Бесплатная техническая библиотека
Секреты резиномотора. Советы моделисту

Справочник / Аппаратура радиоуправления
Комментарии к статье
Долгие годы резиномотор из-за своей простоты в эксплуатации и дешевизны был у моделистов основным двигателем. Однако и сейчас при обилии микродвигателей судомодели и автомодели с резиномотором находят своих горячих сторонников, о чем свидетельствует, в частности, и редакционная почта. Среди ваших вопросов, дорогие читатели, наиболее часто встречаются два. Так, Т. Завгороднего из Волгограда, Е. Щербину из Семипалатинска, А. Жданова из Москвы и других интересует, как рассчитать число оборотов резиномотора, чтобы максимально использовать его энергию, а также с чем связана его максимальная энергоотдача.
Резиномотор работает за счет внутренней энергии растянутых резиновых нитей. Увеличивать свою длину они могут довольно сильно: в 6-7 и более раз, причем различима сорта растягиваются по-разному. Существует несколько формул, которыми могут пользоваться моделисты при расчете резиномотора. По одной из них можно определить относительное удлинение λ (лямбда) - отношение приращения длины к первоначальной. В виде формулы это записывается так:

где 1 - длина резины в свободном состоянии, а Δ1 - приращение длины.
Растягивая резиновую нить, мы затрачиваем определенную энергию, однако обратно получаем лишь 65- 67%. Потеря вызывается затратами на внутреннее трение в самой резине. Следовательно, коэффициент полезного действия (КПД) резиномотора не может быть больше 0,65-0,67.
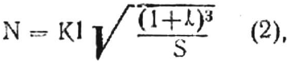
Чтобы накопить в резиномоторе побольше энергии, нужно, сохранив массу резины, увеличить его закрутку. Причем она будет тем меньше, чем толще резиномотор. Это противоречие решается составлением резиномотора из нескольких отдельных нитей. Так как при раскрутке резиномотора потеря мощности вызывается как внутренним трением, так и трением между отдельными нитями, практическое число оборотов всегда меньше, чем то, которое должно бы получиться по расчетам. Предла1аем приближенную формулу для расчета числа оборотов:

здесь: N - максимальный завод резиномотора в оборотах, Е - первоначальная длина резиномотора в сантиметрах, λ - максимальное относительное удлинение по данным характеристики резины или полученное опытным путем, S - суммарное сечение нитей резиномотора в см2, К - некоторый опытный коэффициент
Следует сказать, что точность расчета по этой формуле увеличится, если резиномотор перед заводом предварительно вытянуть. Опыты показали, что с увеличением предварительной вытяжки количество оборотов увеличивается, что учитывается введением опытного коэффициента К в формулу 2. Такое влияние на завод объясняется, по-видимому, тем, что распределение трения между волокнами, и в особенности между нитями резиномотора, изменяется.
Значения опытного коэффициента К в зависимости от предварительной вытяжки приведены в таблице.

