Menu Home

Бесплатная техническая библиотека для любителей и профессионалов Бесплатная техническая библиотека


Вычислительная машина. История изобретения и производства

История техники, технологии, предметов вокруг нас

Справочник / История техники, технологии, предметов вокруг нас

Комментарии к статье Комментарии к статье

Механизация и машинизация вычислительных операций - одно из основополагающих технических достижений второй трети XX века. Подобно тому, как появление первых прядильных машин послужило началом великого промышленного переворота XVIII-XIX веков, создание электронной вычислительной машины стало предвестником грандиозной научно-технической и информационной революции второй половины XX столетия.

Этому важному событию предшествовала длинная предыстория. Первые попытки собрать счетную машину предпринимались еще в XVII веке, а простейшие вычислительные приспособления, типа абака и счет, появились еще раньше - в древности и средневековье.

Вычислительная машина
Абак

Хотя автоматическое вычислительное устройство относится к роду машин, его нельзя поставить в один ряд с промышленными машинами, скажем, с токарным или ткацким станком, ведь в отличие от них оно оперирует не физическим материалом (нитями или деревянными заготовками), а идеальными, не существующими в природе числами. Поэтому перед создателем любой вычислительной машины (будь то простейший арифмометр или новейший суперкомпьютер) стоят специфические проблемы, не возникающие у изобретателей в других областях техники.

Их можно сформулировать следующим образом: 1. Как физически (предметно) представить числа в машине? 2. Как осуществить ввод исходных числовых данных? 3. Каким образом смоделировать выполнение арифметических операций? 4. Как представить вычислителю введенные исходные данные и результаты вычислений?

Одним из первых эти проблемы преодолел знаменитый французский ученый и мыслитель Блез Паскаль. Ему было 18 лет, когда он начал работать над созданием особой машины, с помощью которой человек, даже не знакомый с правилами арифметики, мог бы производить четыре основных действия. Сестра Паскаля, бывшая свидетельницей его работы, писала позже: "Эта работа утомляла брата, но не из-за напряжения умственной деятельности и не из-за механизмов, изобретение которых не вызывало у него особых усилий, а из-за того, что рабочие с трудом понимали его". И это неудивительно. Точная механика только рождалась, и качество, которого требовал Паскаль, превышало возможности его мастеров. Поэтому изобретателю самому нередко приходилось браться за напильник и молоток или ломать голову над тем, как изменить в соответствии с квалификацией мастера интересную, но сложную конструкцию.

Вычислительная машина
Суммирующая машина Паскаля

Первая работающая модель машины была готова в 1642 году. Паскаля она не удовлетворила, и он сразу же начал конструировать новую. "Я не экономил, - писал он впоследствии о своей машине, - ни времени, ни труда, ни средств, чтобы довести ее до состояния быть полезной... Я имел терпение сделать до 50 различных моделей..." Наконец в 1645 году усилия его увенчались полным успехом - Паскаль собрал машину, которая удовлетворяла его во всех отношениях.

Что же представляла из себя эта первая в истории вычислительная машина и каким образом были разрешены перечисленные выше задачи? Механизм машины был заключен в легкий латунный ящичек. На верхней его крышке имелось 8 круглых отверстий, вокруг каждого из которых была нанесена круговая шкала. Шкала крайнего правого отверстия делилась на 12 равных частей, шкала соседнего с ним отверстия - на 20 частей, остальные шесть отверстий имели десятичное деление. Такая градуировка соответствовала делению ливра - основной французской денежной единицы того времени: 1 су = 1/20 ливра и 1 денье = 1/12 су. В отверстиях были видны зубчатые установочное колеса, находившиеся ниже плоскости верхней крышки. Число зубьев каждого колеса было равно числу делений шкалы соответствующего отверстия.

Вычислительная машина
Устройство одного разряда машины Паскаля

Ввод чисел осуществлялся следующим образом. Каждое колесо вращалось независимо от другого на собственной оси. Поворот производился с помощью ведущего штифта, который вставлялся между двумя смежными зубьями. Штифт поворачивал колесо до тех пор, пока не наталкивался на неподвижный упор, закрепленный в нижней части крышки и выступающий внутрь отверстия левее цифры "1" круговой шкалы. Если, например, штифт ставили между зубьями 3 и 4 и вращали колесо до упора, то оно поворачивалось на 3/10 своей полной окружности. Поворот каждого колеса передавался посредством внутреннего механизма цилиндрическим барабанам, оси которых были расположены горизонтально. На боковой поверхности барабанов были нанесены ряды цифр.

Сложение чисел, если сумма их не превышала 9, происходило очень просто и соответствовало сложению пропорциональных им углов. При сложении больших чисел должна была производиться операция, которая называется переносом десятка в старший разряд. Люди, считающие в столбик или на счетах, должны производить ее в уме. Машина Паскаля выполняла перенос автоматически, и это было ее наиболее важной отличительной чертой.

Элементами машины, относящимися к одному разряду, были установочное колесо N, цифровой барабан I и счетчик, состоящий из четырех корончатых колес B, одного зубчатого колеса K и механизма передачи десятков.

Вычислительная машина
Механизм передачи десятков в машине Паскаля

Заметим, что колеса B1, B2 и K не имеют принципиального значения для работы машины и использовались лишь для передачи движения установочного колеса N цифровому барабану I. Зато колеса B3 и B4 являлись неотъемлемыми элементами счетчика и поэтому именовались "счетными колесами". Счетные колеса двух соседних разрядов A1 и A2, были жестко насажены на оси. Механизм передачи десятков, который Паскаль назвал "перевязь", имел следующее устройство. На счетном колесе B1 младшего в машине Паскаля разряда имелись стерженьки C1, которые при вращении оси A1 входили в зацепление с зубьями вилки M, расположенной на конце двухколенного рычага D1. Этот рычаг свободно вращался на оси A2 старшего разряда, вилка же несла на себе подпружиненную собачку. Когда при вращении оси A1 колесо B1 достигало позиции, соответствующей цифре 6, стержни C1 входили в зацепление с зубьями вилки, а в тот момент, когда оно переходило от 9 к 0, вилка выскальзывала из зацепления и под действием собственного веса падала вниз, увлекая за собой собачку. Последняя при этом проталкивала счетное колесо B2 старшего разряда на один шаг вперед (то есть поворачивая его вместе с осью A2 на 36 градусов). Рычаг H, оканчивавшийся зубом в виде топорика, играл роль зацепки, препятствовавшей вращению колеса B1 в обратную сторону при поднимании вилки.

Механизм переноса действовал только при одном направлении вращения счетных колес и не допускал выполнения операции вычитания вращением колес в обратную сторону. Поэтому Паскаль заменил вычитание сложением с десятичным дополнением. Пусть, например, необходимо из 532 вычесть 87. Метод дополнения приводит к действиям: 532-87=532-(100-13)=(532+13)-100=445. Нужно только не забывать вычесть 100. На машине, имевшей определенное число разрядов, об этом, впрочем, можно было не беспокоиться. Действительно, пусть на шестиразрядной машине выполняется вычитание 532-87. Тогда 000532+999913=1000445. Но самая первая единица потеряется сама собой, так как переносу из шестого разряда некуда деться.

Умножение также сводилось к сложению. Так например, если требовалось помножить 365 на 132 необходимо было пять раз выполнить операцию сложения:

365
х132
----
365
365
3650
3650
3650
36500
-----
48180

Но поскольку в машине Паскаля слагаемое вводилось каждый раз заново, использовать ее для выполнения этой арифметической операции было крайне трудно.

