Бесплатная техническая библиотека
Практическое применение операционных усилителей. Часть первая. Энциклопедия радиоэлектроники и электротехники

Энциклопедия радиоэлектроники и электротехники / Начинающему радиолюбителю
Комментарии к статье
Итак - операционный усилитель. Далее будем называть его ОУ, а то очень лень писать каждый раз полностью.
На принципиальных схемах, чаще всего, он обозначается следующим образом:

На рисунке обозначены три самых главных вывода ОУ - два входа и выход. Разумеется, есть еще выводы питания и иногда выводы частотной коррекции, хотя последнее встречается все реже - у большинства современных ОУ она встроенная. Два входа ОУ - Инвертирующий и Неинвертирующий названы так по присущим им свойствам. Если подать сигнал на Инвертирующий вход, то на выходе мы получим инвертированный сигнал, то бишь сдвинутый по фазе на 180 градусов - зеркальный; если же подать сигнал на Неинвертирующий вход, то на выходе мы получим фазово не измененный сигнал.
Так же как и основных выводов, основных свойств ОУ тоже три - можно назвать их ТриО (или ООО - кому как нравится): Очень высокое сопротивление входа, Очень высокий коэффициент усиления (10000 и более), Очень низкое сопротивление выхода. Еще один очень важный параметр ОУ называется скорость нарастания напряжения на выходе (slew rate на буржуинском). Обозначает он фактически быстродействие данного ОУ - как быстро он сможет изменить напряжение на выходе при изменение оного на входе.
Измеряется этот параметр в вольтах в секунду (В/сек).
Этот параметр важен прежде всего для товарищей, конструирующих УЗЧ, поскольку, если ОУ недостаточно быстрый, то он не будет успевать за входным напряжением на высоких частотах и возникнут изрядные нелинейные искажения. У большинства современных ОУ общего назначения скорость нарастания сигнала от 10В/мксек и выше. У быстродействующих ОУ этот параметр может достигать значения 1000В/мксек.
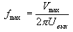
Оценить - подходит ли тот или иной ОУ для ваших целей по скорости нарастания сигнала можно по формуле:

где, fmax - частота синусоидального сигнала, Vmax - скорость нарастания сигнала, Uвых - максимальное выходное напряжение.
Ну да не будем больше тянуть кота за хвост - приступим к главной задаче этого опуса - куда, собственно, эти клевые штуки можно воткнуть и что из этого можно получить.
Первая схема включения ОУ - инвертирующий усилитель.

Наиболее популярная и часто встречающаяся схема усилителя на ОУ. Входной сигнал подается на инвертирующий вход, а неинвертирующий вход подключается к общему проводу.
Коэффициент усиления определяется соотношением резисторов R1 и R2 и считается по формуле:

Почему "минус"? Потому что, как мы помним, в инвертирующем усилителе фаза выходного сигнала "зеркальна" фазе входного.
Входное сопротивление определяется резистором R1. Ежели его сопротивление, например 100кОм, то и входное сопротивление усилителя будет 100кОм.
Следующая схема - инвертирующий усилитель с повышенным входным сопротивлением.
Предыдущая схема всем хороша, за исключением одного нюанса - соотношение входного сопротивления и коэффициента усиления может не подойти для реализации какого-либо специфического проекта. Ведь что получается - допустим, нам нужен усилитель с К=100. Тогда, исходя из того, что значения резисторов должны быть в разумных пределах берем R2=1Мом, а R1=10кОм. То есть, входное сопротивление усилителя будет равным 10 кОм, что в некоторых случаях недостаточно.
В этих самых случая можно применить следующую схему:

В данном случае, коэффициент усиления считается по следующей формуле:

То есть, при том же коэффициенте усиление сопротивление R1 можно увеличить, а значит и повысить входное сопротивление усилителя.
Едем дальше - неинвертирующий усилитель.
Выглядит он следующим образом:

Коэффициент усиления определяется так:

В данном случае, как видите, никаких минусов нет - фаза сигнала на входе и на выходе совпадает.
Основное отличие от инвертирующего усилителя заключается в повышенном входном сопротивлении, которое может достигать 10Мом и выше.
Если при реализации данной схемы в практических конструкциях, необходимо предусмотреть развязку с предыдущими каскадами по постоянному току - установить разделительный конденсатор, то нужно между входом ОУ и общим проводом включить резистор сопротивлением около 100 кОм, как показано на рисунке.

