевого байта и читает ее в течение заданного времени. По его истечении передача запрещается записью нулевого значения в ВП ACPPLISUCJOPLIS.

USB-регистратор напряжения с функциями осциллографа, анализатора спектра и измерителя АЧХ
Рис. 8. Вкладка "Запись сигналов"

Если предварительно была нажата экранная кнопка "Запись в файл", то исследуемый сигнал сохраняется в двоичном файле, имя которого указано в поле "Файл для сохранения сигнала". По умолчанию сохранение осуществляется в корневую папку диска С, из-за чего операционная система компьютера может потребовать запуск программы с правами администратора.

Запуск генератора прямоугольных импульсов осуществляется в полях "Запуск генератора" и "Запуск генератора с периодом, кратным 2 секундам".

По завершении приема осциллограмма полученного сигнала отображается в поле "Сигнал", а в поле "Амплитудный спектр" выводится его спектр. В полях "СКО, В" и "Среднее значение, В" будут выведены соответственно среднеквадратическое и среднее значения сигнала.

Вкладка "Осциллограф" изображена на рис. 9. При нажатии на экранную кнопку "ПУСК" запускается цикл while, в котором многократно (до нажатия на кнопку "СТОП") выполняется прием информации от регистратора по алгоритму, аналогичному описанному выше. Для исключения обрезания сигнала при синхронизации и ручном смещении фактическая продолжительность записи в два раза больше заданной. По ее завершении в сигнале выполняется поиск моментов пересечения заданного порога (устанавливается с помощью регулятора "Порог, В”), из которых формируется массив. Далее в этом массиве программа находит элемент, расположенный как можно ближе к1/3 длительности сигнала. Он и будет использован в качестве начальной точки осциллограммы, выводимой на экран.

USB-регистратор напряжения с функциями осциллографа, анализатора спектра и измерителя АЧХ
Рис. 9. Вкладка "Осциллограф"

С помощью регулятора "Смещение, %" можно сдвигать осциллограмму. Кнопками "Сохранить текущий сигнал" и "Чтение" выполняются сохранение отображаемого в данный момент сигнала и чтение сохраненного ранее сигнала.

Вкладка "Снятие АЧХ" показана на рис. 10. Определить АЧХ линейной цепи [7] можно путем одновременного или поочередного воздействия на ее вход гармонических сигналов различной частоты с последующим измерением амплитуды этих сигналов на выходе цепи. В рассматриваемом устройстве для измерения АЧХ вместо гармонических сигналов используются прямоугольные импульсы, генерируемые микроконтроллером. Сигнал в виде прямоугольных импульсов со скважностью 2 - сумма бесконечного числа гармонических сигналов (гармоник), частоты которых в нечетное число раз выше частоты повторения импульсов. Амплитуды его гармоник приблизительно равны 0,9 (первая), 0,3 (третья), 0,18 (пятая), 0,129 (седьмая), 0,1 (девятая) амплитуды импульсов. Зная соотношение гармоник (спектр) сигнала на входе исследуемой цепи и определив его на выходе, можно вычислить значения АЧХ этой цепи на частотах гармоник.

USB-регистратор напряжения с функциями осциллографа, анализатора спектра и измерителя АЧХ
Рис. 10. Вкладка "Снятие АЧХ"

Регистратор снимает АЧХ с помощью прямоугольных импульсов со скважностью 2 и частотой повторения 0,1; 0,5; 30,5, 60,1, 120,2, 240, 480,8, 961,5, 1923, 3846, 7692,3, 15384,6, 31250 и 61538,5 Гц.