Следующий этап в развитии вычислительной техники связан с именем знаменитого немецкого математика Лейбница. В 1672 году Лейбниц посетил голландского физика и изобретателя Гюйгенса и был свидетелем того, как много времени и сил отнимали у него разнообразные математические расчеты. Тогда у Лейбница и появилась мысль о создании арифмометра. "Это недостойно таких замечательных людей, - писал он, - подобно рабам, терять время на вычислительную работу, которую можно было бы доверить кому угодно при использовании машин". Однако создание такой машины потребовало от Лейбница всей его изобретательности. Его знаменитый 12-разрядный арифмометр появился только в 1694 году и обошелся в круглую сумму - 24000 талеров.

В основе механизма машины лежал изобретенный Лейбницем ступенчатый валик, представлявший собой цилиндр с нанесенными на нем зубцами различной длины. В 12-разрядном арифмометре таких валиков было 12 - по одному на каждый разряд числа.

Вычислительная машина
Ступенчатый валик Лейбница

Арифмометр состоял из двух частей - неподвижной и подвижной. В неподвижной помещался основной 12-разрядный счетчик и ступенчатый валик устройства ввода. Установочная часть этого устройства, состоявшая из восьми малых цифровых кругов, была расположена в подвижной части машины. В центре каждого круга располагалась ось, на которую под крышкой машины было насажено зубчатое колесо E, а поверх крышки установлена стрелка, которая вращалась вместе с осью. Конец стрелки мог быть установлен против любой цифры круга.

Вычислительная машина

Вычислительная машина
Арифмометр Лейбница

Ввод данных в машину осуществлялся с помощью особого механизма. Ступенчатый валик S был насажен на четырехгранную ось с нарезкой типа зубчатой рейки. Эта рейка входила в зацепление с десятизубым колесом E, на окружности которого были нанесены цифры 0, 1...9. Поворачивая это колесо так, чтобы в прорези крышки появилась та или другая цифра, перемещали ступенчатый валик параллельно оси зубчатого колеса F основного счетчика. Если после этого поворачивали валик на 360 градусов, то в зацепление с колесом F входили одна, две и т.д. наиболее длинные ступени, в зависимости от величины сдвига. Соответственно колесо F поворачивалось на 0, 1...9 частей полного оборота; также поворачивался диск или ролик R. Со следующим оборотом валика на счетчик вновь переносилось то же число.

Вычислительные машины Паскаля и Лейбница, так же как и некоторые другие, появившиеся в XVIII столетии, не получили широкого распространения. Они были сложны, дороги, да и общественная потребность в подобных машинах была еще не очень острой. Однако по мере развития производства и общества такая потребность стала ощущаться все больше и больше, особенно при составлении различных математических таблиц. Повсеместное распространение в Европе конца XVIII - начала XIX века получили арифметические, тригонометрические и логарифмические таблицы; банки и ссудные конторы применяли таблицы процентов, а страховые компании - таблицы смертности. Но совершенно исключительное значение (в особенности для Англии - "великой морской державы") имели астрономические и навигационные таблицы.

Предсказания астрономов относительно положения небесных тел были в то время единственным средством, позволявшим морякам определять местонахождение их кораблей в открытом море. Эти таблицы входили в "Морской календарь", который выходил ежегодно. Каждое издание требовало огромного труда десятков и сотен счетчиков. Незачем говорить, как важно было избежать при составлении этих таблиц ошибок. Но ошибки все равно были. Сотни и даже тысячи неверных данных содержали также самые распространенные таблицы - логарифмические. Издатели этих таблиц были вынуждены содержать специальный штат корректоров, проверявших полученные вычисления. Но и это не спасало от ошибок.

Положение было настолько серьезным, что английское правительство - первое в мире - озаботилось о создании специальной вычислительной машины для составления подобных таблиц. Разработка машины (ее называют разностной) была поручена известному английскому математику и изобретателю Чарльзу Бэббиджу. В 1822 году была изготовлена действующая модель. Поскольку значение изобретения Бэббиджа, а также значение разработанного им способа машинных вычислений очень велики, следует подробнее остановиться на устройстве разностной машины.

Рассмотрим прежде на простом примере метод, предложенный Бэббиджем для составления таблиц. Допустим, требуется вычислить таблицу четвертых степеней членов натурального ряда 1, 2, 3...

Вычислительная машина

Пусть такая таблица уже вычислена для некоторых членов ряда в колонке 1 - и полученные значения занесены в колонку 2. Вычтем из каждого последующего значения предыдущее. Получится последовательное значение первых разностей (колонка 3). Проделав ту же операцию с первыми разностями, получим вторые разности (колонка 4), третьи (колонка 5) и, наконец, четвертые (колонка 6). При этом четвертые разности оказываются постоянными: колонка 6 состоит из одного и того же числа 24. И это не случайность, а следствие важной теоремы: если функция (в данном случае это функция y(x)=x4, где x принадлежит множеству натуральных чисел) есть многочлен n-й степени, то в таблице с постоянным шагом его n-е разности будут постоянны.

Теперь легко догадаться, что получить требуемую таблицу можно исходя из первой строки с помощью сложения. Например, чтобы продолжить начатую таблицу еще на одну строку, нужно выполнить сложения:

156+24=180

590+180=770

1695+770=2465

4096+2465=6561

В разностной машине Бэббиджа применялись те же десятичные счетные колеса, что и у Паскаля. Для изображения числа использовались регистры, состоящие из набора таких колес. Каждой колонке таблицы, кроме 1, содержащей ряд натуральных чисел, соответствовал свой регистр; всего в машине их было семь, поскольку предполагалось вычислять функции с постоянными шестыми разностями. Каждый регистр состоял из 18 цифровых колес по числу разрядов изображаемого числа и нескольких дополнительных, используемых как счетчик числа оборотов для других вспомогательных целей.

Если все регистры машины хранили значения, соответствующие последней строке нашей таблицы, то для получения очередного значения функции в колонке 2 необходимо было последовательно выполнить число сложений, равное числу сложений имеющихся разностей. Сложение в разностной машине происходило в два этапа. Регистры, содержащие слагаемые, сдвигались так, чтобы произошло зацепление зубцов счетных колес. После этого колеса одного из регистров вращались в обратном направлении, пока каждое из них не доходило до нуля. Этот этап назывался фазой сложения.

По окончании этого этапа в каждом разряде второго регистра получалась сумма цифр данного разряда, но пока еще без учета возможных переносов из разряда в разряд. Перенос происходил на следующем этапе, который назывался фазой переноса, и выполнялся так. При переходе каждого колеса в фазе сложения от 9 к 0 в этом разряде освобождалась специальная защелка. В фазе переноса все защелки возвращались на место специальными рычагами, которые одновременно поворачивали колесо следующего старшего разряда на один шаг. Каждый такой поворот мог в свою очередь вызвать в каком-то из разрядов переход от 9 к 0 и, значит, освобождение защелки, которая снова возвращалась на место, сделав перенос в следующий разряд. Таким образом, возвращение защелок на место происходило последовательно, начиная с младшего разряда регистра.

Такая система получила название сложения с последовательным переносом. Все остальные арифметические операции выполнялись посредством сложения. При вычитании счетные колеса вращались в противоположную сторону (в отличие от машины Паскаля, разностная машина Бэббиджа позволяла это делать). Умножение сводилось к последовательному сложению, а деление - к последовательному вычитанию.

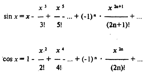
Описанный способ можно было применять не только для вычисления многочленов, но и других функций, например, логарифмических или тригонометрических, хотя в отличие от многочленов они не имеют строго постоянных старших разностей. Однако все эти функции можно представить (разложить) в виде бесконечного ряда, то есть многочлена простого вида, и свести вычисление их значений в любой точке к задаче, которую мы уже рассмотрели. Например, sin x и cos x можно представить в виде бесконечных многочленов:

Вычислительная машина

Эти разложения истинны для всех значений функции от 0 до p/4 (p/4=3, 14/4=0, 785) с очень большой точностью. Для значений x, которые больше p/4, разложение имеет другой вид, но на каждом из этих участков тригонометрическая функция может быть представлена в виде какого-то многочлена. Количество пар слагаемых ряда, которые принимаются в расчет при вычислениях, зависит от точности, которую желают получить. Если, к примеру, требования к точности невелики, можно ограничиться двумя-четырьмя первыми слагаемыми ряда, а остальные отбросить. Но можно взять больше слагаемых и вычислить значение функции в любой точке с какой угодно точностью. (Заметим, что 2!=1•2=2; 3!=1•2•3=6; 4!=1•2•3•4=24 и т.д.) Так вычисление значений любой функции сводилось Бэббиджем к одной простой арифметической операции - сложению. Причем при переходе от одного участка функции к другому, когда требовалось сменить значение разности, разностная машина сама давала звонок (он звонил после выполнения определенного числа шагов вычисления).

