Бесплатная техническая библиотека
Приближенный расчет годовой выработки электроэнергии ветроагрегатом. Энциклопедия радиоэлектроники и электротехники

Энциклопедия радиоэлектроники и электротехники / Альтернативные источники энергии
Комментарии к статье
Выработка электроэнергии ветроагрегатом в месте его установки зависит от энергетических характеристик ветра и конструкции ветроагрегата.
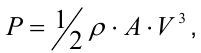
Мощность ветрового потока вычисляется по следующей формуле:
, где:
P - мощность ветрового потока (Вт);
ρ - плотность воздуха (1,225 кг/м3, при обычных условиях);
А - поперечная площадь сечения ветрового потока (м2);
V - скорость ветра (м/с).
Если известна средняя скорость ветра, например, за год и распределение скоростей ветра имеет типичный характер, то средняя мощность ветрового потока определяется из выражения:

где: Рc - средняя мощность ветра (Вт); Vc - средняя скорость ветра (м/с).
Современные ВЭУ способны преобразовывать только около 25% полной мощности воздушного потока в полезную мощность, поэтому:

где: PВЭУ - мощность на выходе ветроагрегата (Вт); АK - площадь поверхности, ометаемой ветроколесом (м2); VC - средняя скорость ветра на уровне ступицы ветроколеса (м/с).
Количество энергии, которую вырабатывает ветроагрегат за расчетный период времени можно определить следующим образом:

где: W - количество вырабатываемой энергии (кВтч); T - расчетное время работы ветроагрегата (ч).
Среднее количество энергии, которую ветроагрегат выработает за год находится по формуле:

где: WС,Г - среднегодовая выработка энергии ветроагрегатом (кВтч/год); VС,Г - среднегодовая скорость ветра (м/с).
Таким образом, для ветроагрегата среднегодовая выработка электроэнергии зависит от диаметра ветроколеса и среднегодовой скорости ветра.
Пример
Определим среднегодовую выработку электроэнергии ветроагрегатом УВЭ-500 в пос.Кулунда (Алтайский край).
Диаметр ветроколеса УВЭ-500:

Среднегодовую скорость ветра для пос.Кулунда определим из (2).