При нажатии на одну из экранных кнопок "ПУСК 0,1 Гц" или "ПУСК 0,5 Гц" запускается ВП ACPPLISUC_AFR_L с периодом 10 с и 2 с соответственно. Этот ВП работает следующим образом:

- с помощью ВП ACPPLISUC_ GEN2SS посылает команду запуска генератора прямоугольных импульсов с заданным периодом;

- выполняет прием информации от АЦП в течение 1,5 периода повторения импульсов;

- пропускает принятый сигнал через цифровой фильтр нижних частот с частотой среза 2000 Гц, чтобы избавиться от высокочастотных составляющих перед прореживанием сигнала. Если этого не сделать, возникнет эффект наложения спектров [8];

- прореживает сигнал, отбрасывая 47 из каждых 48 его отсчетов, с целью упрощения дальнейших расчетов;

- извлекает из сигнала фрагмент длительностью точно в один период повторения импульсов;

- рассчитывает амплитудный спектр этого фрагмента;

- извлекает из полученного спектра составляющие, соответствующие нечетным гармоникам испытательного сигнала, делит их на известные значения амплитуды тех же гармоник исходного сигнала. В результате получается АЧХ исследуемой цепи на частотах гармоник.

При нажатии на экранную кнопку "ПУСК 30 Гц" запускается цикл for, в котором выполняется ВП ACPPLISUC_AFR_H, на вход которого поступают значения частоты импульсов и времени измерения. На выходе этого ВП получают значения АЧХ на пяти гармониках сигнала заданной частоты. В результате выполнения цикла формируются три массива: частот, на которых измерялась АЧХ, сигналов, по которым вычислялась АЧХ, и значений АЧХ. Далее выполняется сортировка массива значений АЧХ для дальнейшего вывода ее графика на экран.

ВП ACPPLISUC_ AFR_H работает следующим образом:

- с помощью ВП ACPPLISUC_GEN посылает команду запуска генератора;

- принимает информацию от АЦП в течение заданного времени;

- рассчитывает амплитудный спектр записанного сигнала;

- из полученного спектра извлекает пять составляющих, соответствующих гармоникам испытательного сигнала, их значения делит на относительные амплитуды гармоник сигнала, подаваемого на вход исследуемой цепи.В результате получается пять отсчетов АЧХ.

Следует отметить, что длительность анализируемых сигналов обязательно должна быть в точности кратна периоду повторения импульсов, в противном случае при расчете спектра будет происходить его "растекание" [9] или "просачивание" [7], а результаты анализа будут искажены.

Нажатиями на экранные кнопки "Сохранить результаты" и "Чтение" выполняют запись в дисковый файл отображаемой в данный момент АЧХ и чтение АЧХ, записанных ранее.

Для проверки функционирования регистратора в режиме снятия АЧХ к нему был подключен узел, собранный на макетной плате по схеме, изображенной на рис. 11. Это фильтры нижних частот R1C2 и верхних частот R2C1. Буферные повторители на ОУ микросхемы DA1 устраняют влияние на аЧх фильтров сравнительно высокого выходного сопротивления выхода генератора и низкого (1,5 кОм) входного сопротивления регистратора. Напряжение +15 В и -15 В для питания микросхемы DA1 можно снять с разъемаХр4 регистратора, если соединить на плате последнего между собой каждые три штыря, предназначенных для перемычек S1 и S2 (не путать с перемычками S1 и S2 на рис. 11, которыми переключают фильтры).

USB-регистратор напряжения с функциями осциллографа, анализатора спектра и измерителя АЧХ
Рис. 11. Схема макетной платы

Для сравнения снятых АЧХ с полученными расчетным путем была создана программа "Сравнение_АЧХ_с_расче-том", которая вычисляет АЧХ заданной RC-цепи и строит ее в одних координатах с измеренной. Результаты представлены на рис. 12 (фильтр нижних частот) и рис. 13 (фильтр верхних частот). Красным показаны рассчитанные значения, белым - измеренные. Далее параллельно C1 и C2 были подключены конденсаторы емкостью 8 мкФ и получены характеристики, показанные на рис. 14 и рис. 15.