Уже одно создание разностной машины обеспечило бы Бэббиджу почетное место в истории вычислительной техники. Однако он не остановился на этом и начал разрабатывать конструкцию гораздо более сложной - аналитической машины, которая стала прямой предшественницей всех современных ЭВМ. В чем же заключалась ее особенность? Дело в том, что разностная машина, по существу, оставалась еще только сложным арифмометром и требовала для своей работы постоянного присутствия человека, который держал в своей голове всю схему (программу) расчетов и направлял действия машины по тому или иному пути. Понятно, что это обстоятельство являлось определенным тормозом при выполнении расчетов. Около 1834 года Бэббиджу пришла в голову мысль: "Нельзя ли создать машину, которая была бы универсальным вычислителем, то есть выполняла бы все действия без вмешательства человека и в зависимости от полученного на определенном этапе решения сама выбирала бы дальнейший путь вычисления?"

По существу это означало создание программно-управляемой машины. Та программа, которая до этого находилась в голове оператора, теперь должна была быть разложена на совокупность простых и ясных команд, которые бы заранее вводились в машину и управляли ее работой. Никто и никогда еще не пытался создать подобной вычислительной машины, хотя сама идея программно-управляемых устройств уже была в то время реализована.

В 1804 году французский изобретатель Жозеф Жаккар придумал ткацкий станок с программным управлением. Принцип его работы сводился к следующему. Ткань, как известно, представляет собой переплетение взаимно перпендикулярных нитей. Переплетение это осуществляется на ткацком станке, в котором нити основы (продольные) продеты через глазки - отверстия в проволочных петлях, а поперечные продергиваются через эту основу в определенном порядке при помощи челнока. При самом простом переплетении петли через одну поднимаются, соответственно приподнимаются и продетые через них нити основы. Между поднятыми и оставшимися на месте нитями образуется промежуток, в который челнок протягивает за собой нить утка (поперечную). После чего поднятые петли опускаются, а остальные приподнимаются. При более сложном узоре переплетения нити следовало приподнимать в других различных комбинациях. Опусканием и подниманием нитей основы вручную занимался ткач, что обычно отнимало много времени.

После 30-летней настойчивой работы Жаккар изобрел механизм, позволявший автоматизировать движение петель в соответствии с заданным законом при помощи набора картонных карт с пробитыми в них отверстиями - перфокарт. В станке Жаккара глазки были связаны с длинными иглами, упирающимися в перфокарту. Встречая отверстия, иглы продвигались вверх, в результате чего связанные с ними глазки приподнимались. Если же иглы упирались в карты в том месте, где отверстий нет, они оставались на месте, удерживая так же связанные с ними глазки. Таким образом, промежуток для челнока, а тем самым и узор переплетения нитей определялся набором отверстий на соответствующих управляющих картах.

Этот же принцип управляющих перфокарт Бэббидж предполагал использовать в своей аналитической машине. Над ее устройством он работал в течение почти сорока лет: с 1834-го до конца своей жизни в 1871 году, но так и не смог ее закончить. Однако после него осталось более 200 чертежей машины и ее отдельных узлов, снабженных множеством подробных примечаний, объясняющих их работу. Все эти материалы представляют огромный интерес и являются одним из удивительнейших в истории техники примеров научного предвидения.

По мысли Бэббиджа, аналитическая машина должна была включать четыре основных блока.

Вычислительная машина
Структура аналитической машины Бэббиджа

Первое устройство, которое Бэббидж назвал "мельница", было предназначено для выполнения четырех основных арифметических действий. Второе устройство - "склад" - предназначалось для хранения чисел (исходных, промежуточных и окончательных результатов). Исходные числа направлялись в арифметическое устройство, а промежуточные и конечные результаты получались из него. Основным элементом двух этих блоков были регистры из десятичных счетных колес. Каждое из них могло устанавливаться в одном из десяти положений и таким образом "запоминать" один десятичный знак.

Память машины должна была включать в себя 1000 регистров по 50 числовых колес в каждом, то есть в ней можно было хранить 1000 пятидесятизначных чисел. Скорость выполняемых вычислений напрямую зависела от скорости вращения цифровых колес. Бэббидж предполагал, что сложение двух 50-разрядных чисел будет занимать 1 секунду. Для переноса чисел из памяти в арифметическое устройство и обратно предполагалось использовать зубчатые рейки, которые должны были зацепляться с зубцами на колесах. Каждая рейка передвигалась до тех пор, пока колесо не занимало нулевое положение. Движение передавалось стержнями и связями в арифметическое устройство, где посредством другой рейки использовалось для перемещения в нужное положение одного из колес регистра. Базовой операцией аналитической машины, как и разностной, являлось сложение, а остальные сводились к ней. Для того чтобы вращать множество шестеренок, требовалось значительное внешнее усилие, которое Бэббидж рассчитывал получить за счет использования парового двигателя.

Третье устройство, управлявшее последовательностью операций, передачей чисел, над которыми производились операции, и выводом результатов, конструктивно представляло из себя два жаккаровых перфокарточных механизма. Перфокарты Бэббиджа отличались от перфокарт Жаккара, которыми управлялась только одна операция - подъем нити для получения нужного узора в процессе изготовления ткани. Управление работой аналитической машины включало различные виды операций, для каждой из которых требовался специальный вид перфокарт. Бэббидж выделил три основных вида перфокарт: операционные (или карты операций), переменные (или карты переменных) и числовые. Операционные перфокарты осуществляли управление машиной. Согласно выбитым на них командам происходило сложение, вычитание, умножение и деление чисел, находившихся в арифметическом устройстве.

Одной из наиболее дальновидных идей Бэббиджа было введение в совокупность команд, задаваемых последовательностью операционных перфокарт, команды условного перехода. Самого по себе программного управления (без использования условного перехода) было бы недостаточно для эффективной реализации сложной вычислительной работы. Линейная последовательность операций строго определена во всех пунктах. Это дорога известна во всех деталях до самого конца. Понятие "условный переход" означает переход вычислительной машины к другому участку программы, если предварительно выполняется некоторое условие. Имея возможность использовать команду условного перехода, составитель машинной программы был не обязан знать, по какой ступени расчета изменится признак, который оказывает влияние на выбор хода расчета.

Применение условного перехода позволяло у каждой развилки дороги анализировать сложившуюся ситуацию и на основе этого выбирать тот или иной путь. Условные команды могли иметь самый различный вид: сравнение чисел, выборка требуемых численных значений, определение знака числа и т.п. Машина производила арифметические операции, сравнивала между собой полученные числа и сообразно с этим проводила дальнейшие операции. Таким образом, машина могла перейти к другой части программы, пропустить часть команд или вновь вернуться к выполнению какого-либо участка программы, то есть организовать цикл. Введение команды условного перехода знаменовало собой начало использования в машине логических, а не только вычислительных операций.

Вычислительная машина

С помощью второго вида перфокарт - переменных (или, по терминологии Бэббиджа, "карт переменных") осуществлялась передача чисел между памятью и арифметическим устройством. На этих картах указывались не сами числа, а лишь номера регистров памяти, то есть ячеек для хранения одного числа. Регистры памяти Бэббидж называл "переменными", указывая этим, что содержание регистра меняется в зависимости от хранящегося в нем числа.

