Menu Home

Бесплатная техническая библиотека для любителей и профессионалов Бесплатная техническая библиотека


Кварцевые часы. Детская научная лаборатория

Детская научная лаборатория

Справочник / Детская научная лаборатория

Комментарии к статье Комментарии к статье

Который час?

Ответ на этот вопрос мы привыкли находить, взглянув на часы; ручные, карманные, настольные, стенные, уличные, башенные. Можно узнать время по телефону и по радио. Вещательные станции Советского Союза передают сигналы точного времени четыре раза в сутки.

А как следили за временем наши предки?

Пять тысяч лет назад люди для этого пользовались солнечными Часами - обыкновенным шестом, установленным вертикально и отбрасывающим в разное время суток тень разной длины и направления.

Позже время стали измерять с помощью водяных и песочных часов. Точность этих примитивных приборов была, разумеется, весьма приближенной.

К XI столетию нашей эры относится изобретение механических - башенных часов, а пятьсот лет спустя появились первые пружинные часы. Однако и они не отличались большой точностью, так как регулятор скорости движения-балансир - у них колебался неравномерно. Этот недостаток удалось устранить, когда было открыто свойство свободно подвешенного маятника сохранять постоянным период своих колебаний. Связав маятник с часовым механизмом, получили прибор для измерения времени с достаточной точностью. Непрерывное конструктивное совершенствование маятниковых часов сделало их надежным измерителем времени.

Требовательные потребители

Но наука и техника не стоят на месте. Одновременно с их развитием все возрастали требования к точности определения времени. Точное до одной секунды время перестало удовлетворять многих его "потребителей". Они хотели знать время с точностью до сотых, тысячных, даже десятитысячных долей секунды.

Это были не только астрономы, изучающие движение небесных светил. Самого точного времени требовали штурманы кораблей и самолетов для правильной ориентировки на море и в воздухе, топографы и геодезисты, ведущие съемки местности. Чтобы установить, в каком пункте земного шара они находятся, им надо было определить географическую широту - расстояние от экватора - и долготу - угол между плоскостью меридиана данного места и плоскостью нулевого меридиана. Чтобы правильно определить долготу, необходимо с предельной точностью знать местное время и время на нулевом меридиане, так как долготу вычисляют из разности этих двух величин.

Пусть по звездам определено, что в данный момент в данном месте 23 часа 30 мин. Часы, установленные по времени нулевого меридиана и сверенные по радио, показывают 21 час 30 мин. Разница составляет два часа. Известно, что Земля за сутки, делает один оборот с запада на восток вокруг своей оси, т. е. поворачивается на 360°, а за один час - на 360:24 = 15°. За два часа она повернется на 30°. Следовательно, наблюдатель находится на 30° восточной долготы.

Точное время необходимо знать также геологам, гравиметристам, изучающим изменения силы тяжести в различных точках земной поверхности, что имеет большое значение для разведки полезных ископаемых.

Небесные часы

Как же определяют точное время, играющее такую важную роль в жизни людей? С какими сверхточными часами сверяют показания своих часов ученые? Эти замечательные часы созданы самой природой. Их циферблат - ночное небо, а цифрами, обозначающими часы, минуты и секунды, служат звезды. Со строгим постоянством они следуют по своему извечному пути на небосводе. Неизменно, в точно установленный астрономами момент каждая звезда достигает своего наивысшего положения и пересекает небесный меридиан. Достаточно уловить это мгновение, чтобы узнать идеально точное время. Справиться с этой задачей астрономам помогает "стрелка" небесных часов - специальная астрономическая труба, называемая пассажным инструментом. Вращаясь одновременно с Землей, пассажный инструмент всегда направлен по меридиану, обозначенному в поле зрения инструмента тонкой вертикальной нитью. Отметив прохождение звезды через эту нить, астроном вычисляет, какую поправку он должен внести в показания своих часов.

Каждую, ночь астрономы всех обсерваторий мира садятся за пассажные инструменты. Но далеко не всегда погода благоприятствует наблюдениям. Для них необходимо ясное небо, а, например, в Москве безоблачных ночей насчитывают только около 90 в году, в солнечном Ташкенте - примерно 250. Нередко небо бывает затянуто тучами целый месяц кряду, а иногда и дольше. Надо было найти способ устанавливать точное время и в эти вынужденные перерывы от одного астрономического наблюдения до другого. Так возникла задача "хранения" времени. Разрешение этой сложной задачи было облегчено созданием высокоточных астрономических часов.