Много это или мало?
Один крестьянский дом в зависимости от размеров хозяйства потребляет за год от 1000 до 4000 кВтч электроэнергии.
Итак, одна ветроустановка УВЭ-500 с АБ способна обеспечить крестьянскую семью электроэнергией, включая освещение, телевизор, радио и холодильник, т.е. практически все, но без электротепловых приборов.
Литература
1. Справочник-каталог "Оборудование нетрадиционной и малой энергетики". М: АО "ВИЭН", 2000, 167 с.
2. Метеорологический ежемесячник,Ч.2, вып.1-34, издание периодическое, Л. 1966-1975.
Авторы: Каргиев В.М., Мартиросов С.Н. и др.
Смотрите другие статьи раздела Альтернативные источники энергии.
Читайте и пишите полезные комментарии к этой статье.
<< Назад
Последние новости науки и техники, новинки электроники:
Польза белкового завтрака
14.01.2026
Правильное питание по утрам играет ключевую роль в поддержании здоровья и контроле веса. Многочисленные исследования подтверждают, что состав завтрака может влиять на аппетит в течение всего дня и качество употребляемой пищи. Австралийские ученые провели масштабный эксперимент, который показал, что употребление белковой пищи с утра помогает дольше чувствовать сытость и предотвращает переедание.
В исследовании участвовали более 9 тысяч человек среднего возраста 46 лет. В период с 2011 по 2012 год специалисты анализировали рационы респондентов, оценивая долю основных макронутриентов. В среднем участники потребляли 43% углеводов, 31% жиров, 18% белков, 2% клетчатки и 4% алкоголя. Такой рацион позволил ученым проследить взаимосвязь между утренним приемом пищи и пищевым поведением в течение дня.
Выяснилось, что участники, чей завтрак содержал недостаточное количество белка, ощущали повышенный аппетит в течение дня. Они ели больше, чем необходимо, и часто выбирали продукты с высоким со ...>>
Технология SmartPower HDR
14.01.2026
Ноутбуки стремительно развиваются в плане графики и мультимедийных возможностей, но яркие дисплеи с высоким динамическим диапазоном (HDR) часто становятся серьезной нагрузкой для аккумуляторов. Длительная работа с видео высокого качества или играми в HDR приводит к быстрой разрядке батареи, что ограничивает мобильность пользователей и снижает комфорт работы. Решить эту проблему призвана новая технология SmartPower HDR, разработанная совместно компаниями Samsung Display и Intel.
Суть технологии заключается в динамическом управлении напряжением OLED-панелей. Чипсет ноутбука в реальном времени анализирует пиковую яркость каждого кадра и передает эти данные контроллеру дисплея, который оптимизирует подачу напряжения в зависимости от количества активных пикселей. В отличие от традиционных режимов HDR, где яркость часто фиксируется на максимальном уровне, SmartPower HDR адаптируется к конкретному контенту, что снижает энергопотребление без потери качества изображения.
Технология позвол ...>>
Недосып существенно сокращает жизнь
13.01.2026
Сон является одной из самых фундаментальных потребностей человека. Он влияет на обмен веществ, работу сердца и мозга, иммунитет и общее самочувствие. Современный ритм жизни часто заставляет людей жертвовать сном ради работы, учебы или развлечений, но ученые предупреждают: регулярный недосып может иметь далеко идущие последствия для здоровья и долголетия.
Исследователи из Орегонского университета здравоохранения и науки пришли к выводу, что сон менее семи часов в сутки связан с сокращением продолжительности жизни. По данным специалистов, хроническая нехватка сна не только вызывает усталость и снижение работоспособности, но и постепенно сказывается на здоровье органов и систем, увеличивая риски развития различных заболеваний.
Для анализа ученые использовали обширную национальную базу данных США, сопоставляя показатели ожидаемой продолжительности жизни на уровне штатов с результатами опросов Центров контроля и профилактики заболеваний за период с 2019 по 2025 годы. Они учитывали мно ...>>
Случайная новость из Архива Превращение обычного материала в магнит
10.08.2020
Ферромагнетизм - это явление, возникающее в материале, когда большинство электронов его атомов вращаются в одном направлении. У немагнитных материалов противоположно направленные спины электронов обычно нейтрализуют друг друга, уничтожая магнитное поле.
В мире существует не так много веществ, которые изначально проявляют ферромагнитные свойства. Наиболее распространенные из них нам хорошо известны: это железо, кобальт и никель, а также их сплавы. Вот почему при создании электронных устройств арсенал инженеров так ограничен этой троицей.
Однако ученые уверяют, что им удалось вызвать магнетизм в материале, который раньше магнитным не был. Это пирит, "золото дураков" - минерал, который неопытные старатели часто принимают за золотые самородки. С помощью метода, известного как электролитический гейттинг, исследователи наделили его нехарактерными свойствами.
Сначала они поместили пирит в контакт с электролитом, после чего применили к соединению слабый - всего в 1 вольт - разряд. Это позволило переместить положительно заряженные молекулы в области соприкосновения пирита и электролита, создав тем самым измеримую магнитную силу. Интересно, что, как только напряжение было отключено, исчез и магнетизм. Данная особенность может помочь при проектировании электроники будущего поколения.
"Подавая напряжение, мы фактически вливаем электроны в материал. Получается, что если достичь достаточно высокой концентрации электронов, то материал самопроизвольно приобретает магнитные свойства. Раньше все это обсуждалось лишь в теории, и мы были чертовски удивлены, что наш метод сработал. Уверен, что раз опыт удался с пиритом, то в будущем мы сможем сделать ферромагнетиками и другие материалы", - поделился с прессой Крис Лейтон, ведущий автор исследования.
|
Другие интересные новости:
▪ BGA5L1BN6 - малошумящий усилитель для диапазона 868 МГц
▪ Итальянский секрет долголетия
▪ Очки Xiaomi MIJIA Smart Audio Glasses
▪ Ученые обнаружили в метеорите алмазы с погибшей протопланеты
▪ Разработан векторный видеокодек
Лента новостей науки и техники, новинок электроники
Интересные материалы Бесплатной технической библиотеки:
▪ раздел сайта Радиоуправление. Подборка статей
▪ статья Чжуан-цзы. Знаменитые афоризмы
▪ статья Когда произошло первое столкновение космических спутников? Подробный ответ
▪ статья Разгрузка железнодорожных вагонов. Типовая инструкция по охране труда
▪ статья Метроном музыканта. Энциклопедия радиоэлектроники и электротехники
▪ статья Тонкомпенсированный регулятор громкости с активной бас-коррекцией. Энциклопедия радиоэлектроники и электротехники
Оставьте свой комментарий к этой статье:
Главная страница | Библиотека | Статьи | Карта сайта | Отзывы о сайте

www.diagram.com.ua
2000-2026