Если этого не сделать, то ОУ перевозбудится и ничего дельного вы от него не получите. Ну кроме половины питания на выходе.
Усилитель с изменяемым коэффициентом усиления.

Примем R1=R2=R3=R. И введем некую переменную А, которая может принимать значения от 1 до 0 в зависимости от поворота движка переменного резистора R3.
Тогда коэффициент усиления можно определить так:
K=2A-1
Входное сопротивление практически не зависит от положения движка переменного резистора.
Так, с усилителями разобрались - дальше у нас по плану - фильтры.
Публикация: radiokot.ru
Смотрите другие статьи раздела Начинающему радиолюбителю.
Читайте и пишите полезные комментарии к этой статье.
<< Назад
Последние новости науки и техники, новинки электроники:
Питомцы как стимулятор разума
06.10.2025
Помимо эмоциональной поддержки, домашние питомцы могут оказывать заметное воздействие на когнитивные процессы, особенно у пожилых людей. Новое масштабное исследование показало, что общение с кошками и собаками не просто улучшает настроение - оно действительно способствует замедлению возрастного снижения умственных способностей.
Работа проводилась в рамках проекта Survey of Health, Ageing and Retirement in Europe (SHARE), охватывающего период с 2004 по 2022 год. В исследовании приняли участие тысячи европейцев старше 50 лет. Анализ показал, что владельцы домашних животных демонстрируют более устойчивые когнитивные функции по сравнению с теми, кто не держит питомцев. Особенно выражен эффект оказался у владельцев кошек и собак.
Согласно данным ученых, владельцы собак дольше сохраняют хорошую память, в то время как хозяева кошек медленнее теряют способность к быстрому речевому взаимодействию. Исследователи связывают это с тем, что ежедневное взаимодействие с животными требует внимани ...>>
Мини-ПК ExpertCenter PN54-S1
06.10.2025
Компания ASUSTeK Computer презентовала новый мини-компьютер ASUS ExpertCenter PN54-S1. Устройство ориентировано на пользователей, которым важно сочетание производительности, энергоэффективности и универсальности - от офисных задач до мультимедийных проектов.
В основе ExpertCenter PN54-S1 лежит современная аппаратная платформа AMD Hawk Point, использующая архитектуру Zen 4. Это поколение чипов отличается улучшенным управлением энергопотреблением и повышенной вычислительной мощностью. Новинка доступна в конфигурациях с процессорами Ryzen 7260, Ryzen 5220 и Ryzen 5210, представленных AMD в начале 2025 года. Таким образом, устройство охватывает широкий диапазон задач - от базовых офисных до ресурсоемких вычислений.
Корпус мини-ПК выполнен из прочного алюминия и имеет размеры 130×130×34 мм, что делает его практически незаметным на рабочем столе или за монитором. Несмотря на компактность, внутренняя компоновка позволяет установить два модуля оперативной памяти SO-DIMM ...>>
Глазные капли, возвращающие молодость зрению
05.10.2025
С возрастом человеческий глаз постепенно теряет способность четко видеть на близком расстоянии - развивается пресбиопия, или возрастная дальнозоркость. Этот естественный процесс связан с утратой эластичности хрусталика и ослаблением цилиарной мышцы, отвечающей за фокусировку. Миллионы людей по всему миру сталкиваются с необходимостью носить очки для чтения или прибегают к хирургическим методам коррекции. Однако исследователи из Центра передовых исследований пресбиопии в Буэнос-Айресе представили решение, которое может стать удобной и неинвазивной альтернативой - специальные глазные капли, способные улучшать зрение на длительный срок.