USB-регистратор напряжения с функциями осциллографа, анализатора спектра и измерителя АЧХ
Рис. 12. Фильтр нижних частот

USB-регистратор напряжения с функциями осциллографа, анализатора спектра и измерителя АЧХ
Рис. 13. Фильтр верхних частот

USB-регистратор напряжения с функциями осциллографа, анализатора спектра и измерителя АЧХ
Рис. 14. Характеристики с подключенным конденсатором

USB-регистратор напряжения с функциями осциллографа, анализатора спектра и измерителя АЧХ
Рис. 15. Характеристики с подключенным конденсатором

Вкладка "Калибровка" изображена на рис. 16. При выполнении этой операции необходимо задать зависимость между напряжением на входе регистратора и значением кода на выходе АЦП. Так как эта зависимость линейна, то достаточно ввести координаты двух ее точек. Для этого на вход регистратора подают постоянное напряжение, близкое к максимальному. Его значение записывают в поле "Umax, В". В поле "Значение АЦП-средн." будет выведено усредненное программой значение выходного кода АЦП. Его можно занести в поле "АЦП-max" вручную или воспользоваться экранной кнопкой "Записать текущее значение АЦП-средн. как АЦП-max".

USB-регистратор напряжения с функциями осциллографа, анализатора спектра и измерителя АЧХ
Рис. 16. Вкладка "Калибровка"

Подав на вход прибора постоянное напряжение, близкое к минимальному, аналогично заносят значения в поля "Umin, В" и "АЦП-min".

Как уже было сказано, фактические частоты генерируемых при снятии АЧХ сигналов могут немного отличаться от заданных значений, из-за чего нельзя заранее знать точные длительности подлежащих анализу выборок, которые должны быть кратны целому числу периодов сигнала. Фактические значения частоты необходимо предварительно измерить и рассчитать длительности выборок. Эти действия выполняются в case-структуре, вызываемой кнопкой "Определить периоды для снятия АЧХ", результаты сохраняются в текстовом файле.

Калибровку выполняют следующим образом:

- соединяют вход прибора с общим проводом, соединив между собой контакты разъемаXP1;

- подстроечным резистором R1 устанавливают в окне "АЦП-средн." значения от 511 до 513 (нажимая для обновления на экранную кнопку "Прочитать");

- подключают к разъему XP1 источник постоянного напряжения +13...15 В, вводят точное значение этого напряжения в поле "Umax, В”;

- нажимают на экранную кнопку "Прочитать", чтобы выполнить оцифровку сигнала и определить среднее значение кода АЦП, затем нажимают на экранную кнопку "Записать текущее значениеАЦП-средн. какАЦП-max";

- изменяют на противоположную полярность поданного на разъем XP1 напряжения, вводят его значение в поле "Umin, В", нажимают на экранные кнопки "Прочитать", а затем "Записать теку-щеезначениеАЦП-средн. какАЦП-min";

- отключив источник напряжения от разъема XP1, соединяют контакт 1 этого разъема с контактом 5 разъемаХР2 и нажимают на экранную кнопку "Определить напряжение логического уровня (ил1)". Это значение требуется для вычисления АЧХ;

- нажимают на экранную кнопку "Определить периоды для снятия АЧХ" и дожидаются окончания измерений (процесс занимает более двух минут). Результаты измерений сохраняются в текстовом файле на жестком диске компьютера. Имя этого файла и путь к нему содержатся в поле "Файл с калибровочными коэффициентами";

- нажатием на экранную кнопку "ТЕСТ" в микроконтроллер посылают тестовую команду, если на нее получен правильный ответ, то будет включен индикатор "ТЕСТ ОК". В поле "IO" можно вручную задать состояния выходов микроконтроллера, выведенных на разъем XP2, а в поле "IO-PLIS" - тех, что связаны с ПЛИС.

В заключение можно отметить, что если построить регистратор на базе ПЛИС Xilinx Spartan-3 с процессорным ядром MicroBlaze, то отпадет необходимость использования микроконтроллера.

Файл печатной платы в формате Sprint Layout 5.0 и программы для ПЛИС, микроконтроллера и компьютера можно скачать с ftp://ftp.radio.ru/pub/2014/11/usb-reg.zip.