Два маятника

Основная и самая ответственная часть астрономических часов - маятник. Это понятно. Ведь главное достоинство часов заключается в равномерности и постоянстве их хода. Но часы могут идти равномерно лишь в том случае, если длина маятника всегда остается строго постоянной и амплитуда его качаний неизменна. А что может влиять на эти величины? Прежде всего изменения температуры и воздушного давления. Отсюда вытекает, что маятник должен быть сделан из материала, на который изменения температуры оказывают наименьшее влияние. Таким материалом оказался инвар - сплав, состоящий из 36% никеля и 64% стали и обладающий коэффициентом линейного расширения, в 10-12 раз меньшим, чем сталь. Из инвара и изготовили маятник. Конструкторы астрономических часов приняли и другие меры предосторожности. Они поместили часы в подвале, где температура мало изменяется, и заключили их в герметически закрытый медный цилиндр со стеклянным колпаком. Из цилиндра почти полностью выкачан воздух, и атмосферное давление в нем постоянно поддерживается в пределах 20-25 мм ртутного столба. Часы установили на специальном, изолированном от здания фундаменте. Поэтому они мало чувствительны к вибрациям здания, в котором они находятся.

Позаботились и о том, чтобы освободить маятник от всякой, даже малейшей, механической нагрузки. В этом и состоит основная идея высокоточных астрономических часов. Свободно качающийся на подвесе маятник, о котором мы рассказали, не связан с какими-либо передаточными и указывающими время механизмами. Он так и называется - "свободный" маятник. Его задача ограниченна. Он лишь отмеряет время, а вся "черная" - механическая работа возложена на другой, вспомогательный маятник.

Раскачивающие импульсы свободный маятник получает через каждые 30 сек. Их посылает ему по проводам вспомогательный маятник. С помощью специальных электрических приборов свободный маятник как бы командует вспомогательным, заставляя его колебаться строго синхронно с собой. Вспомогательный маятник управляет передаточным механизмом, который передвигает стрелки на циферблате. Эти вторые часы, связанные электрическими проводами с первыми, можно установить где угодно, на любом расстоянии от основного маятника - подлинного хранителя времени.

Все астрономические обсерватории и метрологические институты мира используют сейчас в своей работе часы с двумя маятниками. Точность таких часов чрезвычайно высока: их ход, будучи отрегулирован, изменяется от суток к суткам не более чем на 0,003 сек. Такая точность представляется сказочной, однако и она не достаточна для современной науки, ибо погрешность даже в несколько тысячных долей секунды препятствует изучению некоторых явлений, интересующих астрономов, метрологов и геофизиков.

Чудесное свойство кристаллов

Где же искать выход? Механики как будто исчерпали все свои возможности и достигли предела: дальнейшее усовершенствование маятниковых часов казалось немыслимым. И тогда за конструирование астрономических часов взялись электрики и радиоинженеры.

Маятник отжил свой век, утверждали они. Даже поставленный в идеальные условия, маятник не способен удовлетворить возросших требований ученых. Значит, надо заменить его другим регулятором, обеспечивающим получение колебаний постоянной частоты.

В поисках такого регулятора они вспомнили о кварце.

Кристалла кварца и его оси

Кварцевые часы
Рис. 1

В 1880 году было открыто замечательное свойство некоторых кристаллов, наиболее ярко выраженное в кварце. Кварц обычно встречается в виде кристаллов-шестигранников с заостренными концами пирамидальной формы (рис. 1,а). Линия zz представляет собой оптическую ось кристалла. Если разрезать кристалл поперек, перпендикулярно к оптической оси, то получится шестиугольник, все углы которого равны 120° (рис. 1,б). Линии хх, х1х1 Х2Х2, проходящие через биссектрисы этих углов, обозначают электрические оси, линии уу, У1У1, У2У2 - механические оси кристалла. Оказалось, что если из кристалла кварца вырезать пластинку, поверхности которой перпендикулярны одной из его электрических осей, то при механическом сжатии или растяжении пластинки на ее поверхностях возникают электрические заряды. Это явление получило название прямого пьезоэлектрического эффекта (древнегреческое слово "пьезо" означает: давлю, сжимаю.).