Аналитическая машина Бэббиджа использовала три вида карт переменных: для передачи числа в арифметическое устройство с сохранением его далее в памяти, для аналогичной операции, но без сохранения в памяти, и для ввода числа в память. Они получили названия: 1) "нулевая карта" (число вызывается из регистра памяти, после чего в регистре устанавливается нулевое значение); 2) "сохраняющая карта" (число вызывается из памяти без изменения содержания регистра); 3) "получающая карта" (число передается из арифметического устройства в память и записывается в один из регистров). При работе машины на одну операционную перфокарту приходилось в среднем три карты переменных. Они указывали номера ячеек памяти (адреса, по современной терминологии), в которых хранились два исходных числа, и номер ячейки, куда записывать результат.

Вычислительная машина
Числовая первокарта Бэббиджа

Числовые перфокарты представляли основной вид перфокарт аналитической машины. С их помощью осуществлялся ввод исходных чисел для решения некоторой задачи и новых данных, которые могли потребоваться по ходу вычислений.

После выполнения предложенных вычислений машина выбивала ответ на отдельную перфокарту. Эти перфокарты оператор складывал по порядку их номеров и в дальнейшем использовал в работе (они являлись как бы ее внешней памятью). Например, когда в ходе вычислений машине требовалось значение логарифма 2303, она показывала его в особом окошечке и давала звонок. Оператор находил нужную перфокарту со значением этого логарифма и вводил в машину. "Все карты, - писал Бэббидж, - однажды использованные и изготовленные для одной задачи, могут быль использованы для решения тех же задач с другими данными, поэтому нет необходимости готовить их во второй раз - они могут тщательно сохраняться для будущего использования; со временем машина будет иметь собственную библиотеку".

Четвертый блок был предназначен для приема исходных чисел и выдачи конечных результатов и представлял из себя несколько устройств, обеспечивающих операции ввода-вывода. Исходные числа вводились в машину оператором и поступали в ее запоминающее устройство, из которого извлекались и поступали на выход конечные результаты. Машина могла выводить ответ на перфокарте или печатать на бумаге.

В заключение следует отметить, что если разработка аппаратной части аналитической машины связана исключительно с именем Бэббиджа, то программирование решения задач на этой машине - с именем его хорошего друга - леди Адой Лавлейс, родной дочери великого английского поэта Байрона, которая горячо увлекалась математикой и великолепно разбиралась в сложных научных и технических проблемах. В 1842 году в Италии была напечатана статья молодого математика Менабреа с описанием аналитической машины Бэббиджа. В 1843 году леди Лавлейс перевела эту статью на английский язык, снабдив ее обширным и глубоким комментарием. Чтобы проиллюстрировать работу машины, леди Лавлейс приложила к статье составленную ею программу для вычисления чисел Бернулли. Ее комментарий по существу является первой в истории работой по программированию.

Аналитическая машина оказалась очень дорогим и сложным устройством. Английское правительство, поначалу финансировавшее работы Бэббиджа, вскоре отказало ему в помощи, поэтому он так и не смог завершить свой труд. Была ли оправдана сложность этой машины? Не во всем. Многие операции (особенно ввод-вывод чисел и передача их от одного устройства к другому) значительно упростились бы, если бы Бэббидж использовал электрические сигналы. Однако его машина была задумана как чисто механическое устройство без каких бы то ни было электрических элементов, что ставило ее изобретателя часто в очень трудное положение. Между тем электромеханическое реле, ставшее позже основным элементом вычислительных машин, в это время уже было изобретено: его придумали в 1831 году одновременно Генри и Сальваторе даль Негро.

Применение электромеханических реле в вычислительной технике ведет свою историю с изобретения американца Германа Голлерита, создавшего комплекс устройств, предназначенных для обработки большого объема данных (например, результатов переписи). Потребность в такой машине была очень велика. Например, результаты переписи 1880 года обрабатывались в США 7, 5 лет. Такой значительный срок объяснялся тем, что необходимо было отсортировать громадное количество карточек (по одной на каждого из 50 миллионов жителей) с очень большим - 210 рубрик - набором вариантов ответов на задаваемые в карточке вопросы. Об этих проблемах Голлерит знал не понаслышке - он сам был сотрудником Бюро цензов США - статистического учреждения, ведавшего проведением переписей населения и обработкой их результатов.

Много работая над сортировкой карточек, Голлерит пришел к мысли механизировать этот процесс. Сперва он заменил карточки перфокартами, то есть вместо карандашной пометки варианта ответа придумал пробивать отверстие. С этой целью он разработал специальную 80-колонную перфокарту, на которую в форме пробивок наносились все сведения об одном человеке, регистрируемые в ходе переписи. (Форма этой перфокарты не претерпела с тех пор существенных изменений.) Обычно для ответа на один вопрос использовалась одна полоска перфокарты, что позволяло фиксировать десять вариантов ответа (например, на вопрос о вероисповедании). В некоторых случаях (например, на вопрос о возрасте) можно было использовать две колонки, что давало сто вариантов ответа.

Вторая идея Голлерита была следствием первой - он создал первый в мире счетно-перфорационный комплекс, включавший в себя входной перфоратор (для пробивки отверстий) и табулятор с устройством для сортировки перфокарт. Перфорация осуществлялась вручную на пробойнике, состоявшем из чугунного корпуса с приемником для карты и собственно пробойника. Над приемником помещалась пластина с несколькими рядами отверстий; при нажиме рукояти пробойника над одним из них карта под пластинкой пробивалась нужным образом. Сложный пробойник пробивал на группе карт общие данные одним нажатием руки. Сортировочная машина представляла собой несколько ящиков с крышками. Карты продвигались вручную между набором пружинных штырей и резервуарами, наполненными ртутью. Когда штырь попадал в отверстие, он касался ртути и замыкал электрическую цепь. При этом приподнималась крышка определенного ящика, и оператор клал туда карту. Табулятор (или суммирующая машина) прощупывал отверстия на перфокартах, воспринимая их как соответствующие числа и подсчитывая их. Принцип его действия был аналогичен сортировочной машине и базировался на использовании электромеханического реле (в качестве них также применялись пружинные штыри и чашечки с ртутью). Когда стержни при движении перфокарт попадали через отверстия в чашечки с ртутью, электрическая цепь замыкалась, и электрический сигнал передавался на счетчик, добавлявший к имеющемуся в нем числу новую единицу. Каждый счетчик имел циферблат со стрелкой, которая перемещалась на единицу шкалы при обнаружении отверстия. Если в табуляторе было 80 счетчиков, он мог одновременно подсчитывать результаты по 8 вопросам (с десятью вариантами ответов на каждый из них). Для подсчета результатов по следующим 8 вопросам та же перфокарта вновь пропускалась через табулятор другим своим участком. За один прогон сортировалось до 1000 карточек в час.

Первый патент (на идею) Голлерит получил в 1884 году. В 1887 году его машина была испытана в Балтиморе при составлении таблиц смертности населения. В 1889 году состоялось решающее испытание системы - проводилась пробная перепись в четырех районах города Сан-Луи. Машина Голлерита намного опередила две конкурирующие с ней ручные системы (она работала в 10 раз быстрее). После этого правительство США заключило с Голлеритом договор о поставке оборудования к переписи 1890 года. Результаты этой переписи благодаря табулятору были обработаны всего за два года. Вследствие этого машина очень быстро получила международное признание и употреблялась во многих странах при обработке данных переписи населения.

