Бесплатная техническая библиотека
Силовые трансформаторы. Теоретические положения. Принцип действия. Энциклопедия радиоэлектроники и электротехники

Энциклопедия радиоэлектроники и электротехники / Справочник электрика
Комментарии к статье
Трансформатором называется электрический прибор, у которого передача напряжения из одной обмотки в другую происходит посредством электромагнитной индукции.
Он состоит из замкнутого железного сердечника, на который надеты две (иногда и более) катушки с проволочными обмотками. Одна из обмоток, называемая первичной, подключается к источнику переменного напряжения. Вторая обмотка, к которой присоединяют "нагрузку", т. е. приборы и устройства, потребляющие электроэнергию, называется вторичной.
Действие трансформатора основано на явлении электромагнитной индукции. При прохождении переменного тока по первичной обмотке в железном сердечнике появляется переменный магнитный поток, который возбуждает ЭДС индукции в каждой обмотке.
Мгновенное значение ЭДС индукции ε в любом витке первичной или вторичной обмотки согласно закону Фарадея определяется формулой

Если
то

где
- амплитуда ЭДС в одном витке.
В первичной обмотке, имеющей n1 витков, полная ЭДС индукции
равна 
Во вторичной обмотке полная ЭДС
равна
, где n2 - число витков этой обмотки.
Отсюда следует, что
(1)
Сумма напряжения u1, приложенного к первичной обмотке, и ЭДС
должна равняться падению напряжения в первичной обмотке:

где R1 - активное сопротивление обмотки, a i1 - сила тока в ней.
Данное уравнение непосредственно вытекает из общего уравнения. Обычно активное сопротивление обмотки мало и членом i1R1 можно пренебречь. Поэтому
(2)
При разомкнутой вторичной обмотке трансформатора ток в ней не течет, и имеет место соотношение
(3)
Так как мгновенные значения ЭДС е1 и e2 изменяются синфазно, то их отношение в формуле (1) можно заменить отношением действующих значений Е1 и Е2 этих ЭДС или, учитывая равенства (2) и (3), отношением действующих значений напряжений U1 и U2:
(4)
Величина k называется коэффициентом трансформации. Если к>1 то трансформатор является понижающим, при к< 1 - повышающим.
При замыкании цепи вторичной обмотки в ней течет ток. Тогда соотношение