Обратный пьезоэлектрический эффект выражается в деформации кварцевой пластинки, помещенной в электрическое поле.

Радиолюбителям-коротковолновикам хорошо известно это свойство кварца. Они знают, что кварцевая пластинка обладает способностью поддерживать постоянство частоты генератора. Кварцевые стабилизаторы широко применяются на радиостанциях.

Вот эту-то стабилизующую способность кварца решили использовать и создатели нового хранителя времени.

Кварцевые часы

Конструкторы кварцевых часов вырезали из кристалла прямоугольный брусок сечением 7х7 мм и длиной около 60 мм. На две противоположные поверхности бруска они нанесли тончайший слой золота. Получился конденсатор, диэлектриком которого служит брусок, а обкладками - два слоя металла. Назначение этого устройства в кварцевых часах то же, что и у маятника в обычных часах: это регулятор. И регулятор, на который можно вполне положиться.

Кристалл кварца в частотозадающей цепи триода

Кварцевые часы
Рис. 2

Затем кварц включили в схему лампового генератора. Кристалл поместили в цепь сетка - катод генераторной лампы - триода (рис. 2). Параллельно поставили сопротивление большой величины. В анодную цепь схемы включили колебательный контур, состоящий из катушки индуктивности и конденсатора. Это необходимо для того, чтобы благодаря связи через емкость анод - сетка лампы были созданы условия для поддержания незатухающих колебаний. Контур настроили так, чтобы его собственная частота была выше частоты колебаний кварцевого бруска.

Таково в общих чертах устройство кварцевого генератора - основной части кварцевых часов. Их точность находится в прямой зависимости от стабильности частоты генератора. Постоянство собственных колебаний кварца очень велико. На него не оказывают действия ни изменения силы земного притяжения, ни сейсмические колебания земной коры. Однако он чувствителен к колебаниям температуры и атмосферного давления. Для того чтобы температура кварца оставалась постоянной, конструкторы приняли специальные меры. Они поместили кварцевый генератор в термостат с многослойными стенками, внутри которого поддерживается постоянная температура с точностью до одной сотой градуса. Такое постоянство температуры достигается электрическим обогревом термостата, управляемым ртутным контактным термометром. Это обеспечивает сохранение частоты с точностью около 1*10-8. Сам кварц заключили в герметический сосуд, в котором создали вакуум.

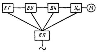
Кварцевый генератор с делителями частоты

Кварцевые часы
Рис. 3

Конструкторы выточили из кристалла кварца брусок такой формы и размеров, чтобы частота его собственных колебаний составляла 100 кГц. Но ток такой частоты не пригоден для вращения мотора, приводящего в движение часовой механизм. Пришлось создать ряд промежуточных устройств, показанных на блок-схеме (рис. 3).

Здесь конструкторам очень помогла электроника.

Ряд электронных генераторных схем обладает способностью синхронизироваться с частотой другого генератора, если она в кратное число раз выше или ниже собственной частоты синхронизируемого генератора или достаточно близка к такому кратному значению. Конструкторы кварцевых часов использовали способность таких схем, как, например, мультивибратор или блокинг-генератор, синхронизироваться с более высокими частотами, чем их собственная. Такой синхронизированный, более высокой частотой генератор обычно называют делителем частоты.

Наивысшей частотой тока, могущего приводить во вращение синхронный мотор, является частота около 1000 Гц. Однако делитель частоты с коэффициентом деления 1:100 работает очень неустойчиво. Поэтому для получения частоты в 1000 Гц, синхронной с частотой кварца в 100 кГц, пришлось установить ряд делителей с коэффициентами 1:4 и 1:5, синхронизирующих друг друга последовательно.

Применяемые в качестве делителей частоты генераторы обладают большим количеством гармоник. Надо было предотвратить проникновение вредных высокочастотных колебаний в схему кварцевого генератора, где они могли вызвать ухудшение стабильности.

Чтобы этого не случилось, между кварцевым генератором и первым делителем частоты включили буферный усилитель, работающий без сеточных токов. Такой режим способствует уменьшению нагрузки кварцевого генератора и повышению стабильности его работы.

В схемах делителей частоты обычно применяются маломощные лампы. Ток, который они дают, слишком слаб, чтобы вращать синхронный мотор, приводящий в движение часовой механизм с секундным контактом. Поэтому после делителя частоты (дающего ток с частотой 1000 Гц) включили усилитель, отдающий в обмотки мотора мощность в несколько ватт.