В 1902 году Голлерит создал автоматический табулятор, в котором карты подавались не вручную, а автоматически, и модернизировал свою сортировочную машину. В 1908 году он создал принципиально новую модель суммирующей машины. Вместо чашек с ртутью здесь применялись контактные щетки, с помощью которых замыкались электрические цепи электромагнитов. Последние обеспечивали соединение и разъединение непрерывно вращающегося вала с цифровыми колесами счетчика сумматора. Цифровые колеса поворачивались через зубчатые зацепления от непрерывно вращающегося вала, который нес на себе скользящие кулачковые муфты, управляемые электромагнитами. Когда под контактной щеткой оказывалось отверстие, замыкалась электрическая цепь соответствующего электромагнита, и он включал муфту, которая подсоединяла цифровое колесо к вращающемуся валу, после чего содержимое счетчика в данном разряде увеличивалось на число, пропорциональное одному повороту колеса. Передача десятков осуществлялась примерно так же, как в разностной машине Бэббиджа.

Дело, начатое Голлеритом, имеет продолжение и в наше время. Еще в 1896 году он основал фирму "Табьюлейтинг Машин Компани", специализирующуюся на выпуске счетно-перфорационных машин и перфокарт. В 1911 году, после того как Голлерит оставил предпринимательскую деятельность, его фирма слилась с тремя другими и была преобразована в широко известную сейчас во всем мире корпорацию IBM - крупнейшего разработчика в области вычислительной техники.

В табуляторе Голлерита впервые были использованы электромеханические элементы. Дальнейшее развитие вычислительной техники было связано с широким и многогранным применением электричества. В 1938 году немецкий инженер Конрад Цузе создал первую в истории релейную электронно-вычислительную машину Z1 на телефонных реле (записывающее устройство в ней оставалось механическим). В 1939 году появилась более совершенная модель Z2, а в 1941 году Цузе собрал первую в мире действующую вычислительную машину с программным управлением, в которой использовалась двоичная система. Все эти машины погибли во время войны и поэтому не оказали большого влияния на дальнейшую историю вычислительной техники.

Независимо от Цузе постройкой релейных вычислительных машин занимался в США Говард Айкен. Будучи аспирантом Гарвардского университета, Айкен при работе над своей диссертацией был вынужден делать много сложных вычислений. Чтобы сократить время на вычислительную работу, он стал придумывать несложные машины для автоматического решения частных задач. В конце концов он пришел к идее автоматической универсальной вычислительной машины, способной решать широкий круг научных задач. В 1937 году его проектом заинтересовалась фирма IBM. В помощь Айкену была выделена бригада инженеров. Вскоре началась работа над постройкой машины "Марк-1". Реле, счетчики, контактные и печатающие устройства ввода и вывода перфокарт были стандартными частями табуляторов, выпускаемых IBM. В 1944 году машина была собрана и передана Гарвардскому университету.

"Марк-1" оставался машиной переходного типа. В ней широко использовались механические элементы для представления чисел и электромеханические для управления работой машины. Как и в аналитической машине Бэббиджа, числа хранились в регистрах, состоящих из десятизубых счетных колес. Всего в "Марке-1" было 72 регистра и, кроме того, дополнительная память из 60 регистров, образованных механическими переключателями. В эту дополнительную память вручную вводились константы - числа, которые не изменялись в процессе вычисления. Каждый регистр содержал 24 колеса, причем 23 из них использовались для представления самого числа, а одно - для представления его знака.

Регистры имели механизм для передачи десятков и поэтому использовались не только для хранения чисел, но и для выполнения операций над ними: число, находящееся в одном регистре, могло быть передано в другой и добавлено к находящемуся там числу (или вычтено из него). Эти операции выполнялись следующим образом. Через счетные колеса, образующие регистр, проходил непрерывно вращающийся вал, причем любое колесо с помощью электромеханических переключателей могло быть присоединено к этому валу на время, составляющее некоторую часть его оборота. К каждому числу присоединялась щетка (считывающий контакт), которая при вращении колеса пробегала по неподвижному десятисегментному контакту. Это позволяло получить электрический эквивалент цифры, хранящейся в данном разряде регистра.

Для выполнения операции суммирования устанавливались такие соединения между щетками первого регистра и механизмом переключения второго регистра, что колеса последнего связывались с валом на часть периода оборота, пропорционального цифрам, находившимся в соответствующих разрядах первого регистра. Все переключатели автоматически выключались в конце фазы сложения, занимавшей не более половины периода оборота. Сам механизм суммирования по существу не отличался от сумматора голлеритовских табуляторов.

Умножение и деление производились в отдельном устройстве. Кроме того, в машине имелись встроенные блоки для вычисления функций sin x, log x и некоторых других. Скорость выполнения арифметических операций в среднем составляла: сложение и вычитание - 0, 3 секунды, умножение - 5, 7 секунды, деление - 15, 3 секунды. То есть "Марк-1" был эквивалентен примерно 20 операторам, работающим с ручными счетными машинами.

Работой "Марк-1" управляли команды, вводимые с помощью перфорированной ленты. Каждая команда кодировалась посредством пробивки отверстий в 24 колонках, идущих вдоль ленты, и считывалась с помощью контактных щеток. Пробивка на перфокартах преобразовывалась в набор импульсов. Совокупность электрических сигналов, полученных в результате "прощупывания" позиций данного ряда, определяла действия машины на данном шаге вычислений. Устройство управления на основании этих команд обеспечивало автоматическое выполнение всех вычислений в данной программе: осуществляло выборку чисел из ячеек памяти, давало команду требуемой арифметической операции, отправляло результаты вычислений в запоминающее устройство и т.д. В качестве устройства вывода Айкен использовал пишущие машины и перфораторы.

Вслед за пуском "Марк-1" Айкен и его сотрудники начали работу над "Марком-2", закончившуюся в 1947 году. В этой машине уже не было механических цифровых колес, а для запоминания чисел, выполнения арифметических операций и операций управления использовались электрические реле - всего их было 13 тысяч. Числа в "Марк-2" представлялись в двоичном виде.

Двоичная система исчисления была предложена еще Лейбницем, который считал ее самой удобной для использования в вычислительных машинах. (Трактат на эту тему был написан в 1703 году.) Им же была разработана арифметика двоичных чисел. В двоичной системе, точно так же, как в привычной нам десятичной, значение каждой цифры определяется ее позицией, только вместо обычного набора из десяти цифр используются только две: 0 и 1. Для того, чтобы понять двоичную запись числа посмотрим сначала, какой смысл имеет хорошо всем известная десятичная запись. Например, число 2901 можно представить в следующем виде:

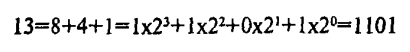
То есть, цифры: 2, 9, 0, 1 указывают на то, сколько единиц находится в каждом из десятичных разрядов числа. Если же вместо десятичной системы берется двоичная, каждая цифра будет указывать на то, сколько единиц содержится в каждом из двоичных разрядов. Например, число 13 записывается в двоичной системе так:

Двоичная система достаточно громоздка (скажем, число 9000 будет в ней 14-значным), но она очень удобна при выполнении арифметических операций. Вся таблица умножения в ней сводится к единственному равенству 1*1=1, а сложение имеет только три правила: 1) 0+0 дает 0; 2) 0+1 дает 1; 3) 1+1 дает 0 и перенос 1 в старший разряд.

Например:

01010 +
01011 =
10101

Утверждение двоичной системы в вычислительной технике было обусловлено существованием простых технических аналогов двоичной цифры - электрических реле, которые могли находиться в одном из двух устойчивых состояний, первое из которых ставили в соответствие с 0, другое - с 1. Передача двоичного числа электрическими импульсами из одного машинного устройства в другое тоже очень удобна. Для этого достаточно всего двух различных по форме импульсов (или даже одного, если отсутствие сигнала считать за нуль).

Следует отметить, что релейные машины, созданные на заре истории ЭВМ, недолго использовались в вычислительной технике, поскольку были сравнительно медленнодействующими. Так же как в механической машине скорость вычислений определялась скоростью поворота цифровых колес, время работы схемы, составленной из реле, равнялось времени срабатывания и отпускания реле. Между тем даже самые быстрые реле не могли делать больше 50 срабатываний в секунду. Например, в "Марк-2" операции сложения и вычитания занимали в среднем 0,125 секунды, а умножение требовало 0,25 секунды. Гораздо большим быстродействием обладали электронные аналоги электромеханических реле - вакуумные лампы-триггеры. Они и стали базовыми элементами в ЭВМ первого поколения.