уже не выполняется точно и, соответственно, связь между U1 и U2 становится более сложной, чем в уравнении (4).
Согласно закону сохранения энергии мощность в первичной цепи должна равняться мощности во вторичной цепи:
(5)
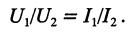
где и I1, I2- действующие здачения силы тока в первичной и вторичной обмотках. Отсюда следует, что
(6)
Вывод. Из формулы следует, что повышая с помощью трансформатора напряжение в несколько раз, мы во столько же раз уменьшаем силу тока, и наоборот.
Вследствие неизбежных потерь энергии на выделение тепла в обмотках и железном сердечнике уравнения (5) и (6) выполняются приближенно. Однако в современных мощных трансформаторах суммарные потери не превышают 2-3 %.
Автор: Корякин-Черняк С.Л.
Смотрите другие статьи раздела Справочник электрика.
Читайте и пишите полезные комментарии к этой статье.
<< Назад
Последние новости науки и техники, новинки электроники:
Власть является ключевым фактором счастья в отношениях
11.03.2026
Исследования семейных и романтических отношений показывают, что длительное счастье пары зависит не только от привычных факторов, таких как доверие, уважение и преданность, но и от более тонких психологических аспектов. Современные ученые ищут закономерности, которые отличают действительно счастливые пары от остальных, чтобы понять, какие механизмы поддерживают гармонию в отношениях.
Группа исследователей из Университета Мартина Лютера в Галле-Виттенберге и Бамбергского университета провела опрос среди 181 пары, которые состояли в совместных отношениях более восьми лет и прожили вместе хотя бы месяц. Участники заполняли анкету, описывая различные аспекты своих отношений, включая распределение обязанностей, эмоциональную поддержку и степень вовлеченности в совместные решения.
Анализ данных показал интересный паттерн: пары, где оба партнера ощущали высокий уровень личной власти, оказывались наиболее счастливыми и удовлетворенными. В данном контексте под властью понимается способност ...>>
Защищенная колонка-повербанк Anker Soundcore Boom Go 3i
11.03.2026
Компания Anker представила новую модель линейки Soundcore - колонку Soundcore Boom Go 3i, ориентированную на активное использование на улице.
Новинка отличается высокой степенью защиты: корпус соответствует стандарту IP68, что обеспечивает водо- и пыленепроницаемость, а ударопрочный дизайн выдерживает падение с высоты до одного метра. За качество звука отвечает 15-ваттный драйвер, обеспечивающий пик громкости до 92 дБ, а технология BassUp 2.0 усиливает низкие частоты, делая звучание более насыщенным.
Колонка обладает автономностью до 24 часов, а LED-индикатор позволяет контролировать уровень заряда батареи. Кроме того, Soundcore Boom Go 3i может выполнять функцию павербанка: согласно внутренним тестам, устройство способно зарядить iPhone 17 с нуля до 40% за один час, что делает его полезным аксессуаром в походах и поездках.
Среди функциональных особенностей модели стоит выделить технологию Auracast, которая улучшает подключение и позволяет создавать стереопару из двух колонок ...>>
Раннее воздержание от алкоголя перестраивает мозг и иммунитет
10.03.2026
Алкогольная зависимость - хроническое расстройство с компульсивным употреблением спиртного, которое влияет не только на поведение, но и на функционирование мозга и иммунной системы. Недавние исследования показали, что даже на ранних этапах воздержания организм начинает перестраиваться, открывая новые возможности для терапии зависимости.
Ученые сосредоточились на пациентах, находящихся в первые недели абстиненции, и зафиксировали значительные изменения в мозговой активности. С помощью функциональной магнитно-резонансной томографии они выявили перестройку сетей нейронных связей, отвечающих за контроль импульсов и принятие решений. Эти изменения могут быть ключевыми для восстановления самоконтроля и снижения риска рецидива.
Одновременно с нейронной перестройкой исследователи наблюдали колебания иммунной системы. В крови повышался уровень цитокинов - сигнальных белков, регулирующих воспалительные процессы. Эти данные свидетельствуют о существовании нейроиммунного взаимодействия, при ...>>
Случайная новость из Архива Русские покупают гаджетов больше, чем американцы и европейцы
31.01.2012
Из 10 стран, опрошенных Accenture, среднегодовые доходы в России оказались самыми низкими, а процент расходов на гаджеты при этом - одним из самых высоких. По данным исследования американской консалтинговой компании Accenture, в России покупатели тратят на потребительскую электронику в среднем 3,6% своего годового дохода. В США, например, этот показатель составляет 1,8%, в Германии и Франции - 2%.
Данные основываются на опросе 10 тыс. покупателей из 10 стран: Японии, России, США, Швеции, Германии, Франции, Индии, Южной Африки, Бразилии и Китая. При этом авторы подчеркивают, что исследование везде отражает среднюю ситуацию по стране, за исключением России, Китая, Индии и Южной Африки, где опрос проводился, главным образом, среди городского населения. Как показал опрос, тратить на гаджеты больший процент доходов характерно для всех развивающихся стран. Больше же всего это любят делать в Китае, где на электронику тратят в среднем 4,5% годового дохода.
Наименьший процент годового бюджета на гаджеты выделяют японцы - всего 1,3%. Стоит отметить, что при этом из всех опрошенных стран в России исследователи обнаружили самый маленький среднегодовой доход - $27,75 тыс. В пересчете на российскую валюту это означает зарплату примерно 69 тыс. руб. в месяц. В Японии, где на гаджеты тратят меньше всего, для сравнения, исследователи насчитали среднегодовой доход в 79 $тыс.
Что касается планов по приобретению новых гаджетов на ближайшие 12 месяцев, самой желанной покупкой в России, равно как и в других странах, является смартфон: его намереваются купить до 28% опрошенных. При этом аналитики отмечают, что Россия показала самый высокий уровень роста владения смартфонами среди других стран - число их владельцев за год выросло на 34%. Примечательно, что Россия и Бразилия на фоне других стран выделяются особой любовью к нетбукам: в России их планируют приобрести 22% опрошенных в возрасте 18-34 лет и 15% - в возрасте старше 35 лет. Для сравнения, в США этот показатель не превышает 10%, в Германии - 6%.
Что касается планшетных компьютеров, их покупка входит в планы 23% опрошенных в России потребителей 18-34 лет и 16% - старше 35 лет. Больше всего о "таблетках" мечтают в Бразилии - их планируют приобрести до 30% опрошенных, а менее всего - в Японии, где такая покупка запланирована не более чем у 4% респондентов. Стоит также отметить, что в России самый высокий процент опрошенных, использующих планшет главным образом для работы - 8%. Самый низкий процент таких пользователей - в Японии, всего 1%
|
Другие интересные новости:
▪ PocketBook 650
▪ Умный жилет-поводырь для слабовидящих
▪ Пластик превращается в съедобные грибы
▪ Новый изолированный AC/DC-преобразователь 125 Вт с двумя выходами
▪ Пользователи онлайн-магазинов чаще просматривают товары, чем покупают их
Лента новостей науки и техники, новинок электроники
Интересные материалы Бесплатной технической библиотеки:
▪ раздел сайта Инструменты и механизмы для сельского хозяйства. Подборка статей
▪ статья "Фигура" и "фон". Энциклопедия зрительных иллюзий
▪ статья Что такое лемур? Подробный ответ
▪ статья Ноготки лекарственные. Легенды, выращивание, способы применения
▪ статья Биполярный автоматический электростимулятор. Энциклопедия радиоэлектроники и электротехники
▪ статья Простое зарядное устройство. Энциклопедия радиоэлектроники и электротехники
Оставьте свой комментарий к этой статье:
Главная страница | Библиотека | Статьи | Карта сайта | Отзывы о сайте

www.diagram.com.ua
2000-2026