По стабильности кварцевые часы превосходят все существующие маятниковые часы. Среднее суточное колебание их хода составляет две десятитысячные доли секунды.

Создание сверхточные часов - выдающееся достижение современной науки.

Кварцевыми часами уже обзавелись многие научные учреждения. В Москве, в Центральном научно-исследовательском институте геодезии, аэросъемки и картографии неустанно отмеряют секунды первые отечественные кварцевые часы, построенные П. С. Поповым. Кварцевыми часами располагают институт радиоизмерений, астрономический институт имени Штернберга и другие институты и обсерватории.

Энтузиасты нового способа, измерения времени утверждают что кварцевые часы скоро полностью вытеснят маятниковые и станут единственными хранителями, времени. Находятся и скептики, оспаривающие подобные утверждения. Не отрицая очевидных преимуществ кварцевых часов, они указывают и на их недостатки.

О достоинствах кварцевых часов мы уже говорили; это - пока непревзойденная их точность и постоянство хода, независимость почти от всех внешних факторов.

Каковы же их недостатки?

Астрономы требуют, чтобы часы, с помощью которых они измеряют время, могли идти безостановочно в течение двух, трех лет и более. Удовлетворяют ли этому требованию кварцевые часы? Не вполне. Вспомним, что они питаются током от электрической сети. Прекратит станция подачу тока, и часы остановятся. Но ведь этого не произойдет, если питать часы не от сети, а от аккумуляторов.

- Верно, - соглашаются скептики. - А как быть со старением кварца, с износом радиоламп?

Действительно, кварц с течением времени стареет, и частота его колебаний изменяется. Нельзя поручиться и за то, что какая-нибудь лампа внезапно не выйдет из строя. Однако энтузиастов кварца не страшит и такая случайность. Они устанавливают в своих лабораториях не одни часы, а трое, работающих синхронно. Не беда, если одни из них остановятся. Пока их не починят, хранить время будут двое других.

Спор продолжается, а между тем десятки кварцевых часов исправно служат науке. Сегодня их точность удовлетворяет ученых, проводящих самые тонкие исследования. А что будет завтра? Не удастся ли найти новый эталон времени, еще более точный? Быть может в основу такого эталона будут положены молекулы, точнее, частота их колебаний. Советские ученые уже работают и в этом направлении.

Автор: А.Бродский

 Рекомендуем интересные статьи раздела Детская научная лаборатория:

▪ Определимся без гироскопа

▪ Только для ушей собаки

▪ Микроскоп из лазерной указки

Смотрите другие статьи раздела Детская научная лаборатория.

Читайте и пишите полезные комментарии к этой статье.

<< Назад

Последние новости науки и техники, новинки электроники:

Оптимальная продолжительность сна 12.11.2025

Сон играет ключевую роль в поддержании здоровья, когнитивных функций и общего самочувствия. Несмотря на широко распространенный стереотип о восьмичасовом сне, последние исследования показывают, что оптимальная продолжительность сна для большинства здоровых взрослых ближе к семи часам. Эволюционный биолог из Гарварда, Дэниел Э. Либерман, утверждает, что традиционная норма восьми часов сна - это скорее культурное наследие индустриальной эпохи, чем биологическая необходимость. По его словам, полевые исследования, проведенные в сообществах, не использующих электричество, показывают, что средняя продолжительность сна составляет 6-7 часов, что значительно отличается от общепринятого стандарта. Современные эпидемиологические данные подтверждают этот взгляд. Исследования выявили так называемую "U-образную кривую" зависимости между продолжительностью сна и рисками для здоровья. Минимальные показатели заболеваемости и смертности наблюдаются именно у людей, спящих около семи часов в сутки. ...>>

Дефицит кислорода усиливает выброс закиси азота 12.11.2025

Парниковые газы играют ключевую роль в изменении климата, а закись азота (N2O) - один из наиболее опасных среди них. Этот газ не только втрое сильнее углекислого газа в удержании тепла, но и разрушает озоновый слой. Недавнее исследование американских ученых показало, что микробы в зонах с низким содержанием кислорода активно производят N2O, усиливая глобальные климатические риски. Команда из Университета Пенсильвании изучала прибрежные воды у Сан-Диего и провела наблюдения на глубинах от 40 до 120 метров в Восточной тропической северной части Тихого океана - одной из крупнейших зон дефицита кислорода. Исследователи сосредоточились на том, как морские микроорганизмы превращают нитраты в закись азота. В ходе работы выяснилось, что существует два пути образования N2O. Один путь начинается с нитрата, другой - с нитрита. На первый взгляд более короткий путь должен быть эффективнее, однако микробы, использующие нитрат, продуцируют больше газа, поскольку этот "сырьевой" источник более д ...>>