Вычислительная машина
Последовательность импульсов для числа 25 в двоичной форме

Триггер был изобретен еще в 1919 году русским инженером Бонч-Бруевичем и независимо от него американцами Икклзом и Джорданом. Этот электронный элемент содержал две лампы, и в каждый момент мог находиться в одном из двух устойчивых состояний. Он представлял собой электронное реле, то есть при наличии сигнала управляющего импульса включал нужную линию или цепь электрического тока. Подобно электромеханическому реле он мог использоваться для обозначения одной двоичной цифры.

Вычислительная машина
Схема электронного реле (триггера)

Рассмотрим принцип работы электронного реле, состоящего из двух электронных ламп-триодов Л1 и Л2, которые могут находиться в одном баллоне. Напряжение с анода Л1 через сопротивление R1 подается на сетку Л2, а напряжение с анода Л2 подается на сетку Л1 через сопротивление R2. В зависимости от положения, в котором находится триггер, он дает низкий или высокий уровень напряжения на выходе. Допустим вначале, что лампа Л1 открыта, а Л2 - закрыта. Тогда напряжение на аноде открытой лампы мало по сравнению с напряжением на аноде закрытой лампы. Действительно, так как открытая лампа Л1 проводит ток, то большая часть анодного напряжения падает (по закону Ома u=i•R) на высоком анодном сопротивлении Ra, а на самой лампе (включенной с ним последовательно) падает лишь незначительная часть напряжения. Наоборот, в закрытой лампе анодный ток равен нулю, и все напряжение источника анодного напряжения падает на лампе. Поэтому с анода открытой лампы Л1 на сетку закрытой лампы падает значительно меньшее напряжение, чем с анода закрытой лампы Л2 на сетку Л1. Отрицательное напряжение Ec, поданное на сетки обеих ламп, выбирается таким, чтобы вначале лампа Л2 была закрыта, несмотря на наличие небольшого положительного напряжения, поданного с анода открытой лампы Л1 на сетку Л2. Лампа же Л1 вначале открыта, так как положительное напряжение, поданное на сетку с анода Л2, значительно больше, чем Ec. Таким образом, благодаря связи между лампами через сопротивления R1 и R2 начальное состояние является устойчивым и будет сохраняться сколько угодно долго.

Рассмотрим теперь, что произойдет в схеме, если на сетку открытой лампы Л1 подать извне отрицательное напряжение в виде короткого импульса тока такой величины, чтобы закрыть ее. При уменьшении анодного тока i1 напряжение на аноде лампы Л1 резко увеличится и, следовательно, увеличится положительное напряжение на сетке Л2. Это вызовет появление анодного тока i2 через лампу Л2, благодаря чему уменьшится анодное напряжение на лампе Л2. Понижение положительного напряжения на сетке Л1 приведет к еще большему уменьшению тока в Л1 и т.д. В результате такого лавинообразного нарастающего процесса уменьшения тока в Л1 и увеличения тока в Л2 лампа Л1 закроется, а лампа Л2 будет открыта. Таким образом, схема перейдет в новое устойчивое положение равновесия, которое будет сохраняться сколько угодно долго: "запоминается" поданный на вход 1 импульс. Возвращение электронного реле обратно в исходное состояние можно осуществить подачей импульса отрицательного напряжения на вход. Триггер имеет, следовательно, два устойчивых положения равновесия: начальное, при котором Л1 открыта, а Л2 закрыта, и так называемое "возбужденное" состояние, при котором Л1 закрыта, а Л2 открыта. Время переброса триггера из одного состояния в другое очень мало. Конденсаторы C1 и C2 служат для убыстрения срабатывания лампы.

Идея вычислительной машины, в которой в качестве запоминающего устройства использовались бы электронные лампы, принадлежит американскому ученому Джону Моучли. Еще в 30-е годы он сделал несколько несложных вычислительных устройств на триггерах. Однако впервые электронные лампы при создании вычислительной машины применил другой американский математик Джон Атанасов. Его машина была уже практически завершена в 1942 году. Но из-за войны финансирование работы было прекращено. В следующем 1943 году, работая в Муровской электротехнической школе Пенсильванского университета, Моучли вместе с Преспером Эккертом разработал свой проект электронной вычислительной машины. Артиллерийское управление США заинтересовалось этой работой и заказало Пенсильванскому университету постройку машины. Руководителем работ был назначен Моучли. В помощь ему было дано еще 11 инженеров (включая Эккерта), 200 техников и большое число рабочих. В течение двух с половиной лет, до 1946 года, этот коллектив трудился над созданием "электронно-цифрового интегратора и вычислителя" - ЭНИАК. Это было огромное сооружение, занимавшее площадь 135 квадратных метров, имевшее массу 30 тонн и энергопотребление 150 киловатт. Машина состояла из сорока панелей, содержащих 18000 электронных ламп и 1500 реле. Однако использование электронных ламп вместо механических и электромеханических элементов позволило резко увеличить скорость. На умножение ЭНИАК тратил всего 0, 0028 секунды, а на сложение - 0, 0002 секунды, то есть работал в тысячу раз быстрее самых совершенных релейных машин.

Устройство ЭНИАК в общих чертах было следующим. Каждые десять триггеров соединялись в нем в кольцо, образуя десятичный счетчик, который выполнял роль счетного колеса механической машины. Десять таких колец плюс два триггера для представления знака числа образовывали запоминающий регистр. Всего в ЭНИАК было двадцать таких регистров. Каждый регистр был снабжен схемой для передачи десятков и мог использоваться для выполнения операции суммирования и вычитания. Другие арифметические операции выполнялись в специальных блоках. Числа передавались из одной части машины в другую посредством групп из 11 проводников - по одному для каждого десятичного разряда и знака числа. Значение передаваемой цифры равнялось числу импульсов, протекавших по данному проводнику. Работой отдельных блоков машины управлял задающий генератор, вырабатывавший последовательность определенных сигналов, которые "открывали" и "закрывали" соответствующие блоки электронной машины.

Ввод чисел в машину производился при помощи перфокарт. Программное же управление осуществлялось посредством штекеров и наборных полей (коммутационной доски) - таким образом отдельные блоки машины соединялись между собой. Это было одним из существенных недостатков описываемой конструкции. На подготовку машины к работе - соединение блоков на коммутационной доске - уходило до нескольких дней, тогда как задача порой решалась всего за несколько минут. В целом ЭНИАК была еще достаточно ненадежной и несовершенной вычислительной машиной. Она часто выходила из строя, причем поиск неисправности затягивался порой на несколько суток. Кроме того, эта машина не могла хранить информацию.

Для устранения последнего недостатка Эккерт в 1944 году выдвинул идею хранимой в памяти программы. Это была одна из важнейших технических находок в истории вычислительной техники. Суть ее заключалась в том, что команды программы должны были представляться в виде числового кода, то есть кодироваться в двоичной системе (как и числа) и вводиться в машину, где бы они хранились вместе с исходными числами. Для запоминания этих команд и операций с ними предполагалось использовать те же устройства - триггеры, что и для действия с числами. Из памяти отдельные команды должны были извлекаться в устройство управления, где их содержание расшифровывалось и использовалось для передачи чисел из памяти в арифметическое устройство для выполнения операций над ними и отсылки результатов обратно в память.