Литература

  1. Drivers. - URL: ftdichip. com / FTDrivers.htm.
  2. Программатор MBFTDI в среде Altera Quartus II. - URL: marsohod.org /  index.php / ourblog / 11 / 196-qprog10b.
  3. SinaProg - графическая оболочка для AVRDude. - URL: easyelectronics.ru /  sinaprog-graficheskaya-obolochka-dlya-avrdude.html.
  4. LabView Run-Time Library. - URL:  ftp.ni.com  / support / softlib / labview  / labview_runtime / 8.6.1  / Windows / lvrte861min.exe.
  5. LabVIEWRun-TimeEngine 2011 -(32-bit Standard RTE) - Windows 7 64-bit / 732-bit / Vista 64-bit / Vista32-bit / XP 32-bit / Server 2008 R2 64-bit / Server2003R232-bit / . - URL: joule.ni.com / nidu / cds / view / p / id / 2534 /  lang / ru.
  6. NI-VISA Run-Time Engine 5.1.1 - Pocket PC 2003, Real-Time OS, Windows 7 64-bit /  7 32-bit / Vista 64-bit / Vista 32-bit / XP / XP Embedded / Server 2008 R2 64-bit / Server 2003 R2 32-bit / Mobile 5 / . - URL: joule.ni.com / nidu / cds / view / p / id / 2662 / lang / ru.
  7. Марпл-мл. С. Цифровойспектральный анализ и его приложения. - М.: Мир, 1990.
  8. Айфичер Э., Джервис Б. Цифровая обработка сигналов: практический подход. 2-е издание.: Пер. с англ. - М.: Издательский дом "Вильямс", 2004.
  9. Сергиенко А. Цифровая обработка сигналов: Учебник для вузов. 2-е изд. - СПб.: Питер, 2006.

Автор: В. Чайковский

Смотрите другие статьи раздела Измерительная техника.

Читайте и пишите полезные комментарии к этой статье.

<< Назад

Последние новости науки и техники, новинки электроники:

Власть является ключевым фактором счастья в отношениях 11.03.2026

Исследования семейных и романтических отношений показывают, что длительное счастье пары зависит не только от привычных факторов, таких как доверие, уважение и преданность, но и от более тонких психологических аспектов. Современные ученые ищут закономерности, которые отличают действительно счастливые пары от остальных, чтобы понять, какие механизмы поддерживают гармонию в отношениях. Группа исследователей из Университета Мартина Лютера в Галле-Виттенберге и Бамбергского университета провела опрос среди 181 пары, которые состояли в совместных отношениях более восьми лет и прожили вместе хотя бы месяц. Участники заполняли анкету, описывая различные аспекты своих отношений, включая распределение обязанностей, эмоциональную поддержку и степень вовлеченности в совместные решения. Анализ данных показал интересный паттерн: пары, где оба партнера ощущали высокий уровень личной власти, оказывались наиболее счастливыми и удовлетворенными. В данном контексте под властью понимается способност ...>>

Защищенная колонка-повербанк Anker Soundcore Boom Go 3i 11.03.2026

Компания Anker представила новую модель линейки Soundcore - колонку Soundcore Boom Go 3i, ориентированную на активное использование на улице. Новинка отличается высокой степенью защиты: корпус соответствует стандарту IP68, что обеспечивает водо- и пыленепроницаемость, а ударопрочный дизайн выдерживает падение с высоты до одного метра. За качество звука отвечает 15-ваттный драйвер, обеспечивающий пик громкости до 92 дБ, а технология BassUp 2.0 усиливает низкие частоты, делая звучание более насыщенным. Колонка обладает автономностью до 24 часов, а LED-индикатор позволяет контролировать уровень заряда батареи. Кроме того, Soundcore Boom Go 3i может выполнять функцию павербанка: согласно внутренним тестам, устройство способно зарядить iPhone 17 с нуля до 40% за один час, что делает его полезным аксессуаром в походах и поездках. Среди функциональных особенностей модели стоит выделить технологию Auracast, которая улучшает подключение и позволяет создавать стереопару из двух колонок ...>>