Омега-3 помогают молодым кораллам выживать 11.11.2025

Сохранение коралловых рифов становится все более актуальной задачей в условиях глобального изменения климата. Молодые кораллы особенно уязвимы на ранних стадиях развития, когда стрессовые условия и нехватка питательных веществ могут привести к высокой смертности. Недавнее исследование ученых из Технологического университета Сиднея показывает, что специальные пищевые добавки способны существенно повысить выживаемость личинок кораллов. В ходе работы исследователи разработали особый состав "детского питания" для коралловых личинок. В него вошли масла, богатые омега-3 жирными кислотами, а также важные стерины, необходимые для формирования клеточных мембран. Личинки, получавшие эти добавки, развивались быстрее, становились крепче и демонстрировали более высокую устойчивость к стрессовым факторам. Особое внимание ученые уделили липидам. Анализ показал, что личинки активно усваивают эти вещества, что напрямую влияет на их жизнеспособность. Стерины, содержащиеся в корме, повышают устойчи ...>>

Случайная новость из Архива

Новая итерация сверхточных атомных часов 01.12.2018

Атомные часы не представляют собой ничего нового - данный концепт работает уже достаточно долго и характеризуется действительно высоким уровнем точности, благодаря чему они завоевали себе действительно высокую популярность среди пользователей. Однако специалисты из Национального Института Стандартов и Технологий сегодня выпустили отчет относительно своих новых экспериментальных атомных часов с улучшенной точностью и чувствительностью, благодаря чему они могут засекать сигналы радиации, гравитации Земли и даже темной материи - свойство, которое может сыграть определяющую роль в дальнейшем течении развития данных технологий.

Каждый из созданных ими экспериментальных атомных часов представляет собой модуль с тысячами атомов иттербия, составленные в матричные сетки таким образом, чтобы отсчитывать время, переключаясь между двумя энергетическими уровнями. Сравнивая между собой два и более таких экспериментальных модуля, специалисты могут улучшить систематическую стабильность и репродуктивность частоты отсчета. Благодаря ему наилучший результат позволяет атомам высвобождать более четкую и точечную вибрацию, тем самым делая частоту пульсацию еще более точной.

Кроме того, специалисты установили, что изменения частоты их экспериментальных атомных часов происходит с показателем в 0, 00000000000000000032 в течение дня, что указывает на несомненно более точный их характер. Применительно к изучению космоса и особенностей нашей собственной планеты, экспериментальные атомные часы могут стать действительно полезным и функциональным помощником, который позволит более эффективно заниматься космическими расчетами.

Другие интересные новости:

▪ В свежевыкрашенном помещении становится чище

▪ Великобритания построит больших подводных роботов

▪ 2,5-дюймовые накопители Transcend SSD250N для сетевых хранилищ

▪ Модули памяти DDR3L-1333 and DDR3L-1600 от Silicon Power

▪ Ревматиков и спортсменов - на мороз

Лента новостей науки и техники, новинок электроники

 

Интересные материалы Бесплатной технической библиотеки:

▪ раздел сайта Гирлянды. Подборка статей

▪ статья Экстремальные ситуации аварийного характера на городском транспорте. Основы безопасной жизнедеятельности

▪ статья Что такое квантовая теория? Подробный ответ

▪ статья Авокадо. Легенды, выращивание, способы применения

▪ статья Широкодиапазонный функциональный генератор. Энциклопедия радиоэлектроники и электротехники

▪ статья Регулируемый блок питания, 1-37 вольт 1,5 ампера. Энциклопедия радиоэлектроники и электротехники

Оставьте свой комментарий к этой статье:

Имя:


E-mail (не обязательно):


Комментарий:





Главная страница | Библиотека | Статьи | Карта сайта | Отзывы о сайте

www.diagram.com.ua

www.diagram.com.ua
2000-2025