Между тем по окончании Второй мировой войны одна за другой стали появляться новые электронные вычислительные машины. В 1948 году англичане Килбурн и Вильямс из Манчестерского университета создали машину "МАРК-1", в которой впервые была реализована идея хранимой программы. В 1947 году Эккерт и Моучли основали свою фирму, а в 1951 году наладили серийный выпуск своих машин UNIVAC-1. В 1951 году появилась первая советская ЭВМ МЭСМ академика Лебедева. Наконец, в 1952 году свой первый промышленный компьютер IBM 701 выпустила фирма IBM. Все эти машины имели в своей конструкции много общего. Об этих общих принципах работы всех ЭВМ первого поколения мы теперь и поговорим.

Электронные вычислительные машины, как известно, совершили настоящий переворот в области применения математики для решения важнейших проблем физики, механики, астрономии, химии и других точных наук. Те процессы, которые прежде совершенно не поддавались просчитыванию, стали вполне успешно моделироваться на вычислительных машинах. Решение любой задачи сводилось при этом к следующим последовательным шагам: 1) исходя из значения физической, химической и прочей сущности какого-либо исследуемого процесса формулировалась задача в виде алгебраических формул, дифференциальных или интегральных уравнений или других математических соотношений; 2) с помощью численных методов задача сводилась к последовательности простых арифметических операций; 3) составлялась программа, которая определяла строгий порядок выполнения действий в установленной последовательности. (ЭВМ осуществляла в принципе тот же порядок действий, что и человек, работающий на арифмометре, но в тысячи или десятки тысяч раз быстрее.) Команды составленной программы записывались с помощью специального кода. Каждая из этих команд определяла какое-либо определенное действие со стороны машины.

Любая команда, кроме кода проводимой операции, содержала в себе адреса. Обычно их было три - номера ячеек памяти, откуда брались два исходных числа (1-й и 2-й адрес), а затем номер ячейки, куда отправлялся полученный результат (3-й адрес). Таким образом, к примеру, команда +/17/25/32 указывала, что следует сложить числа, находящиеся в 17-й и 25-й ячейках и результат направить в 32-ю ячейку. Могла использоваться и одноадресная команда. В этом случае для выполнения арифметической операции над двумя числами и отсылки полученного результата требовалось три команды: первая команда вызывала одно из чисел из памяти в арифметическое устройство, следующая команда вызывала второе число и проводила заданную операцию над числами, третья команда отправляла полученный результат в память. Так осуществлялась работа вычислительной машины на программном уровне.

Вычислительные процессы при этом протекали следующим образом. Управление работой ЭВМ осуществлялось с помощью электронных ключей и переключателей, называемых логическими схемами, причем каждый электронный ключ при получении сигнала управляющего импульса напряжения включал нужную линию или цепь электрического тока. Простейшим электронным ключом могла служить уже трехэлектродная электронная лампа, которая заперта, когда на ее сетку подается большое отрицательное напряжение, и открывается, если на сетку подается положительное напряжение. Ее работу при этом можно представить как управляющий вентиль, который пропускает через себя импульс A, когда на второй его вход подан управляющий импульс B. Когда же имеется только один импульс тока A или B, то вентиль закрыт и импульс не проходит на его выход. Таким образом, только при совпадении по времени обоих импульсов A и B на выходе появится импульс. Такую схему называют схемой совпадений, или логической схемой "и". Наряду с ней в вычислительной машине используется целый набор других логических схем. Например, схема "или", которая дает на выходе импульс при появлении его на линии A или B или одновременно на обеих линиях. Другая логическая схема - схема "нет". Она, наоборот, запрещает прохождение импульса через вентиль, если одновременно подан другой запрещающий импульс, запирающий лампу.

С использованием двух этих схем можно собрать одноразрядный сумматор. Предположим, что импульсы A и B одновременно передаются на схемы "нет" и "и", причем со схемой "нет" связана шина (провод) "сумма", а со схемой "и" шина "перенос". Предположим, что на вход A поступает импульс (то есть единица), а на вход B не поступает. Тогда "нет" пропустит импульс на шину "сумма", а схема "и" не пропустит его, то есть в разряде будет значиться "1", что и соответствует правилу двоичного сложения. Предположим, что на входы A и B одновременно поступают импульсы. Это означает, что код числа A есть "1" и код B тоже "1". Схема "нет" не пропустит двух сигналов и на выходе "сумма" будет "0" Зато схема "и" пропустит их, и на шине "перенос" будет импульс, то есть "1" передастся в сумматор соседнего разряда.

В первых ЭВМ основным элементом памяти и арифметического суммирующего устройства служили триггеры. Триггерная схема, как мы помним, обладала двумя устойчивыми состояниями равновесия. Приписывая одному состоянию значение кода "0", а другому значение кода "1", можно было использовать триггерные ячейки для временного хранения кодов. В суммирующих схемах при подаче импульса на счетный вход триггера он переходил из одного состояния равновесия в другое, что полностью соответствовало правилам сложения для одного двоичного разряда (0+0=0; 0+1=1; 1+0=1; 1+1=0 и перенос единицы в старший разряд). При этом первоначальное положение триггера рассматривалось как код первого числа, а подаваемый импульс - как код второго числа. Результат образовывался на триггерной ячейке. Для того чтобы осуществить суммирующую схему для нескольких двоичных разрядов, необходимо было обеспечить перенос единицы из одного разряда в другой, что и осуществлялось специальной схемой.

Сумматор был главной частью арифметического устройства машины. Сумматор параллельного сложения кодов чисел сразу по всем разрядам имел столько одноразрядных сумматоров, сколько двоичных разрядов содержал код числа. Складываемые числа A и B поступали в сумматор из запоминающих устройств и сохранялись там с помощью триггеров. Регистры также состояли из ряда соединенных между собой триггеров T1, T2, T3, Т'1, Т'2 и т.д., в которые код числа подавался из записывающего устройства параллельно для всех разрядов. Каждый триггер хранил код одного разряда, так что для хранения числа, имеющего n двоичных разрядов, требовалось n электронных реле. Коды чисел, хранящиеся в регистрах, складывались одновременно по каждому разряду с помощью сумматоров S1, S2, S3 и т.д., число которых было равно числу разрядов. Каждый одноразрядный сумматор имел три входа. На первый и второй входы подавались коды чисел A и B одного разряда. Третий вход служил для передачи кода переноса из предыдущего разряда.

Вычислительная машина
Схема параллельного сумматора

В результате сложения кодов данного разряда на выходной шине сумматора получался код суммы, а на шине "перенос" код "1" или "0" для переноса в следующий разряд. Пусть, например, требовалось сложить два числа A=5 (в двоичном коде 0101) и B=3 (в двоичном коде 0011). При параллельном сложении этих чисел на входы A1, A2 и A3 сумматора соответственно подавались коды A1=1, A2=0, A3=1, A4=0 и B1=1, B2=1, B3=0, B4=0. В результате суммирования кодов первого разряда в сумматоре S1 получим 1+1=0 и код переноса "1" в следующий разряд. Сумматор S2 суммировал три кода: коды A2, B2 и код переноса из предыдущего сумматора S1. В результате получим 0+1+1=0 и код "1" переноса в следующий третий разряд.

Сумматор S3 складывает коды третьего разряда чисел A и B и код переноса "1" из второго разряда, то есть будем иметь 1+0+1=0 и снова перенос в следующий четвертый разряд. В итоге сложения на шинах "сумма" получим код 1000, что соответствует числу 8.

В 1951 году Джой Форрестер внес важное усовершенствование в устройство ЭВМ, запатентовав память на магнитных сердечниках, которые могли запоминать и хранить сколь угодно долго поданные на них импульсы.

Вычислительная машина
Обмотки ферритового сердечника

Сердечники изготовляли из феррита, который получался смешением окиси железа с другими примесями. На сердечнике имелось три обмотки. Обмотки 1 и 2 служили для намагничивания сердечника в том или ином направлении с помощью подачи на них импульсов различной полярности. Обмотка 3 являлась обмоткой выхода ячейки, в которой индуцировался ток при перемагничивании сердечника. В каждом сердечнике путем его намагничивания хранилась запись одного импульса, соответствующая одному разряду какого-нибудь числа. Из сердечников, соединенных в определенном порядке, всегда можно было с большой скоростью выбрать нужное число. Так, если через обмотку сердечника подавали положительный сигнал, то сердечник намагничивается положительно, при отрицательном сигнале намагничивание было отрицательным. Таким образом, состояние сердечника характеризовалось записанным сигналом.