Раннее воздержание от алкоголя перестраивает мозг и иммунитет 10.03.2026

Алкогольная зависимость - хроническое расстройство с компульсивным употреблением спиртного, которое влияет не только на поведение, но и на функционирование мозга и иммунной системы. Недавние исследования показали, что даже на ранних этапах воздержания организм начинает перестраиваться, открывая новые возможности для терапии зависимости. Ученые сосредоточились на пациентах, находящихся в первые недели абстиненции, и зафиксировали значительные изменения в мозговой активности. С помощью функциональной магнитно-резонансной томографии они выявили перестройку сетей нейронных связей, отвечающих за контроль импульсов и принятие решений. Эти изменения могут быть ключевыми для восстановления самоконтроля и снижения риска рецидива. Одновременно с нейронной перестройкой исследователи наблюдали колебания иммунной системы. В крови повышался уровень цитокинов - сигнальных белков, регулирующих воспалительные процессы. Эти данные свидетельствуют о существовании нейроиммунного взаимодействия, при ...>>

Случайная новость из Архива

На Луне обнаружен источник тепла 13.07.2023

Под древним лунным вулканом Комптон-Белкович ученые обнаружили огромное гранитное образование, которое свидетельствует о вулканической активности, освещавшей обратную сторону Луны в прошлом.

Гранит был обнаружен под вулканической структурой на Луне, известной как Комптон-Белкович. Это образование, скорее всего, возникло в результате остывания магмы, которая питала вулканические извержения на Луне около 3,5 миллиардов лет назад.

Наличие остатков вулканической активности в этом регионе Луны не является сюрпризом, поскольку исследователи давно предполагали, что это древний комплекс вулканов. Однако ученых удивил огромный размер этой охлажденной магмы, простирающейся на примерно 50 километров. Обнаружение этого обширного гранитного тела под вулканическим комплексом Комптон-Белкович может помочь ученым разъяснить процесс формирования лунной коры в ранней истории Луны.

"Крупные гранитные образования, которые мы находим на Земле, питали большие вулканы, подобно тому, как сегодня большая система питает каскадные вулканы на северо-западе Тихого океана", - отметили ученые. - "Батолиты намного больше вулканов, которые они питают на поверхности. Например, Сьерра-Невада - это батолит, остаток вулканической цепи на западе Соединенных Штатов, существовавший давным-давно".

Образование гранита на Земле обычно связано с тектонической активностью и перемещением плит, что приводит к образованию обширных пластов плавленых пород, известных как плутоны. На Луне граниты гораздо реже встречаются из-за отсутствия воды и тектоники плит. Это означает, что данное открытие может указывать на специфические или глобальные условия, присутствовавшие на Луне во время вулканической активности.

Другие интересные новости:

▪ Беспроводная зарядка электромобилей BMW

▪ 64-слойные чипы 3D NAND 512 Гбит

▪ Смартфон Vivo X3 толщиной менее 6 мм

▪ Влияние кофеина на устойчивость к лекарственным препаратам

▪ ИИ-копирайтер от Alibaba

Лента новостей науки и техники, новинок электроники

 

Интересные материалы Бесплатной технической библиотеки:

▪ раздел сайта Радиоэлектроника и электротехника. Подборка статей

▪ статья Давайте говорить друг другу комплименты. Крылатое выражение

▪ статья Почему возникла десятичная система счисления? Подробный ответ

▪ статья Техник. Должностная инструкция

▪ статья ГПД для ПЧ 5,5 МГц. Энциклопедия радиоэлектроники и электротехники

▪ статья Попробуй разбей бутылку. Секрет фокуса

Оставьте свой комментарий к этой статье:

Имя:


E-mail (не обязательно):


Комментарий:





Главная страница | Библиотека | Статьи | Карта сайта | Отзывы о сайте

www.diagram.com.ua

www.diagram.com.ua
2000-2026