Чтобы уменьшить трение между полосками, резиномотор обычно смазывают касторкой или глицерином (это повышает и его долговечность). Если принять полезную энергию резиномотора за 100%, то при закручивании без предварительной вытяжки мы потеряем 30-35% на трение, а смазав его и применив предварительную вытяжку от 1 до 3 раз, можно свести потери к 5%.
Автор: А.Шульмейстер
Рекомендуем интересные статьи раздела Моделирование:
▪ Гоночный автомобиль Ленинград-2
▪ Подводная лодка класса ЕЛ-500
▪ Вездеход-внутриход
Смотрите другие статьи раздела Моделирование.
Читайте и пишите полезные комментарии к этой статье.
<< Назад
Последние новости науки и техники, новинки электроники:
Зеленый чай и метаболическое здоровье
23.01.2026
Зеленый чай на протяжении многих лет остается объектом пристального внимания ученых, поскольку его регулярно связывают с профилактикой различных хронических заболеваний. Этот напиток давно вышел за рамки повседневной традиции и стал предметом серьезных биомедицинских исследований. Недавняя научная работа показала, что полезные свойства зеленого чая могут быть гораздо шире, чем считалось ранее, особенно в контексте обмена веществ и здоровья кишечника.
В рамках исследования ученые наблюдали за 40 добровольцами, среди которых 21 человек имел диагностированный метаболический синдром, а 19 участников были здоровыми взрослыми. В течение 28 дней одной группе испытуемых давали экстракт зеленого чая, тогда как другая группа получала плацебо. Такой подход позволил сравнить влияние активных компонентов напитка на разные показатели здоровья.
Результаты показали, что у участников, принимавших экстракт зеленого чая, уровень глюкозы в крови оказался ниже, чем у тех, кто получал плацебо. Этот эф ...>>
Наушники Sony LinkBuds Clip
23.01.2026
Sony представила новую модель беспроводных наушников - LinkBuds Clip. Они заметно отличаются от классических устройств. Это открытые наушники с клипсой, которые не вставляются в ушной канал и не охватывают ухо. Вместо этого они фиксируются на ухе, как кафф или ювелирное украшение, позволяя слушать музыку, не отсекая окружающие звуки.
Это открытые наушники с клипсовым креплением, которые не вставляются в ушной канал и не охватывают ухо целиком. Они фиксируются на внешней части уха, напоминая кафф или декоративный аксессуар, и позволяют слушать музыку, не перекрывая естественные звуки окружающей среды.
В основе модели лежит концепция open-ear, благодаря которой пользователь одновременно слышит воспроизводимый контент и то, что происходит вокруг - шум транспорта, объявления или речь собеседников. По утверждению Sony, такая "всегда открытая" конструкция особенно удобна для повседневного длительного использования, поскольку отпадает необходимость каждый раз ставить воспроизведение на ...>>
Луна поглощает воздух нашей планеты
22.01.2026
Взаимодействие Земли и Луны оказывается не только гравитационным. Новые исследования показывают, что наш естественный спутник постепенно "поглощает" крошечные фрагменты атмосферы Земли, используя для этого солнечный ветер и магнитное поле нашей планеты. Этот процесс исследователи называют космическим каннибализмом.
Еще во времена миссий "Аполлон" в 1970-х годах ученые обнаружили в лунном реголите необычные следы воды, углекислого газа, гелия и азота. Стало ясно, что часть этих веществ, включая ионы азота, попала на Луну из верхних слоев земной атмосферы.
Долгое время считалось, что подобная передача могла происходить только до того, как Земля сформировала свое магнитное поле. Магнитосфера, как считалось, должна была защищать планету и блокировать утечку атмосферных частиц в космос. Новое моделирование показало, что это представление неверно.
Ученые объединили данные лунных образцов с компьютерными моделями и выяснили, что поток ионов усиливается, когда Луна проходит через так ...>>
Случайная новость из Архива Самая дешевая рабочая сила - не китайцы, а роботы
26.07.2012
Китай рискует потерять статус мирового сборочного цеха - все больше компаний планируют отказаться от некогда дешевой китайской рабочей силы и заменить ее роботами. Один из последних примеров - компания Foxconn, производящая электронику. Компания в течение трех лет планирует поставить к сборочным линиям до одного миллиона промышленных роботов. Подобные инициативы существенно изменят рынок труда и повлияют на мировую экономику. Производство все более автоматизируется и в ближайшие десятки лет компании и государства, не способные широко использовать роботов, понесут большие убытки.
Китай, как и многие страны Азии, долгое время оставался местом, где можно было найти большое количество дешевой рабочей силы. Огромная внутренняя миграция, в основном молодых девушек из сельской местности, привела к тому, что в городах появились гигантские заводы, где молодые люди сидят на сборочных линиях и выполняют несложные действия, не требующие никакой квалификации. Только в Foxconn работают около одного миллиона низкооплачиваемых рабочих, не меньше и у компаний Apple, Nintendo, Intel, Dell, Nokia, Microsoft, Samsung, и Sony.
В настоящее время в общежитиях вблизи заводского комплекса Longhua компании Foxconn живут 300 тыс. китайских рабочих. Они собирают продукцию компании Apple, выполняя элементарные операции, вроде наклеивания логотипов. Например, для сборки IPad требуется пять дней и 325 операций.
Однако экономическая эффективность подобного труда с каждым годом падает. Несмотря на то, что по западным меркам заработная плата в 300-400 долл. очень мала, в Китае жизнь дорожает с каждым годом и дальнейшее повышение зарплаты китайским работникам невыгодно для иностранных компаний, а местным компаниям и вовсе "не по плечу".
Гораздо выгоднее заменить их роботами. Даже с учетом невероятно тяжелой рабочей смены (12 часов с двумя перерывами на обед), люди проигрывают роботам. По расчетам специалистов Foxconn, промышленные роботы, оснащенные подвижным манипулятором, лазерами и датчиками давления, могут работать 160 часов в неделю. Проще говоря, один робот может заменить двух рабочих или даже четыре, ведь роботу не нужен перерыв на сон и отдых.
|
Другие интересные новости:
▪ Ноутбуки Latitude 13 Education Series от Dell
▪ MCP1811/12 - семейство линейных регуляторов с ультранизким током покоя
▪ Программа для строительства синтетической ДНК
▪ Эффективные солнечные элементы из множества полусфер
▪ Устройство стирания памяти
Лента новостей науки и техники, новинок электроники
Интересные материалы Бесплатной технической библиотеки:
▪ раздел сайта Гражданская радиосвязь. Подборка статей
▪ статья Тьма египетская. Крылатое выражение
▪ статья Когда появился бокс? Подробный ответ
▪ статья Бобы. Легенды, выращивание, способы применения
▪ статья Сабвуфер для дома, для семьи. Сборка. Энциклопедия радиоэлектроники и электротехники
▪ статья Радиолюбительский блок питания, 1,5-24 вольта 3 ампера. Энциклопедия радиоэлектроники и электротехники
Оставьте свой комментарий к этой статье:
Главная страница | Библиотека | Статьи | Карта сайта | Отзывы о сайте

www.diagram.com.ua
2000-2026