Разработку возглавила Джованна Беноцци, директор Центра. По ее словам, цель исследования состояла в том, чтобы предоставить пациентам с пресбиопией эффективный и безопасный способ коррекции зрения без хирургического вмешательства. Новые капли, созданные на основе пилокарпина и диклофенака, показали убедительные результаты: уже через час после первого пр ...>>
Случайная новость из Архива Модульный смартфон Puzzlephone
03.11.2015
Финский стартап Circular Devices запустил сбор средств на запуск производства представленного в декабре 2014 г. модульного смартфон Puzzlephone на площадке Indiegogo. Стартап уже получил $24,4 тыс. от 52 пользователей. За предстоящие 42 дня необходимо собрать еще $225,6 тыс. (всего $250 тыс.), тогда кампания будет признана успешной.
На выбор предлагается три модели PuzzlePhone - The 1st Edition, Puzzlephone и Limited Edition. Первая модель оснащена 16 ГБ памяти, вторая - 32 ГБ, третья - 64 ГБ. Помимо памяти, модели будут отличаться материалами корпуса: в двух последних будут присутствовать металлические элементы.
Стоимость The 1st Edition составляет $333 или 299 евро, Puzzlephone - $444 или 399 евро, Limited Edition - $777 или 699 евро.
В розничную продажу впоследствии Circular Devices планирует выпустить только Puzzlephone. Две другие модели смогут получить только первые 250 заказчиков. Доставить устройства стартап обещает в осенью 2016 г.
Puzzlephone - самый простой модульный смартфон, он состоит всего из трех деталей: Spine, Heart и Brain. Spine - самая крупная деталь. Она содержит ЖК-экран, кнопки, динамики и микрофон. Heart включает батарею и второстепенные электронные компоненты, которые могут служить различным целям. И, наконец, модуль Brain содержит основные электронные компоненты.
Диагональ экрана составляет 5 дюймов, разрешение - 1920 x 1080 пикселей. Разрешение основной камеры - 12 МП, фронтальной - 5 МП. Емкость батареи - 2800 мАч. Процессор - 8-ядерный, на 64-разрядной архитектуре ARM. Объем оперативной памяти - 3 ГБ.
Аппарат поддерживает LTE, имеет акселерометр, гироскоп, датчики приближения и освещенности. Зарядка осуществляется через порт USB-C. Вес смартфона - 179 г. Цель стартапа "Наша задача - разработать надежный, ремонтопригодный и модернизируемый модульный мобильный телефон для пользователей и открыть новый рыночный сегмент для производителей электроники"", - говорится на промо-сайте Puzzlephone.
Цена за базовую модель - $333 По задумке авторов, пользователь Puzzlephone сможет самостоятельно менять модули, собирая смартфон с необходимой ему функциональностью, а также заменять модули в случае их поломки. В свою очередь, производители смогут выпускать модули с различными характеристиками и функционалом.
|
Другие интересные новости:
▪ Воздух храма опасен для здоровья
▪ Сети мобильных операторов перегружены
▪ Компактный прибор для визуализации активности мозга
▪ В состав пара вейпов входят токсичные металлы
▪ Обнаружены бактерии, питающиеся вирусами
Лента новостей науки и техники, новинок электроники
Интересные материалы Бесплатной технической библиотеки:
▪ раздел сайта Электромонтажные работы. Подборка статей
▪ статья Луций Апулей. Знаменитые афоризмы
▪ статья Какой пассажирский самолет самый большой? Подробный ответ
▪ статья Экспедитор. Типовая инструкция по охране труда
▪ статья Советы по уходу за домашними электрическими приборами и электропроводкой. Энциклопедия радиоэлектроники и электротехники
▪ статья Лабораторный импульсный блок питания на микросхеме L4960, 220/5-40 вольт 2,5 ампера. Энциклопедия радиоэлектроники и электротехники
Оставьте свой комментарий к этой статье:
Главная страница | Библиотека | Статьи | Карта сайта | Отзывы о сайте

www.diagram.com.ua 2000-2025
|