При считывании через обмотку подавался сигнал определенной полярности, например положительный. Если перед этим сердечник был намагничен отрицательно, то происходило его перемагничивание - и в выходной обмотке (по закону электромагнитной индукции) возникал электрический ток, который усиливался усилителем. Если же сердечник был намагничен положительно, то изменения его состояния не происходило - и в выходной обмотке электрический сигнал не возникал. После выборки кода необходимо было восстановить первоначальное состояние сердечника, что и осуществлялось специальной схемой. Этот вид запоминающего устройства позволял производить выборку чисел за несколько микросекунд.

Большие объемы информации хранились на внешнем носителе, например на магнитной ленте. Запись электрических импульсов здесь была аналогична записи звука на магнитофон: через магнитные головки пропускали импульсы тока, которые намагничивали соответствующие места проходившей ленты. При считывании поле остаточного намагничивания, проходя под головками, наводило в них электрические сигналы, которые усиливались и поступали в машину. Точно так же информация записывалась на магнитный барабан, покрытый ферромагнитным материалом. В этом случае информацию можно было найти быстрее.

Автор: Рыжов К.В.

 Рекомендуем интересные статьи раздела История техники, технологии, предметов вокруг нас:

▪ Велосипед

▪ Искусственные спутники земли

▪ Пневматические шины

Смотрите другие статьи раздела История техники, технологии, предметов вокруг нас.

Читайте и пишите полезные комментарии к этой статье.

<< Назад

Последние новости науки и техники, новинки электроники:

Оптимальная продолжительность сна 12.11.2025

Сон играет ключевую роль в поддержании здоровья, когнитивных функций и общего самочувствия. Несмотря на широко распространенный стереотип о восьмичасовом сне, последние исследования показывают, что оптимальная продолжительность сна для большинства здоровых взрослых ближе к семи часам. Эволюционный биолог из Гарварда, Дэниел Э. Либерман, утверждает, что традиционная норма восьми часов сна - это скорее культурное наследие индустриальной эпохи, чем биологическая необходимость. По его словам, полевые исследования, проведенные в сообществах, не использующих электричество, показывают, что средняя продолжительность сна составляет 6-7 часов, что значительно отличается от общепринятого стандарта. Современные эпидемиологические данные подтверждают этот взгляд. Исследования выявили так называемую "U-образную кривую" зависимости между продолжительностью сна и рисками для здоровья. Минимальные показатели заболеваемости и смертности наблюдаются именно у людей, спящих около семи часов в сутки. ...>>

Дефицит кислорода усиливает выброс закиси азота 12.11.2025

Парниковые газы играют ключевую роль в изменении климата, а закись азота (N2O) - один из наиболее опасных среди них. Этот газ не только втрое сильнее углекислого газа в удержании тепла, но и разрушает озоновый слой. Недавнее исследование американских ученых показало, что микробы в зонах с низким содержанием кислорода активно производят N2O, усиливая глобальные климатические риски. Команда из Университета Пенсильвании изучала прибрежные воды у Сан-Диего и провела наблюдения на глубинах от 40 до 120 метров в Восточной тропической северной части Тихого океана - одной из крупнейших зон дефицита кислорода. Исследователи сосредоточились на том, как морские микроорганизмы превращают нитраты в закись азота. В ходе работы выяснилось, что существует два пути образования N2O. Один путь начинается с нитрата, другой - с нитрита. На первый взгляд более короткий путь должен быть эффективнее, однако микробы, использующие нитрат, продуцируют больше газа, поскольку этот "сырьевой" источник более д ...>>

Омега-3 помогают молодым кораллам выживать 11.11.2025

Сохранение коралловых рифов становится все более актуальной задачей в условиях глобального изменения климата. Молодые кораллы особенно уязвимы на ранних стадиях развития, когда стрессовые условия и нехватка питательных веществ могут привести к высокой смертности. Недавнее исследование ученых из Технологического университета Сиднея показывает, что специальные пищевые добавки способны существенно повысить выживаемость личинок кораллов. В ходе работы исследователи разработали особый состав "детского питания" для коралловых личинок. В него вошли масла, богатые омега-3 жирными кислотами, а также важные стерины, необходимые для формирования клеточных мембран. Личинки, получавшие эти добавки, развивались быстрее, становились крепче и демонстрировали более высокую устойчивость к стрессовым факторам. Особое внимание ученые уделили липидам. Анализ показал, что личинки активно усваивают эти вещества, что напрямую влияет на их жизнеспособность. Стерины, содержащиеся в корме, повышают устойчи ...>>

Случайная новость из Архива

Дешевый способ производства наночастиц 28.08.2012

Неудачный опыт студентов Университета Центральной Флориды привел к неожиданному открытию, которого так давно ждала фармацевтическая промышленность. Аспиранты Соруш Шабаханг и Джошуа Кауфман нашли способ дешевого массового производства наночастиц, что может в корне изменить технологию изготовления лекарственных препаратов.

Суть открытия заключается в использовании тепла для разделения тонких волокон на одинаковые наночастицы. Тепло попросту разделяет расплавленные волокна на сферические капли - как вода, капающая из крана. Открытие было сделано случайно: ученые многие годы ищут способ создания сверхчистого стекловолокна для оптических кабелей. Студенты расплавляли и растягивали стекловолокно в ходе обычных руинных экспериментов, но заметили, что вместо тонкого идеального стекловолоконного кабеля получились микроскопические сферы.

Этот новый нехимический метод позволяет создавать большое количество одинаковых частиц любого размера. Таким образом, впервые нанотехнологии можно запустить в массовое производство. В ближайшей перспективе ученые собираются с помощью новой технологии создать наночастицы, способные доставлять лекарственные препараты. В частности, одним из самых перспективных направлений является создание частиц, способных доставлять препараты, убивающие определенные раковые клетки.

В это же время группа ученых из Массачусетского технологического института разрабатывает "заготовки" для новой технологии - специальные волокна, из которых получатся наночастицы с заданными характеристиками. Уже известно, что новым нехимическим способом можно создать наночастицы, состоящие из нескольких материалов, а также полые наночастицы сферической формы. Кроме того, на наносферах можно закрепить дополнительные материалы, в результате чего можно производить частицы со сложной внутренней структурой. Такие частицы можно использовать в самых различных областях. В медицине, теоретически, из них можно производить вакцины и "адресные" препараты, атакующие определенные патогены.

Другие интересные новости:

▪ Наушники Qualcomm S7 и S7 Pro

▪ Дифференциальные датчики Honeywell серии NSC

▪ Автомобили Ford научатся отслеживать свободные парковки

▪ Компьютер с раздвоением личности

▪ Умный будильник EzLarm

Лента новостей науки и техники, новинок электроники

 

Интересные материалы Бесплатной технической библиотеки:

▪ раздел сайта Нормативная документация по охране труда. Подборка статей

▪ статья Комплекс печь-камин-плита. Советы домашнему мастеру

▪ статья Как и за что персидский царь Ксеркс I приказал наказать морской пролив Геллеспонт? Подробный ответ

▪ статья Мандарин. Легенды, выращивание, способы применения

▪ статья Устройство плавного включения ламп накаливания. Энциклопедия радиоэлектроники и электротехники

▪ статья Живая вода. Секрет фокуса

Оставьте свой комментарий к этой статье:

Имя:


E-mail (не обязательно):


Комментарий:





Главная страница | Библиотека | Статьи | Карта сайта | Отзывы о сайте

www.diagram.com.ua

www.diagram.com.ua
2000-2025